NCERT Solutions for Class 12 Mathemetics Chapter 10 - Vector Algebra

Question 1:

Represent graphically a displacement of 40 km 30° east of north.

Answer:

Draw a line segment of length 4 cm on the right of ON, making an angle of 30° with ON, where
Scale : 1 cm = 10 km.

Question 2:

Classify the following measures as scalars and vectors :
(i) 10 kg
(ii) 2 metres north-east
(iii) 40° (iv) 40 watt
(v) 10–19 coulombs (vi) 20 m/s2.

Answer:

Classify the following as scalar and vector quantities :
(i) time period (ii) distance
(iii) force (iv) velocity
(v) work-done.

Question 3:

(i) Scalar (ii) Scalar
(iii) Vector (iv) Vector
(v) Scalar.

Answer:

In the figure, (square) identify the following vectors :
(i) Co-initial (ii) Equal
(iii) Collinear but not equal.

Question 4:

Answer:

Question 5:

  1. TRUE
  2. FALSE
Answer:

TRUE

Question 6:

The collinear vectors are always equal in magnitude.

  1. TRUE
  2. FALSE
Answer:

FALSE

Question 7:

Two vectors having same magnitudes are collinear.

  1. TRUE
  2. FALSE
Answer:

FALSE

Question 8:

The collinear vectors having the same magnitude are equal.

  1. TRUE
  2. FALSE
Answer:

TRUE

Question 9:

Answer:

Question 10:

Write two different vectors having same magnitude.

Answer:

Question 11:

Write two different vectors having the same direction.

Answer:

Question 12:

Answer:

Question 13:

Find the scalar and vector components of the vector with initial point (2, 1) and terminal point (– 5, 7).

Answer:

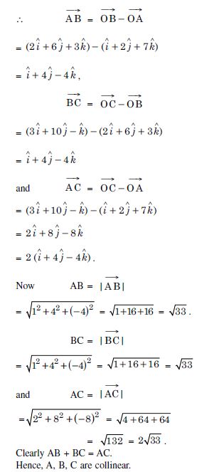
Let A (2, 1) be the initial point and B (– 5, 7) the terminal point.

Question 14:

Answer:

Question 15:

Answer:

Question 16:

Answer:

Question 17:

Answer:

Question 18:

Answer:

Question 19:

Answer:

Question 20:

Answer:

Question 21:

Find the direction – cosines of the vector joining the points A (1, 2, – 3) and B (– 1, – 2, 1) directed from A to B.

Answer:

Vector joining the points A and B

Question 22:

Answer:

Question 23:

Answer:

Question 24:

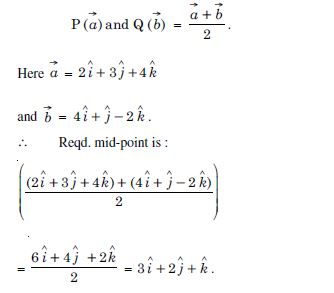
Find the position vector of the mid-point of the vector joining the points P (2, 3, 4) and Q (4, 1, – 2).

Answer:

Mid-point of the vector joining the points

Question 25:

Answer:

Question 26:

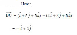
In triangle ABC (see Fig), which of the following is not true ?

Answer:

Question 27:

Answer:

Question 28:

Answer:

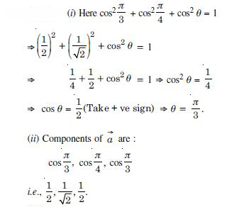
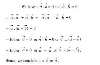
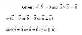
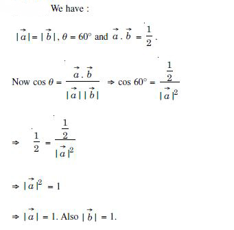
Question 29:

Answer:

Question 30:

Answer:

Question 31:

Answer:

Question 32:

Answer:

Question 33:

Answer:

Question 34:

Answer:

Question 35:

Answer:

Question 36:

Answer:

Question 37:

Answer:

Question 38:

Answer:

Question 39:

Answer:

Question 40:

Answer:

Question 41:

Answer:

Question 42:

Answer:

Question 43:

Answer:

Question 44:

Answer:

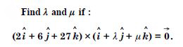
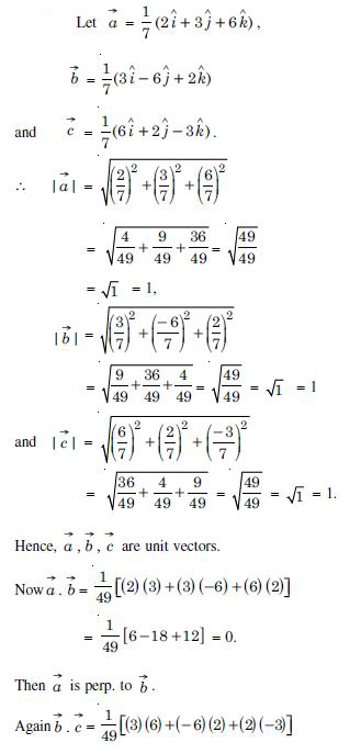
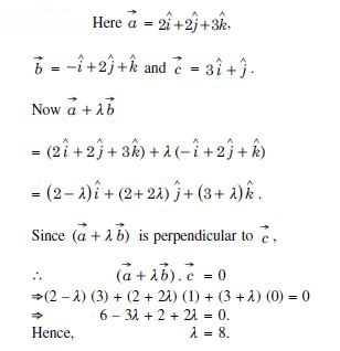
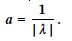
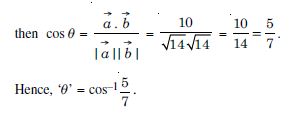
Question 45:

  1. λ = 1
  2. λ = – 1
  3. a = | λ |
Answer:

Question 46:

Answer:

Question 47:

Answer:

Question 48:

Answer:

Question 49:

Answer:

Question 50:

Answer:

Question 51:

Answer:

Question 52:

Answer:

Question 53:

Answer:

Question 54:

Answer:

Question 55:

Answer:

Question 56:

Answer:

Question 57:

  1. 1
  2. 2
  3. 4
Answer:

2

Question 58:

Answer:

Question 59:

Answer:

Question 60:

Answer:

Question 61:

Answer:

Question 62:

Answer:

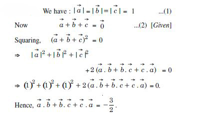
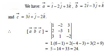
if –2(1 + 6) + 4(1 + 4) – 6(3 – 2) = 0
if –14 + 20 – 6 = 0, which is true.

Question 63:

Find x such that the four points:
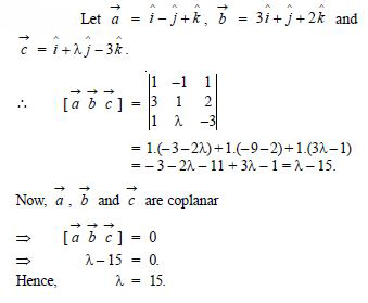
A(3, 2, 1), B(4, x, 5), C(4, 2, –2) and D(6, 5, –1) are coplaner.

Answer:

Question 64:

Answer:

Question 65:

In ABC, which of the following is not true ?

Answer:

Question 66:

Answer:

Question 67:

  1. λ = 1
  2. λ = – 1
  3. a = | λ |
Answer:

Question 68:

  1. x = 2λ, y = λ, z = λ
  2. x = λ, y = 2λ, z = – λ
  3. x = –λ, y = 2λ, z = λ
  4. x = – λ, y = – 2λ, z = λ.
Answer:

x = –λ, y = 2λ, z = λ

Question 69:

Answer:

Question 70:

  1. 1 square unit
  2. 2 square units
  3. 4 square units
Answer:

2 square units

Question 71:

  1. 0 < θ < π
  2. 0 ≤ θπ
Answer:

Question 72:

Answer:

Question 73:

  1. 0
  2. -1
  3. 1
  4. 3
Answer:

3

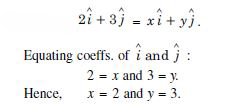
Question 74:

  1. 0
  2. π
Answer:

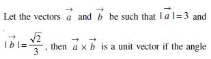
Question 75:

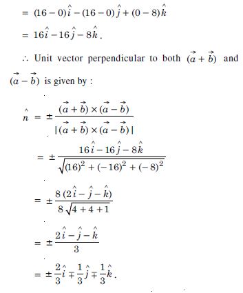
  1. 42
Answer: