Board Paper of Class 12 2022 Mathematics Term-1 Set-4 CODE 065/2/4
General Instructions:
- This question paper comprises 50 questions out of which 40 questions are to be attempted as per instructions. All questions carry equal marks.
- The question paper consists of three Sections - Section A, B and C.
- Section - A contains 20 questions. Attempt any 16 questions from Q. No. 1 to 20.
- Section - B also contains 20 questions. Attempt any 16 questions from Q. No. 21 to 40.
- Section - C contains 10 questions including one Case Study. Attempt any 8 from Q. No. 41 to 50.
- There is only one correct option for every Multiple Choice Question (MCQ). Marks will not be awarded for answering more than one option.
- There is no negative marking.
Question 1
Differential of is
Ans. (a)
Question 2
The number of all possible matrices of order 2 × 3 with each entry 1 or 2 is
- 16
- 6
- 64
- 24
Ans. (c)
Sol: Number of elements in matrix of order 2 × 3 = 6
Number of all possible matrices = = 64
Question 3
A function is defined as Then the function has
- no minimum value
- no maximum value
- both maximum and minimum values
- neither maximum value nor minimum value
Ans. (d)
Question 4
If then is
Ans.(a)
Question 5
The points on the curve where tangent is parallel to x-axis are
- (±5, 0)
- (0, ±5)
- (0, ±3)
- (±3, 0)
Ans. (b)
Question 6
Three points are collinear, then x is equal to
- 0
- 2
- 3
- 1
Ans. (d)
Question 7
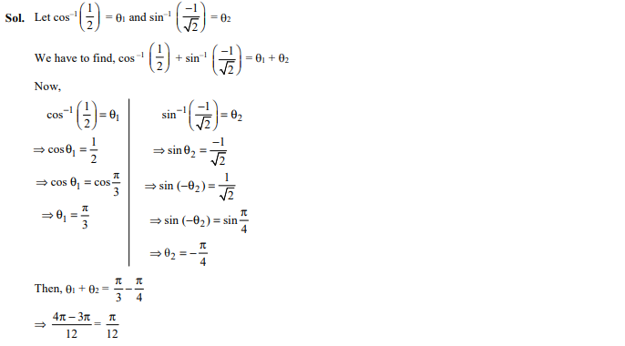
The principal value of is
Ans: (a)
Question 8
If
Ans. (c)
Question 9
If a matrix A is both symmetric and skew symmetric, then A is necessarily a
- Diagonal matrix
- Zero square matrix
- Square matrix
- Identity matrix
Ans. (b)
Question 10
Let set X = {1, 2, 3} and a relation R is defined in X as : R = {(1, 3), (2, 2), (3, 2)}, then minimum ordered pairs which should be added in relation R to make it reflexive and symmetric are
- {(1, 1), (2, 3), (1, 2)}
- {(3, 3), (3, 1), (1, 2)}
- {(1, 1), (3, 3), (3, 1), (2, 3)}
- {(1, 1), (3, 3), (3, 1), (1, 2)}
Ans. (c)
Sol. To make R reflexive: Add (3, 1), (2, 3) in the relation R.
To make R symmetric: Add (1, 1), (3, 3) in the relation R.
The ordered pairs should be added in Relation ‘R’ are {(1, 1) (3, 3) (3, 1), (2, 3)}.
Question 11
Ans. (b)
Question 12
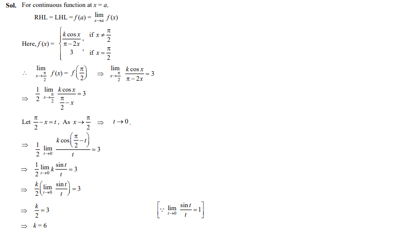
The function is continuous at x = 0 for the value of k, as
- 3
- 5
- 2
- 8
Ans.(d)
Question 13
If denotes the cofactor of element of the matrix P = then the value of .
- 5
- 24
Ans.(a)
Sol. Given, matrix is
P
Then,
Question 14
The function is decreasing in the interval is decreasing in the interval
Ans. (d)
Question 15
If R is a relation in set Z, then domain of R is
- {0, 1, 2}
- {–2, –1, 0, 1, 2}
- {0, –1, –2}
- {–1, 0, 1}
Ans. (b)
Question 16
The system of linear equations 5x + ky = 5, 3x + 3y = 5; will be consistent if
- k – 3
- k = – 5
- k = 5
- k 5
Ans. (d)
Sol.
The system of linear equation will be consistent if
Now,
Question 17
The equation of the tangent to the curve where it crosses the x-axis is
- x – 5y = 2
- 5x – y = 2
- x + 5y = 2
- 5x + y = 2
Ans. (c)
Question 18
If are equal, then value of abcd is
- 4
- 16
- 6
- 16
Ans. (a)
Question 19
The principal value of is
Ans. (a)
Question 20
For two matrices P = and , PQ is
Ans. (b)
Question 21
The function is increasing in the interval

Ans: (c);
Question 22
If
Ans. (b)
Question 23
What is the domain of the function
Ans: (d);
Question 24
Ans: (b);
Question 25
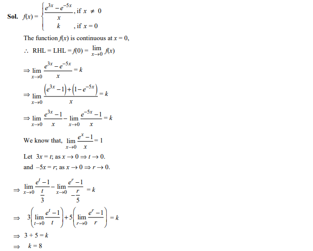
If a function f defined by , then the value of k is
- 2
- 3
- 6
- 6
Ans. (c)
Question 26
For the matrix is
- 2I
- 3I
- I
- 5I
Ans. (a)
Question 27
Let and the function is defined by Then this function is
- injective only
- not bijective
- surjective only
- bijective
Ans.(d)
Question 28
The corner points of the feasible region for a Linear Programming problem are P(0, 5), Q(1, 5), R(4, 2) and S(12, 0). The minimum value of the objective function Z = 2x + 5y is at the point
- P
- Q
- R
- S
Sol. (c);
Given, points of the feasible region: P (0, 5), Q (1, 5), R (4, 2) and S (12, 0) and objective function Z = 2x + 5y
Here,
Hence, the minimum value of Z is at the point R.
Question 29
The equation of the normal to the curve at the point
Ans. (d)
Question 30
If A is a square matrix of order 3 and ,then is
- 125
- –25
- 25
- ±25
Ans. (c)
Question 31
The simplest form of
Ans.(c)
Question 32
If for the matrix then the value of is
Ans : (a);
Question 33
If then which one of the following equations is true?
Ans. (b)
Question 34
The principal value of is
- 0
Ans. (b)
Question 35
The maximum value of is
Ans. (a)
Question 36
Let matrix is given by Then the matrix where = Minor of ,is
Ans. (d)
Question 37
A function defined by
- not one-one
- one-one
- not onto
- neither one-one nor onto
Ans. (d)
Question 38
Ans. (b)
Sol: Objective function Z = 2x – y + 5
Points of the feasible region are
A(0, 10), B(12, 6), C(20, 0) and O(0, 0)
Question 39
If x = – 4 is a root of then the sum of the other two roots is
- 4
- -3
- 2
- 5
Ans. (a)
Question 40
The absolute maximum value of the function in the interval is
- 8
- 9
- 6
- 10
Ans. (a)
Question 41
In a sphere of radius r, a right circular cone of height h having maximum curved surface area is inscribed. The expression for the square of curved surface of cone is
Ans. (c)
Question 42
The corner points of the feasible region determined by a set of constraints (linear inequalities) are P(0, 5), Q(3, 5), R(5, 0) and S(4, 1) and the objective function is Z = ax + 2by where a, b > 0. The condition on a and b such that the maximum Z occurs at Q and S is
- a – 5b = 0
- a – 3b = 0
- a – 2b = 0
- a – 8b = 0
Ans. (d)
Question 43
If curves and xy = c cut at right angles, then the value of c is
Ans. (a)
Question 44
The inverse of the matrix is
Ans. (d)
Question 45
For an L.P.P. the objective function is Z = 4x + 3y, and the feasible region determined by a set of constraints (linear inequations) is shown in the graph.
Ans. (b)
Sol. Z = 4x + 3y
Corner points of feasible region are P(0, 40), O(0, 0), R(40, 0), and Q(30, 20)
Question 46
Let side of square plot is x m and its depth is h metres, then cost c for the pit is
Ans. (b)
Question 47
Value of h (in m) for which is
- 1.5
- 2
- 2.5
- 3
Ans. (c)
Question 48
is given by
Ans. (a)
Question 49
Value of x (in m) for minimum cost is
- 5
Ans. (d)
Question 50
Total minimum cost of digging the pit (in ₹) is
- 4,100
- 7,500
- 7,850
- 3,220
Ans. (b)

