Board Paper of Class 12 2022 Physics Delhi (Set 055/1/4) - Solutions
General Instructions:
- This question paper contains 55 questions out of which 45 questions are to be attempted. All questions carry equal marks.
- This question paper consists of three sections , Section A, Section B and Section C.
- Section A contains 25 questions. Attempt any 20 questions from Q. No. 1 to 25.
- Section B contains 24 questions. Attempt any 20 questions from Q. No. 26 to 49.
- Section C contains 6 questions. Attempt any 5 questions from . No. 50 to 55.
- The first 20 questions in Section A and Sections B and first 5 questions attempted in Section C by a candidate will be evaluated.
- There is only one correct option for every multiple choice question (MCQ). Marks will not be awarded for answering more than one option.
- There is no negative marking.
Question 1
An electric dipole placed in a non-uniform electric field will experience :
- only a force
- only a torque
- both force and torque
- neither force nor torque
Ans. (c)
Question 2
Let N1 be the number of electric field lines going out of an imaginary cube of side 𝒶 that encloses an isolated point charge 2q and N2 be the corresponding number for an imaginary sphere of radius a that encloses an isolated point charge 3q. Then (N1/N2) is :
- 1/π
- 2/3
- 9/4
- π
Ans. (b)
Question 3
In the circuit given below P R and the reading of the galvanometer is same with switch S open or closed. Then :
- IQ = IR
- IR = IG
- IP = IG
- IQ = IG
Ans. (b)
Question 4
Two wires A and B, of the same material having length in the ratio 1 : 2 and diameter in the ratio 2 : 3 are connected in series with a battery. The ratio of the potential differences (VA / VB) across the two wires respectively is :
- 1/3
- 3/4
- 4/5
- 9/8
Ans. (d)
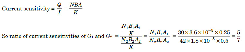
Question 5
Two moving coil galvanometers G1 and G2 have the following particulars respectively :
N1 = 30, A1 = 3.6 10-3 m2, B1 = 0.25 T
N2 = 42, A2 = 1.8 10-3 m2, B1 = 0.50 T
The spring constant is same for both the galvanometers. The ratio of current sensitivities of G1 and G2 is :
- 5 : 7
- 7 : 5
- 1 : 4
- 1 : 1
Ans. (a)
Question 6
A current I is flowing through the loop as shown in the figure (MA = R, MB = 2R). The magnetic field at the centre of the loop is μ0I/R times :
- 5/16, into the plane of the paper
- 5/16, out of the plane of the paper
- 7/16, out of the plane of the paper
- 7/16, into the plane of the paper
Ans. (d)
Question 7
A capacitor and an inductor are connected in two different AC circuits with a bulb glowing in each circuit. The bulb glows more brightly when :
- the number of turns in the inductor is increased
- the separation between the plates of the capacitor is increased
- an iron rod is introduced into the inductor
- a dielectric is introduced into the gap between the plates of the capacitor
Ans. (d)
Question 8
A pure inductor of 318 mH and a pure resistor of 75 Ω are connected in series to an AC source of 50 Hz. The voltage across 75 Ω resistor is found to be 150 V. The source voltage is :
- 150 V
- 175 V
- 220 V
- 250 V
Ans. (d)
Question 9
The electric potential at a point on the axis of a short electric dipole, at a distance x from the mid-point of dipole is proportional to :
Ans. (d)
Question 10
Let F1 be the magnitude of the force between two small spheres, charged to a constant potential in free space and F2 be the magnitude of the force between them in a medium of dielectric constant k. Then (F1/F2) is :
- 1/k
- k
- k2
- 1/k2
Ans. (b)
Question 11
Infinity resistance in a resistance box has :
- a resistance of 105 Ω
- a resistance of 107 Ω
- a resistance of ∾ resistance
- a gap only
Ans. (d)
A plug (named infinity plug) is taken out from resistance box so air gap is introduced there. Since air is bad conductor of current. Therefore, no current flows in the circuit which implies resistance of infinity resistance is introduced in the circuit.
Question 12
A battery of 15 V and negligible internal resistance is connected across a 50 Ω resistor. The amount of energy dissipated as heat in the resistor in one minute is :
- 122 J
- 270 J
- 420 J
- 720 J
Ans. (b)
Question 13
Lenz’s law is the consequence of the law of conservation of :
- energy
- charge
- mass
- momentum
Ans. (a)
We can take an example, when North Pole of magnet is moved towards a coil, one end of coil [near to magnet] develops north polarity hence repelling the magnet. Now we have to apply external force to move the magnet towards coil. This external work done gets converted into induced emf in coil. So Lenz's law is consequence of conservation of energy.
Question 14
The vertical component of earth’s magnetic field at a place is
times the horizontal component. The angle of dip at that place is :
- 0°
- 30°
- 45°
- 60°
Ans. (b)
Question 15
A long straight wire in the horizontal plane carries a current of 15 A in north to south direction. The magnitude and direction of magnetic field at a point 2.5 m east of the wire respectively are :
- 1.2 µT, vertically upward
- 1.2 µT, vertically downward
- 0.6 µT, vertically upward
- 0.6 µT, vertically downward
Ans. (a)
Question 16
The emf induced in a 10 H inductor in which current changes from 11 A to 2 A in 9 s is :
- 104 V
- 103 V
- 102 V
- 10 V
Ans. (c)
Question 17
A charge Q is placed at the centre of the line joining two charges q and q. The system of the three charges will be in equilibrium if Q is :
Ans. (d)
Question 18
Electric flux of an electric field through an area is given by :
Ans. (c)
Question 19
In a potentiometer experiment, the balancing length with a cell is 120 cm. When the cell is shunted by a 1 Ω resistance, the balancing length becomes 40 cm. The internal resistance of the cell is :
- 10 Ω
- 7 Ω
- 3 Ω
- 2 Ω
Ans. (d)
Question 20
An electron is projected with velocity along the axis of a current carrying long solenoid. Which one of the following statements is true ?
- The path of the electron will be circular about the axis.
- The electron will be accelerated along the axis.
- The path of the electron will be helical.
- The electron will continue to move with the same velocity along the axis of the solenoid.
Ans. (d)
Question 21
If the speed of a charged particle moving in a magnetic field ( is perpendicular to ) is halved, then the radius of its path will :
- not change
- become two times
- become one-fourth
- become half
Ans. (d)
Question 22
A metal plate is getting heated. Which one of following statements is incorrect ?
- It is placed in a space varying magnetic field that does not vary with time.
- A direct current is passing through the plate.
- An alternating current is passing through the plate.
- It is placed in a time varying magnetic field.
Ans. (a)
Case (a); Space varying magnetic field means field at different points are different and constant in magnitude so there will be no change in flux of metal plate hence no induced current will be there in plate so no heat loss/dissipation.
Case (b), (c); Alternating current or direct current will heat up plate due to heat loss.
Case (d); In time varying magnetic field, emf gets induced so induced current heats up the plate.
Question 23
In an ac circuit the applied voltage and resultant current are
respectively.
The average power consumed in the circuit is :
- E0 I0
- Zero
Ans. (d)
Question 24
The speed acquired by a free electron when accelerated from rest through a potential difference of 100 V is :
- 6 × 106 m s-1
- 3 × 106 m s-1
- 4 × 105 m s-1
- 2 × 103 m s-1
Ans. (a)
Question 25
Which one of the following is not affected by the presence of a magnetic field ?
- A current carrying conductor
- A moving charge
- A stationary charge
- A rectangular current loop with its plane parallel to the field
Ans. (c)
Question 26
Two point charges + 16q and – 4q are located at x = 0 and x = L. The location of the point on X-axis at which the resultant electric field due to these charges is zero, is :
- 8 L
- 6 L
- 4 L
- 2 L
Ans. (d)
Question 27
An electric dipole of dipole moment C-m, kept in a uniform electric field of , experiences a torque of 2 Nm. The angle which the dipole makes with the electric field is :
- 30°
- 45°
- 60°
- 90°
Ans. (a)
Question 28
Three identical charges are placed on x-axis from left to right with adjacent charges separated by a distance d. The magnitude of the force on a charge from its nearest neighbor charge is F. Let be the unit vector along + X-axis, then the net force on each charge from left to right is :
Ans. (c)
Question 29
Two students A and B calculate the charge flowing through a circuit. A concludes that 300 C of charge flows in 1 minute. B concludes that 3.125 × 1019 electrons flow in 1 second. If the current measured in the circuit is 5 A, then the correct calculation is done by :
- A
- B
- both A and B
- neither A nor B
Ans. (c)
Question 30
The resistances of two wires having same length and same area of cross-section are 2 Ω and 8 Ω respectively. If the resistivity of 2 Ω wire is 2.65 Ω 10-8 Ω-m then the resistivity of 8 Ω wire is :
Ans. (a)
Question 31
In a certain region electric field and magnetic field are perpendicular to each other. An electron entersthe region perpendicular to the direction of both and and moves undeflected. The speed of the electron is :
Ans. (c)
Question 32
Ans. (d)
Question 33
In a series LCR circuit, at resonance the current is equal to :
Ans. (a)
Question 34
The frequency of an AC source for which a 10 F capacitor has a reactance of 1000 Ω is :
- 50 Hz
Ans. (d)
Question 35
In the given network all capacitors used are identical and each one is of capacitance C. Which of the following is the equivalent capacitance between the points A and B ?
- 6 C
Ans.(c)
Given, connecting wire is attached at given points, that makes same potential at the end of connection so, circuit can be redrawn as. All capacitors are identical
Question 36
The given figure shows I – V graph of a copper wire whose length and area of cross-section are L and A respectively. The slope of this curve becomes :
- less if the length of the wire is increased
- more if the length of the wire is increased
- more if a wire of steel of same dimension is used
- more if the temperature of wire is increased
Ans. (a)
Question 37
When a potential difference V is applied across a conductor at temperature T, the drift velocity of the electrons is proportional to :
- T
- V
Ans. (c)
Question 38
Two identical thick wires and two identical thin wires, all of the same material and the same length form a square in three different ways P, Q and R as shown. Due to the current in these loops the magnetic field at the centre of the loop will be zero in case of :
- P and R only
- Q and R only
- P and Q only
- P, Q and R
Ans. (a)
Question 39
A circular current carrying coil produces a magnetic field B0 at its centre. The coil is rewound so as to have three turns and the same current is passed through it. The new magnetic field at the centre is :
Ans. (d)
Question 40
Which one of the following statements is true ?
- An inductor has infinite resistance in a dc circuit.
- A inductor and a capacitor both cannot conduct in a dc circuit.
- A capacitor can conduct in a dc circuit but not an inductor.
- An inductor can conduct in a dc circuit but not a capacitor.
Ans. (d)
Question 41
The magnetic flux linked with a coil is given by = 5t2 + 3t + 16, where is in weber and t in seconds. The induced emf in the coil at t = 5 s will be :
- 53 V
- 43 V
- 10 V
- 6 V
Ans. (a)
Question 42
If a charge is moved against a coulomb force of an electric field, then the :
- intensity of the electric field increases
- intensity of the electric field decreases
- work is done by the electric field
- work is done by the external source
Ans. (d)
Question 43
A charge Q is located at the centre of a circle of radius r. The work done in moving a test charge q0 from point A to point B (at opposite ends of diameter AB) so as to complete a semicircle is : 
Ans. (d)
Question 44
A long solenoid carrying current produces a magnetic field B along its axis. If the number of turns in the solenoid is halved and current in it is doubled, the new magnetic field will be :
- B/2
- B
- 2B
- 4B
Ans. (b)
- Both Assertion (A) and Reason (R) are true and Reason (R) is the correct explanation of Assertion (A).
- Both Assertion (A) and Reason (R) are true, but Reason (R) is not the correct explanation of Assertion (A).
- Assertion (A) is true, but Reason (R) is false.
- Assertion (A) is false, but Reason (R) is true.
Question 45
Assertion (A) : A bar magnet experiences a torque when placed in a magnetic field.
Reason (R): A bar magnet exerts a torque on itself due to its own magnetic field.
Ans. (c)
(A): A bar magnet experiences a torque in magnetic field
= MB sin So, assertion is true
(R): A bar magnet exerts torque due to other's magnetic field (not its own magnetic field)
So, reason is not true.
Question 46
Assertion (A): In a series LCR circuit connected to an ac source, resonance can take place.
Reason (R): At resonance XL = XC.
Ans. (b)
(A): When LCR connected to an AC source, LCR circuit shows the resonance at XL XC because not its reason
(R): It is true.
Question 47
Assertion (A): When a charged particle moves with velocity in a magnetic field , the force on the particle does no work.
Reason (R): The magnetic force is perpendicular to the velocity of the particle.
Ans. (a)
(A): A positive charged particle enters in magnetic field normally. It makes the circular path.
Question 48
Assertion (A): Induced emf in two coils made of wire of the same length and the same thickness, one of copper and another of aluminium is same. The current in copper coil is more than the aluminium coil.
Reason (R): Resistance of aluminium coil is more than that of copper coil.
Ans. (a)
Question 49
Assertion (A): A transformer is used to increase or decrease ac voltage only.
Reason (R) : A transformer works on the basis of mutual induction.
Ans. (a)
(A): A transformer is used to increase or decrease AC voltage only (not dc) because AC voltage provides changing in current which produce magnetic flux.
(R): Transformer works on the principle of mutual induction between primary coil and secondary coil.
Both A and R are true but R is not the correct explanation of A.
This section consists of 6 multiple choice questions with an overall choice to attempt any 5 questions. In case more than the desirable number of questions are attempted, only the first 5 questions will be considered for valuation.
Question 50
Two charged spheres A and B having their radii in the ratio 1 : 2 are connected together with a conducting wire. The ratio of their surface charge densities
will be :
- 1/2
- 2
- 1/4
- 4
Ans. (b)
When two charged spheres are connected together, charge flows from one sphere to other in such a way that potentials of both spheres become equal.
Question 51
A current carrying square loop is suspended in a uniform magnetic field acting in the plane of the loop. If the force on one arm of the loop is
, the net force on the remaining three arms of the loop will be :
Ans. (d)
Question 52
The equivalent emf of this combination is :
Ans. (c)
Question 53
For terminal B to be negative :
- ε1 r2 > ε2 -r1
- ε1 r2 < ε2 r1
- ε1 r1 > ε2 r2
- ε2 r2 = ε1 r1
Ans. (b)
Question 54
The current in the internal circuit is :
Ans. (a)
Question 55
The equivalent internal resistance of the combination is :
Ans. (c)