Board Paper of Class 10 2022 Mathematics (Basic) Term 1 Set 4 - Solutions
General Instructions:
- This question paper contains 50 questions out of which 40 questions are to be attempted. All questions carry equal marks.
- This question paper contains three Sections: A, B, and C.
- Section A has 20 questions. Attempt any 16 questions from Q.No. 1 to 20.
- Section B has 20 questions. Attempt any 16 questions from Q.No. 21 to 40.
- Section C contains two Case Studies containing 5 Questions in each case. Attempt any 4 questions from Q.No. 41 to 45 and 4 another from Q.No. 46 to 50.
- There is only one correct option for every multiple choice question (MCQ). Marks will not be awarded for answering more than one option.
- There is no negative marking.
Question 1
HCF of 92 and 152 is
- 4
- 19
- 23
- 27
Sol. (a);
The prime factorisation of 92 and 152 are:
Question 2
In ABC, DE || BC, AD = 4 cm, DB = 6 cm and AE = 5 cm. The length of EC is
- 7 cm
- 6.5 cm
- 7.5 cm
- 8 cm
Sol. (c); In ABC, DE || BC by BPT
Question 3
The value of k, for which the pair of linear equations x + y – 4 = 0, 2x + ky – 3 = 0 have no solution, is
- 0
- 2
- 6
- 8
Sol. (b); Since the given pair of linear equations has no solution.
Question 4
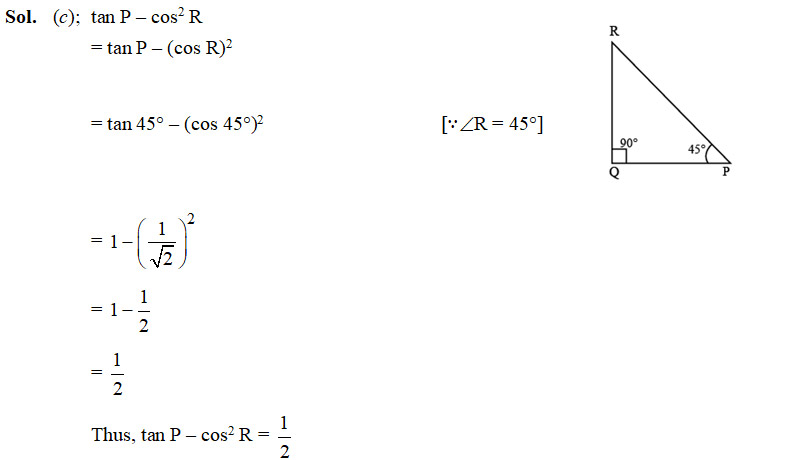
The value of (tan2 45° – cos2 60°) is
Sol. (d); We know that,
Question 5
A point (x, 1) is equidistant from A(0, 0) and B(2, 0). The value of x is
- 1
- 0
- 2
Sol. (a); Let P(x, 1) be equidistant from A(0, 0) and B(2, 0)
Question 6
Two coins are tossed together. The probability of getting exactly one head is
- 1
Sol. (b); When two coins are tossed together, then the following outcomes are obtained
HH, HT, TH, TT
Exactly one head is obtained, if the events are:
HT, TH
Hence, P(exactly one head)
Question 7
A circular arc of length 22 cm subtends an angle at the centre of the circle of radius 21 cm. The value of is
- 90°
- 50°
- 60°
- 30°
(c); Length of arc (l) = 22 cm
Question 8
A quadratic polynomial having sum and product of its zeroes as 5 and 0 respectively, is
- x2 + 5x
- 2x(x – 5)
- 5x2 - 1
- x2 – 5x + 5
Sol. (b); Let and be two roots of the given polynomial.
Question 9
If P(E) = 0.65, then the value of P(not E) is
- 1.65
- 0.25
- 0.65
- 0.35
Sol. (d); We know that, sum of the probability of happening event (E) and not happening event () is 1.
Question 10
It is given that DEF ~ PQR. EF : QR = 3 : 2, then value of ar(DEF): ar(PQR) is
- 4 : 9
- 4 : 3
- 9 : 2
- 9 : 4
Sol. (d); Given that DEF ~ PQR and EF : QR = 3 : 2
Question 11
Zeroes of a quadratic polynomial x2 – 5x + 6 are
- –5, 1
- 5, 1
- 2, 3
- –2, –3
Sol. (c); Given quadratic polynomial is
Question 12
is a
- non-terminating and non-repeating decimal expansion.
- terminating decimal expansion after 2 places of decimals.
- terminating decimal expansion after 3 places of decimals.
- non-terminating but repeated decimal expansion.
Question 13
Perimeter of a rectangle whose length () is 4 cm more than twice its breadth (b) is 14 cm. The pair of linear equations representing the above information is
Sol.(d); Let be the length and be the breadth.
Question 14
Question 15
The ratio in which the point (4, 0) divides the line segment joining the points (4, 6) and (4, –8) is
- 1 : 2
- 3 : 4
- 4 : 3
- 1 : 1
Sol. (b); Let P(4, 0) divides the line segment joining the points A(4, 6) and B(4, –8) in the ratio k : 1.
Question 16
Question 17
In the given figure, a circle is touching a semi-circle at C and its diameter AB at O. If AB = 28 cm, what is the radius of the inner circle?
Question 18
The vertices of a triangle OAB are O(0, 0), A(4, 0) and B(0, 6). The median AD is drawn on OB. The length AD is
Question 19
Question 20
Question 21
The perimeter of the sector of a circle of radius 14 cm and central angle 45° is
- 11 cm
- 22 cm
- 28 cm
- 39 cm
Sol. (d);
Question 22
A bag contains 16 red balls, 8 green balls and 6 blue balls. One ball is drawn at random. The probability that it is blue ball is
- 1/2
- 1/5
- 1/30
- 5/6
Sol. (b);
Total number of balls in the bag = 16 + 8 + 6 = 30
Number of blue balls in the bag = 6
Question 23
If sin - cos = 0, then the value of is
- 30°
- 45°
- 90°
- 0°
Sol. (b); Given sin - cos = 0
Since, we know that sine and cosine have equal value at 45°.
Thus, = 45°.
Question 24
The probability of happening of an event is 0.02. The probability of not happening of the event is
- 0.02
- 0.80
- 0.98
- 49/100
Sol. (c); We know that, sum of the probability of happening and not happening of an event is 1.
Question 25
Two concentric circles are centred at O. The area of shaded region, if outer and inner radii are 14 cm and 7 cm respectively, is

- 462 cm2
- 154 cm2
- 231 cm2
- 308 cm2
(a); Outer radius (R) = 14 cm
Question 26
Sol. (d);
Question 27
The origin divides the line segment AB joining the points A(1, -3) and B(-3, 9) in the ratio:
- 3 : 1
- 1 : 3
- 2 : 3
- 1 : 1
Sol. (b); Let origin divides AB in the ratio k : 1.
Question 28
The perpendicular bisector of a line segment A(–8, 0) and B(8, 0) passes through a point (0, k). The value of k is
- 0 only
- 0 or 8 only
- any real number
- any non-zero real number
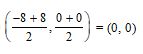
Sol. (c); The coordinates of mid-point of line segment joining A(–8, 0) and B(8, 0) =
Since, given that perpendicular bisector AB passes through (0, k).
Thus, the value of k will be any real number as origin is the mid-point of AB.
Question 29
Which of the following is a correct statement?
- Two congruent figures are always similar.
- Two similar figures are always congruent.
- All rectangles are similar.
- The polygons having same number of sides are similar.
Sol. (a);
- Two congruent figures are always similar.
- Two similar figures are not always congruent.
- All rectangles are not similar.
- The polygons having same number of sides are not similar.
Thus, the correct statement is ‘Two congruent figures are always similar.’
Question 30
The solution of the pair of linear equations x = –5 and y = 6 is
- (–5, 6)
- (–5, 0)
- (0, 6)
- (0, 0)
Sol. (a); The graph of linear equations x = –5 and y = 6, intersect each other at (–5, 6).
Thus, the solution of the pair of linear equations x = –5 and y = 6 is (–5, 6).
Question 31
A circle of radius 3 units is centered at (0, 0). Which of the following points lie outside the circle?
- (–1, –1)
- (0, 3)
- (1, 2)
- (3, 1)
Sol. (d); Radius of circle = 3 units
Question 32
The value of k for which the pair of linear equation 3x + 5y = 8 and kx + 15y = 24 has infinitely many solutions, is
- 3
- 9
- 5
- 15
Sol. (b); The given pair of linear equations are
Question 33
HCF of two consecutive even number is
- 0
- 1
- 2
- 4
Sol. (c); HCF of two consecutive even numbers is 2.
Question 34
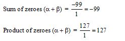
The zeroes of quadratic polynomial x2 + 99x + 127 are
- both negative
- both positive
- one positive and one negative
- reciprocal of each other
Sol. (a); Let and β zeroes of x2 + 99x + 127.
Since, sum of zeroes is negative but product of zeroes is positive.
Thus, both the zeroes of the given quadratic polynomial are negative.
Question 35
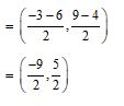
The mid-point of line segment joining the points (–3, 9) and (–6, –4) is
Sol. (c); The coordinates of mid-point of line segment joining the points (–3, 9) and (–6, –4)
Question 36
- terminating after 1 decimal place.
- non-terminating and non-repeating.
- terminating after 2 decimal places.
- non-terminating but repeating.
(d); A rational number having denominator, whose prime factors are not in the form 2m × 5n, have non-terminating but repeating decimal expansion.
Question 37
In ΔABC, DE ‖ BC, AD = 2 cm, DB = 3 cm, DE : BC is equal to
- 2 : 3
- 2 : 5
- 1 : 2
- 3 : 5
Sol. (b);
Question 38
The (HCF x LCM) for the numbers 50 and 20 is
- 1000
- 50
- 100
- 500
Sol. (a); We know that,
Product of two numbers is equal to the product of their HCF and LCM.
Thus, HCF x LCM = 50 x 20 = 1000.
Question 39
For which natural number n, 6n ends with digit zero?
- 6
- 5
- 0
- None
Sol. (d);
We observe that for any natural number n, 6n always ends with 6.
Thus, for no natural number n, 6n ends with digit zero.
Question 40
(1 + tan2 A) (1 + sin A) (1 – sin A) is equal to
-
- 1
- 0
- 2
Sol. (b); (1 + tan2 A) (1 + sin A) (1 – sin A)
Case Study – I
(Attempt any 4 questions from Q. No. 41 to 45)
Sukriti throws a ball upwards, from a rooftop which is 8 m high from ground level. The ball reaches to some maximum height and then returns and hit the ground.
If height of the ball at time t ( in sec) is represented by h (m), then equation of its path is given as
Based above information, answer the following:
Question 41
The maximum height achieved by ball is
- 7 m
- 8 m
- 9 m
- 10 m
Sol. (c)
Draw a perpendicular from maximum height on x-axis. It meet x-axis at (1, 0).
Thus, height of ball at time t = 1 is
Question 42
The polynomial represented by above graph is
- linear polynomial
- quadratic polynomial
- constant polynomial
- cubic polynomial
Sol. (b) The polynomial represented by above graph is quadratic polynomial.
Question 43
Time taken by ball to reach maximum height is
- 2 sec
- 4 sec.
- 1 sec.
- 2 min.
Sol. (c); Time taken by ball to reach maximum height is 1 sec.
Question 44
Number of zeroes of the polynomial whose graph is given, is
- 1
- 2
- 0
- 3
Sol. (b) Since, given graph is of quadratic polynomial.
Thus, it has two zeros.
Question 45
Zeroes of the polynomial are
- 4
- –2, 4
- 2, 4
- 0, 4
Sol. (b); Given polynomial,
On equating to zero.
Thus, zeroes of polynomial are –2, 4.
Case Study- II
(Attempt any 4 questions from Q. No. 46 to 50)
Quilts are available in various colours and design. Geometric design include shapes like squares, triangles, rectangles, hexagons etc. One such design shown above. Two triangles are highlighted, .
Based on above information, answer the following questions:
Question 46
Which of the following criteria is not suitable for to be similar to ?
- SAS
- AAA
- SSS
- RHS
Sol. (d); RHS is not suitable for to be similar to .
Question 47
If each square is of length x unit, then length BC is equal to
Sol. (a) In right
Question 48
Ratio BC : PR is equal to
- 2 : 1
- 1 : 4
- 1 : 2
- 4 : 1
Sol. (c);
Question 49
ar (PQR) : ar (ABC) is equal to
- 2 : 1
- 1 : 4
- 4 : 1
- 1 : 8
Sol. (c);
We know that, ratio of area of two similar triangles is equal to the ratio of square of corresponding sides.
Thus
Question 50
Which of the following is not true?
Sol. (d);
It should be










