Board Paper of Class 12 2022 Physics-G12 Delhi Set 55/2/4 - Solutions
General Instructions:
- This question paper contains 55 questions out of which 45 questions are to be attempted. All questions carry equal marks.
- This question paper consists of three sections , Section A, Section B and Section C.
- Section A contains 25 questions. Attempt any 20 questions from Q. No. 1 to 25.
- Section B contains 24 questions. Attempt any 20 questions from Q. No. 26 to 49.
- Section C contains 6 questions. Attempt any 5 questions from . No. 50 to 55.
- The first 20 questions in Section A and Sections B and first 5 questions attempted in Section C by a candidate will be evaluated.
- There is only one correct option for every multiple choice question (MCQ). Marks will not be awarded for answering more than one option.
- There is no negative marking.
Section – A
This Section consists of 25 multiple choice questions with overall choice to attempt any 20 questions. In case more than desirable number of questions are attempted, only first 20 questions will be considered for evaluation.
Question 1
A negative charged object X is repelled by another charged object Y. However an object Z is attracted to object Y. Which of the following is the most possibility for the object Z?
- positively charged only
- negatively charged only
- neutral or positively charged
- neutral or negatively charged
Ans. (c)
Question 2
In an experiment three microscopic latex spheres are sprayed into a chamber and became charged with charges +3e, +5e and -3e respectively. All the three spheres came in contact simultaneously for a moment and got separated. Which one of the following are possible values for the final charge on spheres?
- +5e, -4e, +5e
- +6e, +6e, -7e
- -4e, +3.5e, +5.5e
- +5e, -8e, +7e
Ans. (b)

Question 3
An object has charged of 1 C and gains electrons. The net charge on the object becomes-
- -0.80 C
- +0.80 C
- +1.80 C
- +0.20 C
Ans. (d)

Question 4
Kirchhoff’s first rule and second rule E (where the symbols have their usual meanings) are respectively based on–
- conservation of momentum and conservation of charge
- conservation of energy, conservation of charge
- conservation of charge, conservation of momentum
- conservation of charge, conservation of energy
Ans. (a)

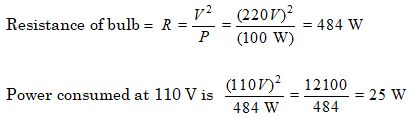
Question 5
The electric power consumed by a 220 V - 100 W bulb when operated at 110 V is
- 25 W
- 30 W
- 35 W
- 45 W
Ans. (a)

Question 6
Which one of the following has negative temperature coefficient of resistivity?
- metal
- metal and semiconductor
- semiconductor
- metal and alloy
Ans. (c)
Question 7
Two wires carrying currents , lie, one slightly above the other, in a horizontal plane as shown in figure. The region of vertically upward strongest magnetic field is
- I
- II
- III
- IV
Ans. (b)
Question 8
Two parallel conductors carrying current of 4.0 A and 10.0 A are placed 2.5 cm apart in vacuum. The force per unit length between them is-
Ans. (d)
Question 9
If an ammeter is to be used in place of a voltmeter, then we must connect with the ammeter a -
- low resistance in parallel
- low resistance in series
- high resistance in parallel
- high resistance in series
Ans. (d)
Question 10
The magnetic field at the centre of a current carrying circular loop of radius R, is . The magnetic field at a point on its axis at distance R from the center of the loop . Then the ratio (/) is
- 2
Ans. (a)
Question 11
The self-inductance of a solenoid of 600 turns is 108 mH. The self-inductance of a coil having 500 turns with the same length, the same radius and the same medium will be
- 95 mH
- 90 mH
- 85 mH
- 75 mH
Ans. (d)
Question 12
The rms current in a circuit connected to a 50 Hz AC source is 15 A. The value of the current in the circuit s after the instant the current is zero, is -
- 8 A
Ans. (a)

Question 13
In a circuit the phase difference between the alternating current and the source voltage is . Which of the following cannot be the element(s) of the circuit?
- only C
- only L
- L and R
- L or C
Ans. (c)

Question 14
The electric potential V at any point (x, y, z) is given by V = where x is in meters and V in volts. The electric field at the point (1 m, 0, 2m) is –
- 6 V/m along -x-axis
- 6 V/m along +x-axis
- 1.5 V/m along -x-axis
- 1.5 V/m along +x-axis
Ans. (a)

Question 15
Which of the diagrams correctly represents the electric field between two charged plates if a neutral conductor is placed in between the plates?
Ans. (d)
Question 16
A variable capacitor is connected to a 200 V battery. If its capacitance is changed from 2 to x , the decrease in energy of the capacitor is 2 × J. The value of x is -
- 1
- 2
- 3
- 4
Ans. (a)

Question 17
A potential difference of 200 V is maintained across a conductor of resistance 100 . The number of electrons passing through it in 1s is
Ans. (a)
Question 18
The impedance of a series LCR circuit is -
Ans. (d)

Question 19
When an alternating voltage E = sin t is applied to a circuit, a current I = sin flows through it. The average power dissipated in the circuit is
- Erms . Irms
- E0 I0
- Zero
Ans. (d)

Question 20
A current carrying wire kept in a uniform magnetic field, will experience a maximum force when it is
- perpendicular to the magnetic field
- parallel to the magnetic field
- at an angle of 45° to the magnetic field
- at an angle of 60° to the magnetic field
Ans. (a)

Question 21
The voltage across a resistor, an inductor, and a capacitor connected in series to an AC source are 20 V, 15 V and 30 V respectively. The resultant voltage in the circuit is
- 5 V
- 20 V
- 25 V
- 65 V
Ans. (c)
Question 22
In a DC circuit the direction of current inside the battery and outside the battery respectively are –
- positive to negative terminal and negative to positive terminal
- positive to negative terminal and positive to negative terminal
- negative to positive terminal and positive to negative terminal
- negative to positive terminal and negative to positive terminal
Ans. (c)

Question 23
The magnitude of electric field due to a point charge 2q, at distance r is E. Then the magnitude of electric field due to a uniformly charged thin spherical shell of radius R with total charge q at a distance
- 0
- 2E
- 4E
Ans. (c)

Question 24
The horizontal component of earth’s magnetic field at a place is 0.2 G whereas it’s total magnetic field is 0.4 G. The angle of dip at the place is
- 30°
- 45°
- 60°
- 90°
Ans. (c)

Question 25
The current in the primary coil of a pair of coils changes from 7 A to 3 A in 0.04 s. The mutual inductance between the two coils is 0.5 H. The induced emf in the secondary coil is –
- 50 V
- 75 V
- 100 V
- 220 V
Ans. (a)
Section – B
Question 26
A square sheet of side ‘a’ is lying parallel to XY plane at z = a. The electric field in the region is . The electric flux through the sheet is
- a4c
- 0
Ans. (a)
Question 27
Three charges q, –q and q0 are placed as shown in figure. The magnitude of the net force on the charge q0 at point O is

- 0
Ans. (c)

Question 28
A + 3.0 nC charge Q is initially at rest at a distance of r1 = 10 cm from a + 5.0 nC charge q fixed at the origin. The charge Q is moved away from q to a new position at r2 = 15 cm. In this process work done by the field is
- 1.29 x 10-5 J
- 3.6 x 105 J
- -4.5 x 10-7 J
- 4.5 x 10-7 J
Ans. (d)

Question 29
A car battery is charged by a 12 V supply, and energy stored in it is 7.20 x 105 J. The charge passed through the battery is –
- 6.0 x 104 C
- 5.8 x 103 J
- 8.64 x 106 J
- 1.6 x 106 C
Ans. (a)
Question 30
A straight conducting rod of length l and mass m is suspended in a horizontal plane by a pair of flexible strings in a magnetic field of magnitude B. To remove the tension in the supporting strings, the magnitude of the current in the wire is
Ans. (c)
Question 31
A constant current is flowing through a solenoid. An iron rod is inserted in the solenoid along its axis. Which of the following quantities will not increase?
- The magnetic field at the centre
- The magnetic flux linked with the solenoid
- The rate of heating
- The self-inductance of the solenoid
Ans. (c)
Question 32
A circuit is connected to an AC source of variable frequency. As the frequency of the source is increased, the current first increases and then decreases. Which of the following combinations of elements is likely to comprise the circuit?
- L, C and R
- L and C
- L and R
- R and C
Ans. (a)
Question 33
If n, e, and m have their usual meanings, then the resistance of a wire of length l and cross-sectional area A is given by -
Ans. (b)

Question 34
A proton and an alpha particle move in circular orbits in a uniform magnetic field. Their speeds are in the ratio of 9:4. The ratio of radii of their circular orbits is
Ans. (d)

Question 35
A coil of area 100 cm2 is kept at an angle of 30° with a magnetic field of 10-1 T. The magnetic field is reduced to zero in 10-4. The induced emf in the coil is -
- 5.0 V
- 50.0 V
Ans.(c)

Question 36
A 15 resistor, an 80 mH inductor and a capacitor of capacitance C are connected in series with a 50 Hz AC source. If the source voltage and current in the circuit are in phase, then the value of capacitance is
- 100
- 127
- 142
- 160
Ans. (b)

Question 37
Four objects W, X, Y and Z, each with charge +q are held fixed at four points of a square of side d as shown in the figure. Objects X and Z are on the midpoints of the sides of the square. The electrostatic force exerted by object W on object X is F. Then the magnitude of the force exerted by object W on Z is

Ans. (b)

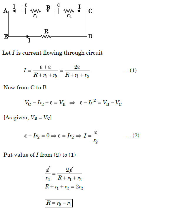
Question 38
Two sources of equal emf are connected in series. This combination is, in turn connected to an external resistance R. The internal resistance of two sources are r1 and r2 (r2 > r1). If the potential difference across the source of internal resistance r2 is zero, then R equals to-
Ans. (b)
Question 39
Which of the following statements is correct?
- Magnetic field lines do not form closed loops.
- Magnetic field lines start from north pole and end at south pole of a magnet.
- The tangent at a point on a magnetic field line represents the direction of the magnetic field at that point.
- Two magnetic field lines may intersect each other.
Ans. (c)
Question 40
The equivalent resistance between A and B of the network shown in figure is

- 3R
- 2R
Ans. (c)
Question 41
A bar magnet has magnetic dipole moment . Its initial position is parallel to the direction of uniform magnetic field . In this position, the magnitudes of torque and force acting on it respectively are –
- 0 and MB
- MB and MB
- 0 and 0
Ans. (c)
Question 42
Two charges 14 C and -4 C are placed at (-12 cm, 0, 0) and (12 cm, 0, 0) in an external electric field E = where B = 1.2 x 106 N/cm2 are r is in metres. The electrostatic potential energy of the configuration is
- 97.9 J
- 102.1 J
- 2.1 J
- -97.9 J
Ans. (a)
Question 43
A 300 resistor and a capacitor of F are connected in series to a 200 V - 50 Hz AC source. The current in the circuit is -
- 0.1 A
- 0.4 A
- 0.6 A
- 0.8 A
Ans. (b)

Question 44
The core of a transformer is laminated to reduce the effect of:
- flux leakage
- copper loss
- hysteresis loss
- eddy current
Ans. (d)
- Both a. and (R) are true and (R) is correct explanation of a.
- Both a. and (R) are true and (R) is not correct explanation of a.
- (A) is true, but (R) is false.
- (A) is false and (R) is also false.
Question 45
Assertion (A): A negative charge in an electric field moves along the direction of the electric field.
Reason (R): On a negative charge a force acts in the direction of the electric field
Ans. (d)
Question 46
Assertion (A): The poles of a bar magnet cannot be separated
Reason (R): Magnetic monopoles do not exist
Ans. (a)
Question 47
Assertion (A): When radius of a current carrying loop is doubled, its magnetic moment becomes four times.
Reason (R): The magnetic moment of a current carrying loop is directly proportional to the area of the loop
Ans. (a)
Question 48
Assertion (A): Higher the range, lower is the resistance of an ammeter.
Reason (R): To increase the range of an ammeter additional shunt is added in series to it.
Ans. (c)
Question 49
Assertion (A): A step-up transformer cannot be used as a step-down transformer.
Reason (R): A transformer works only in one direction.
Ans. (d)
Section – C
Question 50
Equipotential at a large distance from a collection of charges whose total sum is not zero are-
- spheres
- planes
- ellipsoids
- paraboloids
Ans. (a)
Question 51
Four charges -q, -q, +q and +q are placed at the corners of a square of side 2L is shown in figure. The electric potential at point A midway between the two charges +q and +q is-

- zero
Ans. (a)

Case Study
An experiment was set up with the circuit diagram shown in figure. Given that R1 = 10 , R2 = R3 = 5 , r = 0 and E = 5 V

Question 52
The points with the same potential are -
- b, c, d
- f, h, j
- d, e, f
- a, b, j
Ans. (b)
Question 53
The current through branch bg is:
- 1 A
Ans. (c)
Question 54
The power dissipated in R1 is:
- 2 W
- 2.5 W
- 3 W
- 4.5 W
Ans. (b)

Question 55
The potential difference across R3 is:
- 1.5 V
- 2 V
- 2.5 V
- 3 V
Ans. (c)




