NCERT Solutions for Class 12 Mathemetics Chapter 1 - Relations and Functions

Question 1:

Determine whether each of the following relations are reflexive, symmetric and transitive : Relation R in the set A = {1, 2, 3, ......, 13, 14} defined as : R = {(x, y) : 3x – y = 0}

Answer:

Here
A = {1, 2, 3, ....... , 13, 14}
and R = {(x, y) : 3x – y = 0}

Question 2:

Determine whether each of the following relations are reflexive, symmetric and transitive :
Relation R in the set N of natural numbers defined as :
R = {(x, y) : y = x + 5 and x < 4}

Answer:

Question 3:

Determine whether each of the following relations are reflexive, symmetric and transitive :
Relation R in the set A = {1, 2, 3, 4, 5, 6} defined as :
R = {(x, y) : y is divisible by x }

Answer:

Question 4:

Determine whether each of the following relations are reflexive, symmetric and transitive :
Relation R in the set Z of all integers defined as :
R = {(x, y) : x – y is an integer}

Answer:

Question 5:

Determine whether each of the following relations are reflexive, symmetric and transitive :
Relation R in the set A of human beings in a town at a particular time given by :
(a) R = {(x, y) : x and y work at the same place}
(b) R = {(x, y) : x and y live in the same locality}
(c) R = {(x, y) : x is exactly 7 cm taller than y}
(d) R = {(x, y) : x is wife of y}
(e) R = {(x, y) : x is father of y}.

Answer:

Question 6:

Show that the relation R in the set R of real numbers, defined as :
R = {(a, b) : a b2} is neither reflexive nor symmetric nor transitive.

Answer:

R is not reflexive.

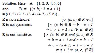
Question 7:

Check whether the relation R defined in the set {1, 2, 3, 4, 5, 6} as :
R = {(a, b) : b = a + 1}, is reflexive, symmetric or transitive.

Answer:

Question 8:

Show that the relation R in R defined as :
R = {(a, b) : a b}
is reflexive and transitive but not symmetric.

Answer:

Question 9:

Check whether the relation R in R defined by :
R = {(a, b) : a b3}
is reflexive, symmetric or transitive.

Answer:

R is not reflexive.

R is not symmetric.
[ If a b3, then b is not less than or equal to a3
e.g. 1 33. But 3 is not less then 13]
R is not transitive.
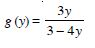
[ If a b3 and b c3, then a is not necessarily less than or equal to c3
e.g. Take a = 7, b = 2, c = 1·5.
Here a < b3 as 7 < 23 = 8
b < c3 as 2 < (1·5)3 = 3.375
But a > c3 as 7 > (1·5)3 = 3·375]

Question 10:

Show that the relation R in the set {1, 2, 3} defined as :
R = {(1, 2), (2, 1)}, is symmetric but neither reflexive nor transitive.

Answer:

Here R = {(1, 2), (2, 1)}.
R is not reflexive. [ (1, 1), (2, 2), (3, 3) R]
R is not transitive.
[ (1, 2) R, (2, 1) R but (1, 1) R]
R is symmetric. [ (1, 2) R and (2, 1) R]

Question 11:

Show that the relation R in the set A of all books in a library of a college, given by :
R = {(x, y) : x and y have same number of pages} is an equivalence relation.

Answer:

We have :

Question 12:

Show that the relation in the set A = {1, 2, 3, 4, 5}, given by :
R = {(a, b) : | a – b | is even} is an equivalence relation.
Show that all the elements of {1, 3, 5} are related to each other and all the elements of {2, 4} are related to each other. But no element of {1, 3, 5} is related to any element of {2, 4}.

Answer:

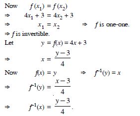
Question 13:

Show that each of the relation R in the set :
A = {x : x Z, 0 x 12}, given by :
(i) R = {(a, b) : | a – b | is a multiple of 4}
(ii) R = {(a, b) : a = b}
is an equivalence relation.
Find the set of all elements related to 1 in each case.

Answer:

Here

Question 14:

Give an example of a relation, which is :
Symmetric but neither reflexive nor transitive

Answer:

Let A = {1, 2, 3}.
The relation R = {(2, 3), (3, 2)} is symmetric but neither reflexive nor transitive.
[ (1, 1) R; (2, 3), (3, 2) R but (2, 2) R]

Question 15:

Give an example of a relation, which is :
Transitive but neither reflexive nor symmetric

Answer:

Let A = {1, 2, 3}.
The relation R = {(1, 3), (3, 2), (1, 2)} is transitive but neither reflexive nor symmetric.
[ (1, 1) R; (1, 3) R but (3, 1) R]

Question 16:

Give an example of a relation, which is :
Reflexive and symmetric but not transitive

Answer:

Let A = {1, 2, 3}.
The relation R = {(1, 1), (2, 2), (3, 3), (2, 3), (3, 2), (1, 2), (2, 1)}
is reflexive and symmetric but not transitive.
[ (1, 2) and (2, 3) R but (1, 3) R]

Question 17:

Give an example of a relation, which is :
Reflexive and transitive but not symmetric

Answer:

Let A = {1, 2, 3}.
The relation R = {(1, 1), (2, 2), (3, 3), (1, 2)} is reflexive and transitive but not symmetric.
[ (1, 2) R but (2, 1) R]

Question 18:

Give an example of a relation, which is :
Symmetric and transitive but not reflexive

Answer:

Let A = {1, 2, 3}.
The relation R = {(1, 2), (2, 1), (1, 1), (2, 2)} is symmetric and transitive but not reflexive. [ (3, 3) R]

Question 19:

Show that the relation R in the set A of points in a plane, given by :
R = {(P, Q) : distance of the point P from the origin is same as the distance of the point Q from the origin} is an equivalence relation.
Further, show that the set of all points related to a point P (0, 0) is the circle passing through A with origin as centre.

Answer:

Question 20:

Show that the relation R, defined by the set A of all triangles as :
R = {(T1, T2) : T1 is similar to T2] is an equivalence relation.
Consider three right angle triangles T1 with sides 3, 4, 5; T2 with sides 5, 12, 13 and T3 with sides 6, 8, 10.
Which triangles among T1, T2 and T3 are related?

Answer:

Here

T1 is related to T3 and T3 is related to T1
(T1, T3) R.

Question 21:

Show that the relation related to R, defined in the set of all polygons as :
R = {(P1, P2), P1 and P2 have same number of sides} is an equivalence relation.
What is the set of all elements in A related to the right triangle T with sides 3, 4 and 5 ?

Answer:

Question 22:

Let L be the set of all lines in XY-plane and R is the relation in L defined as :
R = {(L1, L2) : L1 is parallel to L2}.
Show that R is an equivalence relation.
Find the set of all lines related to the line y=2x + 4.

Answer:

We have :

Question 23:

Choose the correct answer :
Let R be the relation in the set {1, 2, 3, 4} given
by : R = {(1, 2), (2, 2), (1, 1), (4, 4), (1, 3), (3, 3), (3, 2)}.

  1. R is reflexive and symmetric but not transitive
  2. R is reflexive and transitive but not symmetric
  3. R is symmetric and transitive but not reflexive
  4. R is an equivalence relation
Answer:

R is reflexive and transitive but not symmetric

Question 24:

Choose the correct answer :
Let R be the relation in the set N given by :
R = {(a, b) : a = b – 2, b > 6}.

  1. (2, 4) R
  2. (3, 8) R
  3. (6, 8) R
  4. (8, 7) R.
Answer:

(6, 8) R

Question 25:

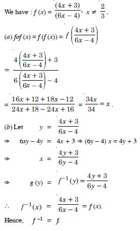
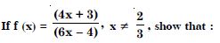
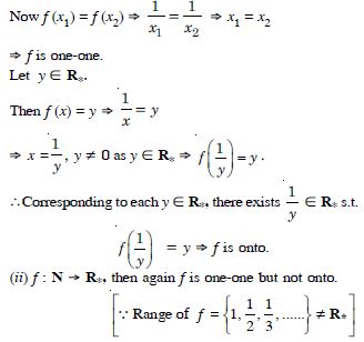
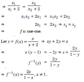
Show that the function f : R* R* defined by

is one-one and onto, where R* is the set of all nonzero real numbers. Is the result true if the domain R* is replaced by N with co-domain having same as R* ?

Answer:

Let x1, x2 R*.

Question 26:

Check the injectivity and surjectivity of the following function :
f : N N given by f (x) = x2

Answer:

Let x1, x2 N.

− + (x2 x1 ) (x2 x1 ) = 0 x2 – x1 = 0
[ x1, x2 N x1 + x2 0]
x1 = x2 f is one-one
f is injective.
Now range of f = {12, 22, 32, ...}
= {1, 4, 9, ...} N
f is not onto f is not surjective.

Question 27:

Check the injectivity and surjectivity of the following function :
f : Z Z given by f (x) = x2

Answer:

Let x1, x2 Z.

x1 = x2 or x1 = – x2
x2 = x1 or x2 = – x1.
Thus f (x1) = f (– x1) −∨
x1 Z
f is not one-one f is not injective.
Also range of f = {0, 12, 22, ...} = {0, 1, 4, ...} Z
f is not onto f is not surjective.

Question 28:

Check the injectivity and surjectivity of the following function :
f : R R given by f (x) = x2

Answer:

Let x1, x2 R.
As in part (ii), f is not injective.
Also range of f = {0, 12, 22, ...}
= {0, 1, 4, ...} R
f is not onto f is not surjective.

Question 29:

Check the injectivity and surjectivity of the following function :
f : N N given by f (x) = x3

Answer:

Let x1, x2 N.

f is one-one f is injective.
Now range of f = {13, 23, 33, ...} = {1, 8, 27, ...} N
f is not onto f is not surjective.

Question 30:

Check the injectivity and surjectivity of the following function :
f : Z Z given by f (x) = x3

Answer:

Let x1, x2 Z.
As in part (iv), f is injective.
Now range of f = {13, 23, 33, ...} = {1, 8, 27, ...} Z
f is not onto f is not surjective.

Question 31:

Show that the Greatest Integer Function f : R R given by :
f (x) = [x], is neither one-one nor onto, where [x] denotes the greatest integer less than or equal to x.

Answer:

Question 32:

Show that the Modulus Function f : R R, given by :
f (x) = | x |
is neither one-one nor onto, where | x | is x, if x is positive and | x | is – x, if x is negative.

Answer:

Question 33:

Show that the Signum function f : R R given by :

is neither one-one nor onto.

Answer:

Since f (x) =1 for all x (0, )
and f (x) = – 1 for all x (– , 0),
f is many-one f is not one-one.
Also range of f = {– 1, 0, 1) R
f is not onto.

Question 34:

Let A = {1, 2, 3}, B = {4, 5, 6, 7} and let f = {(1, 4),
(2, 5), (3, 6)} be a function from A to B. Show that f is oneone.

Answer:

We have : f = {(1, 4), (2, 5), (3, 6)}.
Then f (1) = 4, f (2) = 5 and f (3) = 6
Different points of domain correspond to different f-images in the range.
Hence, f is one-one.

Question 35:

In each of the following cases, state whether the function is one-one, onto or bijective. Justify your answer.
(i) f : R R defined by f (x) = 3 – 4x
(ii) f : R R defined by f (x) = 1 + x2.

Answer:

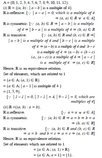
(i) Let x1, x2 R.
Now f (x1) = f (x2)
3 – 4x1 = 3 – 4x2
x1 = x2 f is one-one.
Let y R. Let y = f (x0).

For each y R, there exists x0 R such that f (x0) = y.
f is onto.
Hence, ‘f’ is one-one and onto or bijective.
(ii) Here f (1) = 1 + 1 = 2,
f (– 1) = 1 + 1 = 2.
Now 1 – 1 but f (1) = f (– 1)
f is not one-one.
Also range of f is [1, ) R
f is not onto.
Hence, ‘f’ is not bijective.

Question 36:

Let A and B be sets. Show that :
f : A × B B × A such that f (a, b) = (b, a) is a bijective function.

Answer:

(a1, b1), (a2, b2) A × B such that
f (a1 , b1 ) = (a2, b2 )
(b1 , a1 ) = (b2, a2 )
b1 = b2 and = a1 = a2
(a2, b2 ) = (a1 , b1 )
f is one-one.
And corresponding to each ordered pair (y, x) B × A,
there exists (x, y) (A × B) such that
f (x, y) = (y, x)
f is onto.
Hence, ‘f ’is a bijective function.

Question 37:

Let f : N N be defined by :

State whether the function f is onto, one-one or bijective. Justify your answer.

Answer:

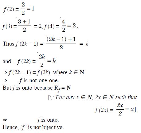
Question 38:

Let A = R – {3} and B = R – {1}.
Consider the function f : A B defined by :

Is f one-one and onto ? Justify your answer.

Answer:

Let x1, x2 R – {3}.
Now 1 f (x ) = f (x2 )

f is onto.
Hence, ‘f’ is one-one and onto.

Question 39:

Choose the correct answer :
Let f : R R be defined as f (x) = x4.

  1. f is one-one onto
  2. f is many-one onto
  3. f is one-one but not onto
  4. f is neither one-one nor onto.
Answer:

f is neither one-one nor onto.

Question 40:

Choose the correct answer.
Let f : R R be defined as f (x) = 3x.

  1. f is one-one onto
  2. f is many one onto
  3. f is one-one but not onto
  4. f is neither one-one nor onto.
Answer:

f is one-one onto

Question 41:

Let f : {1, 3, 4} {1, 2, 5} and g : {1, 2, 5} {1, 3}
be given by :
f = {(1, 2), (3, 5), (4, 1)
and g = {(1, 3), (2, 3), (5, 1)}.
Write down gof.

Answer:

We have : f : {1, 3, 4} {1, 2, 5}
and g : {1, 2, 5} {1, 3}.
Here f (1) = 2, f (3) = 5 and f (4) = 1
and g (1) = 3, g (2) = 3 and g (5) = 1.
Here Rf = {1, 2, 5} = Dg
Dgof = Df = {1, 3, 4}.
Now (gof) (1) = g (f (1)) = g (2) = 3
(gof) (3) = g (f (3)) = g (5) = 1
and (gof) (4) = g (f (4)) = g (1) = 3.
Hence, (gof) : {(1, 3), (3, 1), (4, 3)}.

Question 42:

Let f, g and h be functions from R to R. Show that :
(i) (f + g) oh = foh + goh
(ii) (f.g) oh = (foh) . (goh).

Answer:

(i) For all x R,
[( f + g) oh] (x) = ( f + g) (h(x))
= f (h(x))+g(h(x))= ( foh) (x)+(goh)(x)
=[( foh)+(goh)] (x).
Hence, ( f + g) oh = foh+ goh.
(ii) For all x R,
(( f .g) oh) x = ( f .g) (h(x))
= f (h(x)) g (h(x))
= ( foh) (x) . (goh) (x)
= [( foh) . (goh)] (x).
Hence ( f .g) oh = ( foh) . (goh) .

Question 43:

Find gof and fog, if :
(i) f (x) = | x | and g (x) = | 5x – 2 |
(ii) f (x) = 8x3 and g (x) = x1/3.

Answer:

(i) (a) gof (x)= g ( f (x))
= g (|x|) = |5|x|−2|.
(b) fog (x) = f (g (x)) = f (|5x −2|)
= |5x −2|.
(ii) (a) gof (x) = g ( f (x)) = g(8x3 )
=(8x3)1/3 =2x .
(b) fog (x) = f (g (x))
f(x1/3) = 8(x1/3)3 =8x

Question 44:

Answer:

Question 45:

State with reasons whether following functions have inverse :
(i) f : {1, 2, 3, 4} {10} with
f = {(1, 10), (2, 10), (3, 10), (4, 10)}
(ii) g : {5, 6, 7, 8} {1, 2, 3, 4} with
g = {(5, 4), (6, 3), (7, 4), (8, 2)}
(iii) h : {2, 3, 4, 5} {7, 9, 11, 13} with
h = {(2, 7), (3, 9), (4, 11), (5, 13)}.

Answer:

(i) Here f (1) = f (2) = f (3) = f (4) = 10,
f is not one-one
[1, 2, 3, 4 have same image 10]
f is many-one
f has no inverse.
(ii) Here f (5) = f (7) = 4
f is not one-one [5 and 7 have same image 4]
f is many-one
f has no inverse.
(iii) Here each element of {2, 3, 4, 5} has a unique element in {7, 9, 11, 13}.
Similarly each element of {7, 9, 11, 13} has a unique preimage in {2, 3, 4, 5}.
h is one-one onto f is invertible.
Hence, ‘h’ has the inverse.

Question 46:

Show that : f [– 1, 1] R given by :

Answer:

f (x1) = f (x2 )

Question 47:

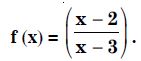
Consider f : R R given by f (x) = 4x + 3. Show that f is invertible.
Find the inverse of f.

Answer:

We have : f (x) = 4x + 3.

Question 48:

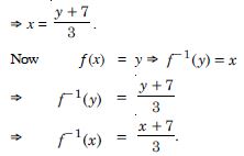
Let f : R R be defined by f (x) = 3x – 7. Show that f is invertible.
Find f –1 : R R.

Answer:

We have : f (x) = 3x – 7.
Now f (x1) = f (x2 )
3x1 – 7 = 3x2 – 7
x1 = x2 f is one-one
f is invertible.
Let y = f (x) = 3x – 7

Question 49:

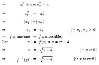
Consider R [4, ) given by f (x) = x2 + 4. Show that f is invertible with the inverse –1 f of f given by f –1 (y) =

where R* is the set of all nonnegative

real numbers.

Answer:

f (x1)= f (x2)

Question 50:

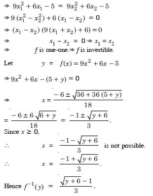
Consider f : R [– 5, ), given by :
f (x) = 9x2 + 6x – 5.

Answer:

f (x1) = f (x2 )

Question 51:

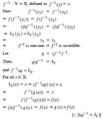
Let f : X Y be an invertible function. Show that f has unique inverse.

Answer:

Since f is invertible, [Given]
f is one-one onto.
If ‘g’ be the inverse of ‘f’, then
gof (x) = IX and fog (y) = IY.
Let ‘g1’, and ‘g2’ be two inverses of ‘f’.
fog1 (y) = IY and fog2 (y) = IY
g1 (y) = g2 (y)
[Q f is one-one onto]
Hence ‘f’ has a unique inverse.

Question 52:

Consider f : {1, 2, 3} {a, b, c}, given by :
f (1) = a, f (2) = b and f (3) = c.
Find f –1 and show that (f –1 )–1 = f.

Answer:

We have : f (1) = a, f (2) = b, f (3)= c.
Thus f = {(1, a), (2, b), (3, c)}.
Clearly, f is one-one f is invertible
and 1 = f−1 (a), 2 = f−1 (b),
3 = f−1 (c)
f−1 : {a, b, c} {1, 2, 3}.
Clearly, f−1 is one-one and onto
and ( f−1)−1 ={(1, a), (2, b), (3, c)}
[ f−1 = {(a, 1), (b, 2), (c, 3)}]
( f −1)−1 = f.

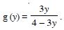
Question 53:

Let f : X Y be an invertible function. Show that the inverse of f–1 is f i.e. (f–1 )–1 = f.

Answer:

f : X Y is invertible
f is one-one and onto.

g = x.
Hence ( f−1)−1 = f.

Question 54:

If f : R R be given by f (x) = (3 – x3 )1/3 , then f of (x) is :

  1. x1/3
  2. x3
  3. x
  4. (3 – x3 )
Answer:

x

Question 55:

Answer:

Question 56:

Let R be the relation in the set {1, 2, 3, 4}, given by :
R = {(1, 2), (2, 2), (1, 1), (4, 4), (1, 3), (3, 3), (3, 2)}.
Then :

  1. R is reflexive and symmetric but not transitive
  2. R is reflexive and transitive but not symmetric
  3. R is symmetric and transitive but not reflexive
  4. R is an equivalence relation.
Answer:

R is reflexive and transitive but not symmetric

Question 57:

Let R be the relation in the set N given by :
R = {(a, b) : a = b – 2, b > 6}.
Then :

  1. (2, 4) R
  2. (3, 8) R
  3. (6, 8) R
  4. (8, 7) R.
Answer:

(6, 8) R

Question 58:

Let A = {1, 2, 3}. Then number of relations containing {1, 2} and {1, 3}, which are reflexive and symmetric but not transitive is :

  1. 1
  2. 2
  3. 3
  4. 4
Answer:

1

Question 59:

Let A = {1, 2, 3}. Then the number of equivalence relations containing (1, 2) is :

  1. 1
  2. 2
  3. 3
  4. 4
Answer:

2

Question 60:

Let f : R R be defined as f (x) = x4. Then :

  1. f is one–one onto
  2. f is many–one onto
  3. f is one–one but not onto
  4. f is neither one–one nor onto.
Answer:

f is neither one–one nor onto.

Question 61:

Let f : R R be defined as f (x) = 3x. Then :

  1. f is one–one onto
  2. f is many–one onto
  3. f is one–one but not onto
  4. f is neither one–one nor onto.
Answer:

f is one–one onto

Question 62:

If f : R R be given by f (x) = (3 − x31/3, then fof (x) is :

  1. x1/3
  2. x3
  3. x
  4. 3 – x3
Answer:

x

Question 63:

Answer:

Question 64:

Consider a binary operation ‘*’ on N defined as :
a * b = a3 + b3. Then :

  1. is ‘*’ both associative and commutative ?
  2. is ‘*’ commutative but not associative ?
  3. is ‘*’ associative but not commutative ?
  4. Is ‘*’ neither commutative nor associative ?
Answer:

is ‘*’ commutative but not associative ?

Question 65:

Number of binary operations on the set {a, b} is :

  1. 10
  2. 16
  3. 20
  4. 8
Answer:

16