NCERT Solutions for Class 12 Mathemetics Chapter 3 - Matrices

Question 1:

In the matrix

(i) The order of the matrix.
(ii) The number of elements.
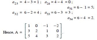
(iii) Write the elements a13, a21, a33, a24, a23.

Answer:

(i) The order of the matrix = 3 x 4.
(ii) The number elements = 3 x 4 = 12.

Question 2:

If a matrix has 24 elements, what are the possible orders it can have ? What, if it has 13 elements ?

Answer:

(i) Since
24 = 1 x 24 = 2 x 12 = 3 x 8 = 4 x 6,
there are 8 matrices having 24 elements.
Their orders are 1 x 24, 24 x 1, 2 x 12, 12 x 2, 3 x 8, 8 x 3, 4 x 6, 6 x 4.
(ii) Since 13 = 1 x 13,
there are 2 matrices having 13 elements.
Their orders are 1 x 13 and 13 x 1.

Question 3:

If a matrix has 18 elements, what are the possible orders it can have ? What, if it has 5 elements ?

Answer:

(i) Since 18 = 1 x 18 = 2 x 9 = 3 x 6,
there are 6 matrices having 18 elements.
Their oders are 1 x 18, 18 x 1, 2 x 9, 9 x 2, 3 x 6, 6 x 3.
(ii) Since 5 = 1 x 5,
there are 2 matrices having 5 elements.
Their orders are 1 x 5 and 5 x 1.

Question 4:

Construct a 2 x 2 matrix, A = [aij], whose elements are given by :

Answer:

Question 5:

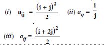
Construct a 3 x 4 matrix whose elements are given by :

Answer:

Question 6:

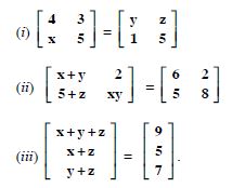
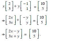
Find the values of x, y and z from the following equations :

Answer:

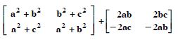
Comparing corresponding elements :
x + y = 6 ...(1)
5 + z = 5 ...(2)
and xy = 8 ...(3)
From (1), y = 6 - x ...(4)
Putting in (3), x (6 - x) = 8
x2 - 6x + 8 = 0
(x - 2) (x - 4) = 0
x = 2, 4.
From (4), y = 6 - 2 = 4, 6 - 4 = 2.
Also from (2), z =0.
Hence, x = 2, y = 4, z = 0
or x = 4, y = 2, z = 0.

Comparing corresponding elements :
x + y + z = 9 ...(1)
x + z = 5 ...(2)
and y + z = 7 ...(3)
Subtracting (3) from (1),
x =2.
Subtracting (2) from (1),
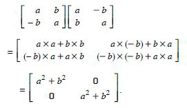
y = 4.
Putting in (1), 2 + 4 + z = 9
z = 9 - 6 = 3.
Hence, x = 2, y = 4, and z = 3.

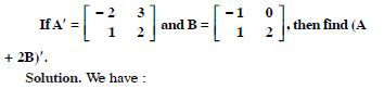
Question 7:

Find the values of a, b, c and d from the equation :

Answer:

We have :

Comparing corresponding elements :
a - b = - 1 ...(1)
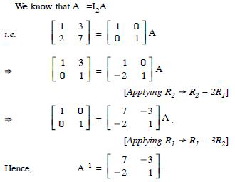
2a + c = 5 ...(2)
2a - b = 0 ...(3)
and 3c + d = 13 ...(4)
Subtracting (1) from (3),
a =1.
Putting in (3), 2(1) - b =0
b =2.
Putting in (2),2 (1) + c =5
c = 5 - 2 = 3.
Putting in (4),3 (3) + d =13
d = 13 - 9 = 4.
Hence, a = 1, b = 2, c = 3 and d = 4.

Question 8:

A = [aij]m x n is a square matrix, if :

  1. m < n
  2. m > n
  3. m = n
  4. None of these
Answer:

m = n

Question 9:

Which of the given values of x and y make the following pair of matrices equal ?

  1. Not possible to find
Answer:

Not possible to find
Reason : Comparing coresponding elements :
3x + 7 = 0 ...(1)
y - 2 = 5 ...(2)
y + 1 = 8 ...(3)
and 2 - 3x = 4 ...(4)

Thus x has two values.
Hence, it is not possible to find the values of x and y.

Question 10:

The number of all possible matrices of order 3 x 3 with each entry 0 or 1 is :

  1. 27
  2. 18
  3. 81
  4. 512
Answer:

512

Question 11:

A + B

Answer:

Question 12:

A - B

Answer:

Question 13:

3A - C

Answer:

Question 14:

AB

Answer:

Question 15:

BA.

Answer:

Question 16:

Compute the following :

Answer:

Question 17:

Compute the following :

Answer:

Question 18:

Compute the following :

Answer:

Question 19:

Compute the following :

Answer:

Question 20:

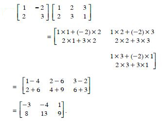
Compute the indicated products :

Answer:

Question 21:

Compute the indicated products :

Answer:

Question 22:

Compute the indicated products :

Answer:

Question 23:

Compute the indicated products :

Answer:

Question 24:

Compute the indicated products :

Answer:

Question 25:

Compute the indicated products :

Answer:

Question 26:

Answer:

Question 27:

Answer:

Question 28:

Answer:

Question 29:

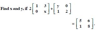
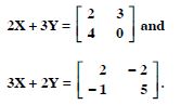
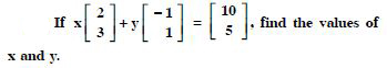
Find X and Y, if :

Answer:

Question 30:

Find X and Y, if :

Answer:

Question 31:

Answer:

Question 32:

Answer:

Question 33:

Solve the equation for x, y, z and t, if :

Answer:

We have :

Equating corresponding elements :
2x + 3 = 9 2x = 9 - 3 = 6 x = 3
2y = 12 y = 6
2z - 3 = 15 2z = 3 + 15 = 18 z = 9
and 2t + 6 = 18 2t = 18 - 6 = 12 t = 6.
Hence, x = 3, y = 6, z = 9 and t = 6.

Question 34:

Answer:

We have :

Equating corresponding elements :
2x - y = 10 ....(1)
and 3x + y = 5 ....(2)
Adding (1) and (2), 5x = 15 x = 3.
Putting in (1), 2 (3) - y = 10 y = 6 - 10 = - 4.
Hence, x = 3 and y = - 4.

Question 35:

Answer:

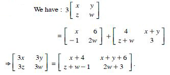
Equating corresponding elements :
3x = x + 4 2x = 4 x = 2
3y = x + y + 6 2y = 2 + 6 2y = 8 y = 4
3w =2w + 3 w = 3
and 3z = z + w - 1 2z = 3 - 1 = 2 z = 1.
Hence, x = 2, y = 4, z = 1 and w = 3.

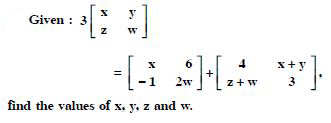
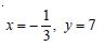
Question 36:

Show that f (x) f (y) = f (x + y).

Answer:

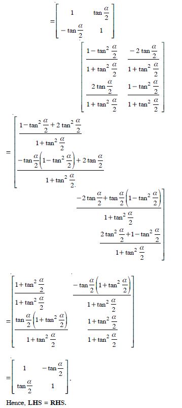
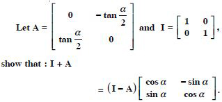
Question 37:

Show that :

Answer:

Question 38:

Show that :

Answer:

Question 39:

Answer:

Question 40:

Answer:

Question 41:

Answer:

Question 42:

Answer:

Question 43:

A trust fund has ₹30,000 that must be invested in two different types of bonds. The first bond pays 5% and second 7% interest per year. Using matrix multiplication, determine how to divide ₹30,000 among the two types of bonds if the trust fund must obtain an annual total interest of :
(a) ₹1800 (b) ₹2000.

Answer:

Let ₹30,000 be divided into two parts :
₹ x invested in 1st type and ₹(30,000 - x) in 2nd type.
The values of the bonds are represented by 1 x 2 row matrix as :
A = [ x 30,000 − x ] .
The amount received as interest per ₹ annually are represented by 2 x 1 column matrix as :

Question 44:

The book shop of a particular school has 10 dozen Chemistry books, 8 dozen Physics books, 10 dozen Economics books. The selling prices are ₹80, ₹60 and ₹40 each respectively. Find the total amount, the book-shop will receive from selling all the books, using matrix algebra.

Answer:

Inventory,

= [120 x 80 + 96 x 60 + 120 x 40]
= [9600 + 5760 + 4800] = [20160].
Hence, the book-shop will receive ₹ 20,160 by selling all the books.
Assume X, Y, Z, W and P are matrices of order 2 x n, 3 x k, 2 x p, n x 3 and p x k respectively. Choose the correct answer in (21 - 22) :

Question 45:

The restriction on n, k and p so that PY + WY will be defined as :

  1. k = 3, p = n
  2. k is arbitrary, p = 2
  3. p is arbitrary, k = 3
  4. k = 2, p = 3.
Answer:

k = 3, p = n

Question 46:

If n = p, then the order of 7X - 5Z is :

  1. p x 2
  2. 2 x n
  3. n x 3
  4. p x n.
Answer:

2 x n

Question 47:

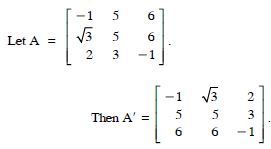
Find the transpose of each of the following matrices :

Answer:

Question 48:

Find the transpose of each of the following matrices :

Answer:

Question 49:

Find the transpose of each of the following matrices :

Answer:

Question 50:

Answer:

Question 51:

Answer:

Question 52:

Answer:

We have :

Question 53:

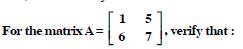
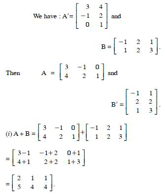
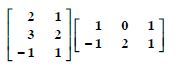
For the matrices A and B, verify that :
(AB)′ = B′A′, where :

Answer:

Question 54:

For the matrices A and B, verify that :
(AB)′ = B′A′, where :

Answer:

Question 55:

Answer:

Question 56:

Answer:

Question 57:

Show that the matrix

Answer:

We have :

Question 58:

Show that the matrix

Answer:

We have :

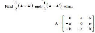
Question 59:

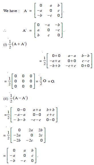
(i) A + A′ is a symmetric matrix
(ii) A - A′ is a skew-symmetric matrix.

Answer:

We have :

Question 60:

Answer:

Question 61:

Express the following matrices as the sum of a symmetric and a skew-symmetric matrix :

Answer:

Question 62:

Express the following matrices as the sum of a symmetric and a skew-symmetric matrix :

Answer:

Question 63:

Express the following matrices as the sum of a symmetric and a skew-symmetric matrix :

Answer:

Question 64:

Express the following matrices as the sum of a symmetric and a skew-symmetric matrix :

Answer:

Question 65:

Choose the correct answer
If A, B are symmetric matrices of same order, then AB - BA is a :

  1. Skew-symmetric matrix
  2. Symmetric matrix
  3. Zero matrix
  4. Identity matrix
Answer:

Skew-symmetric matrix

Question 66:

Choose the correct answer

  1. π
Answer:

Question 67:

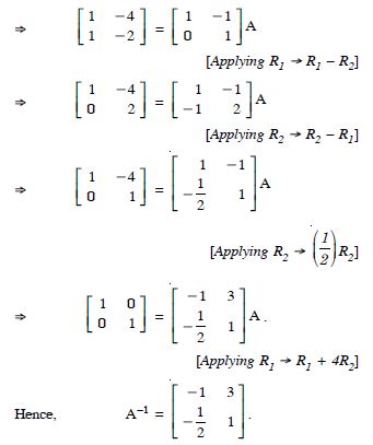
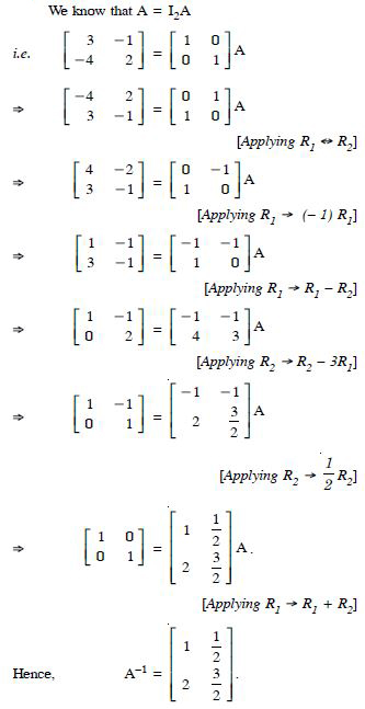
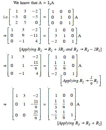
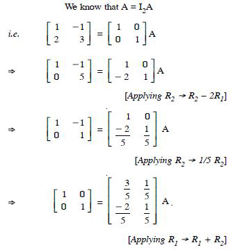
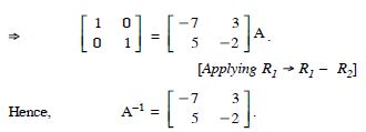
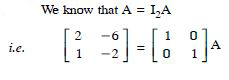
Using elementary transformations, find the inverse of each of the matrices, if it exists in

Answer:

Question 68:

Using elementary transformations, find the inverse of each of the matrices, if it exists in

Answer:

Question 69:

Using elementary transformations, find the inverse of each of the matrices, if it exists in

Answer:

Question 70:

Using elementary transformations, find the inverse of each of the matrices, if it exists in

Answer:

Question 71:

Using elementary transformations, find the inverse of each of the matrices, if it exists in

Answer:

Question 72:

Using elementary transformations, find the inverse of each of the matrices, if it exists in

Answer:

Question 73:

Using elementary transformations, find the inverse of each of the matrices, if it exists in

Answer:

Question 74:

Using elementary transformations, find the inverse of each of the matrices, if it exists in

Answer:

Question 75:

Using elementary transformations, find the inverse of each of the matrices, if it exists in

Answer:

Question 76:

Using elementary transformations, find the inverse of each of the matrices, if it exists in

Answer:

Question 77:

Using elementary transformations, find the inverse of each of the matrices, if it exists in

Answer:

Question 78:

Using elementary transformations, find the inverse of each of the matrices, if it exists in

Answer:

Question 79:

Using elementary transformations, find the inverse of each of the matrices, if it exists in

Answer:

Question 80:

Using elementary transformations, find the inverse of each of the matrices, if it exists in

Answer:

Question 81:

Using elementary transformations, find the inverse of each of the matrices, if it exists in

Answer:

Question 82:

Using elementary transformations, find the inverse of each of the matrices, if it exists in

Answer:

Question 83:

Using elementary transformations, find the inverse of each of the matrices, if it exists in

Answer:

Question 84:

Matrix A and B will be inverse of each other if

  1. AB = BA
  2. AB = BA = O
  3. AB = O, BA = I
  4. AB = BA = I.
Answer:

AB = BA = I.

Question 85:

If A = [aij]m x n is a square matrix, if :

  1. m < n
  2. m > n
  3. m = n
  4. None of these.
Answer:

m = n

Question 86:

Which of the given values of x and y make the following pair of matrices equal :

  1. Not possible to find
Answer:

Not possible to find

Question 87:

The number of all possible matrices of order 3 x 3 with each entry 0 or 1 is :

  1. 27
  2. 18
  3. 81
  4. 512
Answer:

512

Question 88:

Assume X, Y, Z, W and P are matrices of order 2 x n, 3 x k, 2 x p, n x 3 and p x k respectively. Now answer the following
The restrictions on n, k and p so that PY + WY will be defined are :

  1. k = 3, p = n
  2. k is arbitrary, p = 2
  3. p is arbitrary
  4. k = 2, p = 3
Answer:

k = 3, p = n

Question 89:

Assume X, Y, Z, W and P are matrices of order 2 x n, 3 x k, 2 x p, n x 3 and p x k respectively. Now answer the following
If n = p, then the order of the matrix 7X - 5Z is :

  1. p x 2
  2. 2 x n
  3. n x 3
  4. p x n
Answer:

2 x n

Question 90:

If A, B are symmetric matrices of same order, then AB - BA is a :

  1. Skew-symmetric matrix
  2. Symmetric matrix
  3. Zero matrix
  4. Identity matrix.
Answer:

Skew-symmetric matrix

Question 91:

  1. π
Answer:

Question 92:

Matrices A and B will be inverse of each other only if :

  1. AB = BA
  2. AB - BA = O
  3. AB = O, BA = I
  4. AB = BA = I
Answer:

AB = BA = I

Question 93:

  1. 1 + α2 + βγ = 0
  2. 1 - α2 + βγ = 0
  3. 1 - α2 - βγ = 0
  4. 1 + α2 - βγ= 0
Answer:

1 - α2 - βγ = 0

Question 94:

If a matrix is both symmetric and skew-symmetric matrix, then :

  1. A is a diagonal matrix
  2. A is a zero matrix
  3. A is a square matrix
  4. None of these.
Answer:

A is a zero matrix

Question 95:

If A is a square matrix such that A2 = A, then (I + A)3 - 7A is equal to :

  1. A
  2. I - A
  3. I
  4. 3A.
Answer:

I