NCERT Solutions for Class 12 Mathemetics Chapter 2 - Inverse-Trigonometric Functions

Question 1:

Find the principal values of the following

Answer:

Question 2:

Find the principal values of the following

Answer:

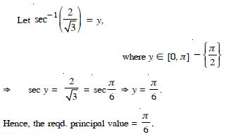
Question 3:

Find the principal values of the following cosec–1(2)

Answer:

Question 4:

Find the principal values of the following

Answer:

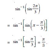
Question 5:

Find the principal values of the following

Answer:

Question 6:

Find the principal values of the following tan–1–1(– 1)

Answer:

Question 7:

Find the principal values of the following

Answer:

Question 8:

Find the principal values of the following

Answer:

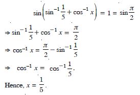
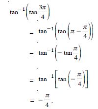
Question 9:

Find the principal values of the following

Answer:

Question 10:

Find the principal values of the following

Answer:

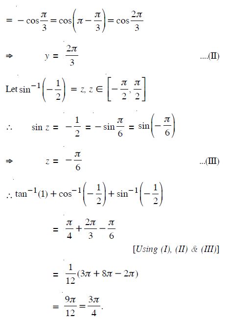
Question 11:

Find the value of the following

Answer:

Question 12:

Find the value of the following

Answer:

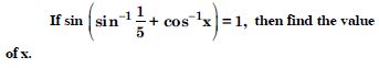
Question 13:

If sin–1 x = y, then :

  1. 0 y π
  2. 0 < y < π
Answer:

Question 14:

  1. π
Answer:

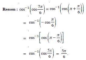
Question 15:

Prove the following

Answer:

Let sin−1 x = θ so that x = sin θ.

Question 16:

Prove the following

Answer:

Let cos−1 x = θ so that x = cos θ.

Question 17:

Prove the following

Answer:

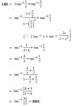
Question 18:

Prove the following

Answer:

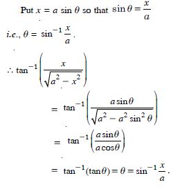
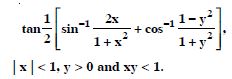
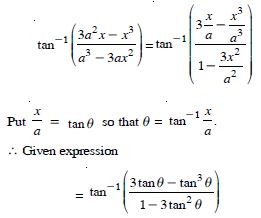
Question 19:

Write the following functions in the simplest form :

Answer:

Question 20:

Write the following functions in the simplest form :

Answer:

Question 21:

Write the following functions in the simplest form :

Answer:

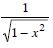
Question 22:

Write the following functions in the simplest form :

Answer:

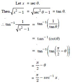
Question 23:

Write the following functions in the simplest form :

Answer:

Question 24:

Write the following functions in the simplest form :

Answer:

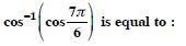
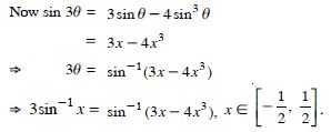
Question 25:

Find the value of each of the following

Answer:

Question 26:

Find the value of each of the following

Answer:

Question 27:

Find the value of each of the following

Answer:

Question 28:

Answer:

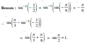
Question 29:

Answer:

Question 30:

Find the value of each of the expressions

Answer:

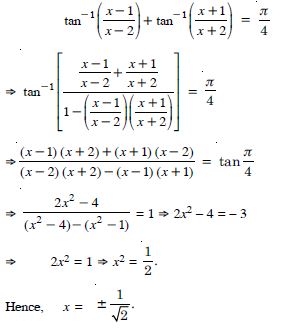
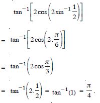
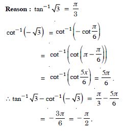
Question 31:

Find the value of each of the expressions

Answer:

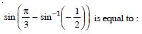
Question 32:

Find the value of each of the expressions

Answer:

Question 33:

Answer:

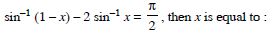
Question 34:

  1. 1
Answer:

1

Question 35:

  1. π
  2. 0
Answer:

Question 36:

If sin–1 x = y, then :

  1. 0 y π
  2. 0 < y < π
Answer:

Question 37:

  1. π
Answer:

Question 38:

Answer:

Question 39:

  1. 1
Answer:

1

Question 40:

  1. π
  2. 0
Answer:

Question 41:

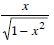
sin (tan–1 x), | x | < 1, is equal to :

Answer:

Question 42:

  1. 0
Answer:

0

Question 43:

Answer: