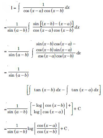
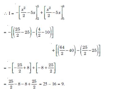
NCERT Solutions for Class 12 Mathemetics Chapter 7 - Integrals

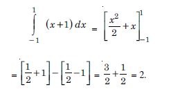
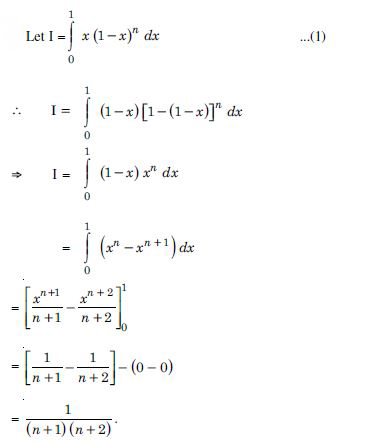
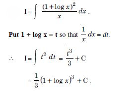
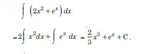
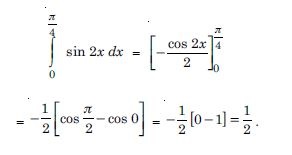
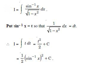
Question 2:

Find an anti-derivative (or integral) of the following by the method of inspection :
sin 2x

Answer:

We know that

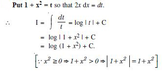
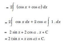
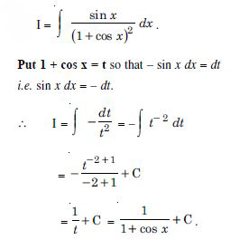
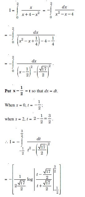
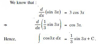
Question 3:

Find an anti-derivative (or integral) of the following by the method of inspection :
cos 3x

Answer:

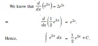
Question 4:

Find an anti-derivative (or integral) of the following by the method of inspection :
e2x

Answer:

Question 5:

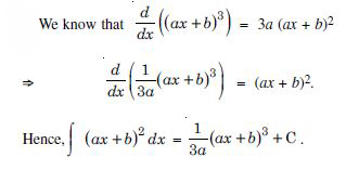
Find an anti-derivative (or integral) of the following by the method of inspection :
(ax + b)3

Answer:

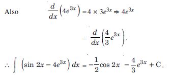
Question 6:

Find an anti-derivative (or integral) of the following by the method of inspection :
sin 2x – 4e3x

Answer:

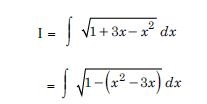
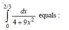
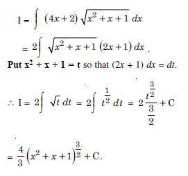
Question 7:

Find the following integrals in

Answer:

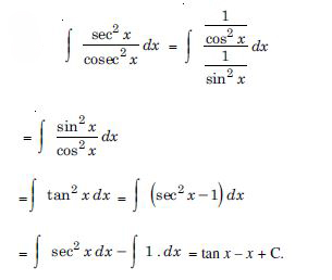
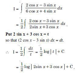
Question 8:

Find the following integrals in

Answer:

Question 9:

Find the following integrals in

Answer:

Question 10:

Find the following integrals in

Answer:

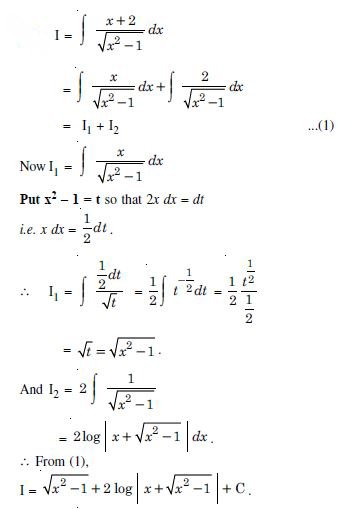
Question 11:

Find the following integrals in

Answer:

Question 12:

Find the following integrals in

Answer:

Question 13:

Find the following integrals in

Answer:

Question 14:

Find the following integrals in

Answer:

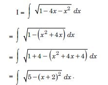
Question 15:

Find the following integrals in

Answer:

Question 16:

Find the following integrals in

Answer:

Question 17:

Find the following integrals in

Answer:

Question 18:

Find the following integrals in

Answer:

Question 19:

Find the following integrals in

Answer:

Question 20:

Find the following integrals in

Answer:

Question 21:

Find the following integrals in

Answer:

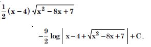
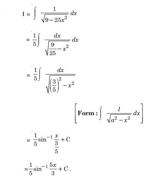
Question 22:

Answer:

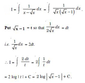
Question 23:

Answer:

Question 24:

Integrate the following

Answer:

Question 25:

Integrate the following

Answer:

Question 26:

Integrate the following

Answer:

Question 27:

Integrate the following
sin x sin (cos x)

Answer:

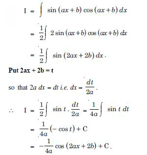
Question 28:

Integrate the following
sin (ax + b) cos (ax + b)

Answer:

Question 29:

Integrate the following

Answer:

Question 30:

Integrate the following

Answer:

Question 31:

Integrate the following

Answer:

Question 32:

Integrate the following

Answer:

Question 33:

Integrate the following

Answer:

Question 34:

Integrate the following

Answer:

Question 35:

Integrate the following

Answer:

Question 36:

Integrate the following

Answer:

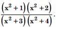
Question 38:

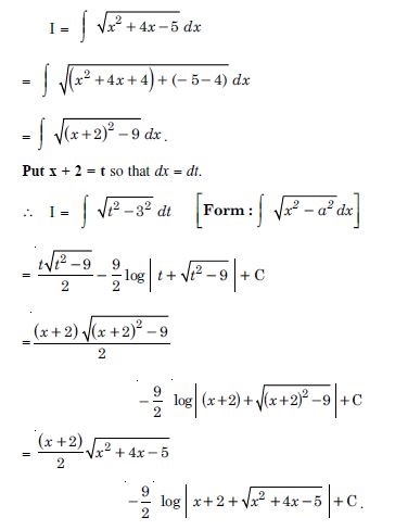
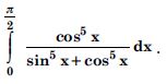
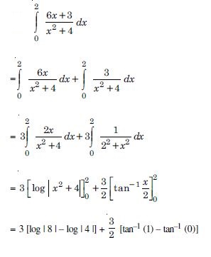
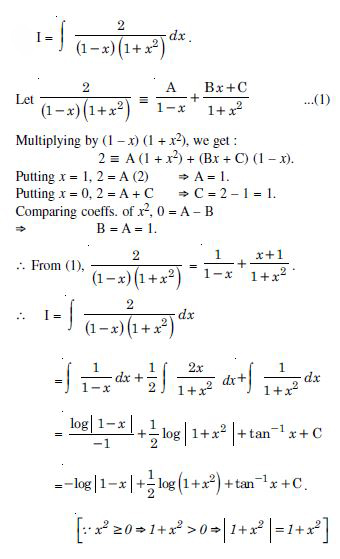
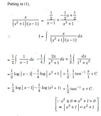
Integrate the following

Answer:

Question 39:

Integrate the following

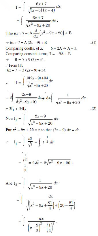
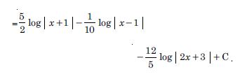
Answer:

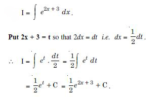
Question 40:

Integrate the following
e2x + 3

Answer:

Question 41:

Integrate the following

Answer:

Question 42:

Integrate the following

Answer:

Question 43:

Integrate the following

Answer:

Question 44:

Integrate the following

Answer:

Question 45:

Integrate the following
tan2 (2x – 3)

Answer:

Question 46:

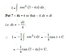
Integrate the following
sec2 (7 – 4x).

Answer:

Question 47:

Integrate the following

Answer:

Question 48:

Integrate the following

Answer:

Question 49:

Integrate the following

Answer:

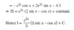
Question 50:

Integrate the following

Answer:

Question 51:

Integrate the following

Answer:

Question 52:

Integrate the following

Answer:

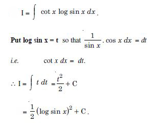
Question 53:

Integrate the following
cot x log sin x

Answer:

Question 54:

Integrate the following

Answer:

Question 55:

Integrate the following

Answer:

Question 56:

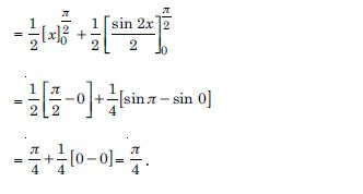
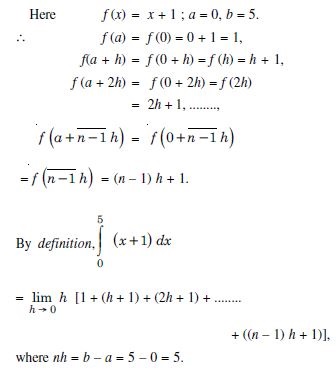
Integrate the following

Answer:

Question 57:

Integrate the following

Answer:

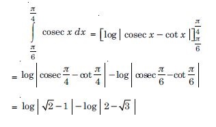
Question 58:

Integrate the following

Answer:

Question 59:

Integrate the following

Answer:

Question 60:

Integrate the following

Answer:

Question 61:

Integrate the following

Answer:

Question 62:

Choose the correct answer

  1. 10x – x10 + C
  2. 10x + x10 + C
  3. (10x – x10)– 1 + C
  4. log (10x + x10) + C
Answer:

log (10x + x10) + C

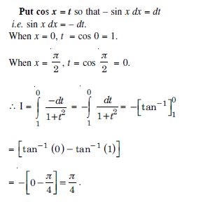
Question 63:

Choose the correct answer

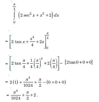
  1. tan x + cot x + C
  2. tan x – cot x + C
  3. tan x cot x + C
  4. tan – cot 2x + C
Answer:

tan x – cot x + C

Question 64:

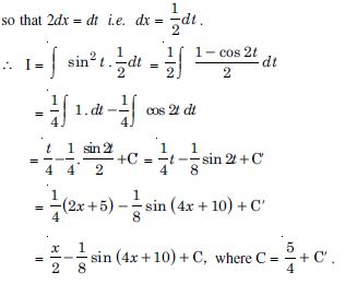
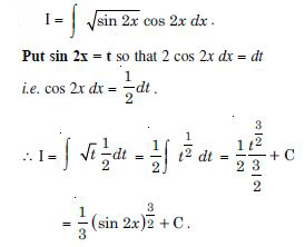
Find the integrals of the functions in
sin2 (2x + 5)

Answer:

Put 2x + 5 = t

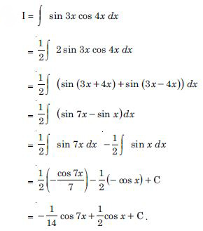
Question 65:

Find the integrals of the functions in
sin 3x cos 4x

Answer:

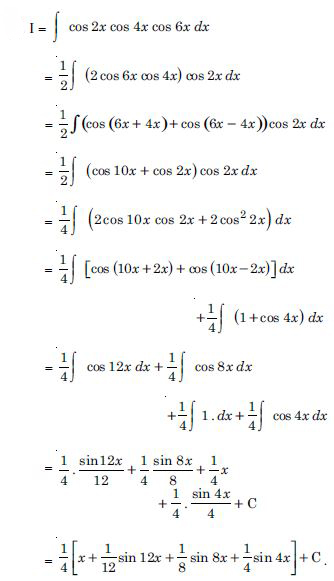
Question 66:

Find the integrals of the functions in
cos 2x cos 4x cos 6x

Answer:

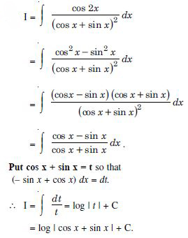
Question 67:

Find the integrals of the functions in
sin3 (2x + 1)

Answer:

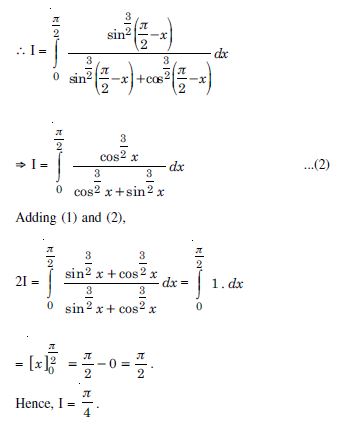
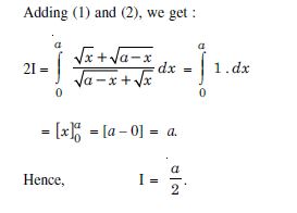
Question 68:

Find the integrals of the functions in
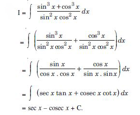
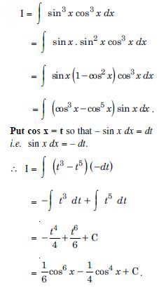
sin3 x cos3 x.

Answer:

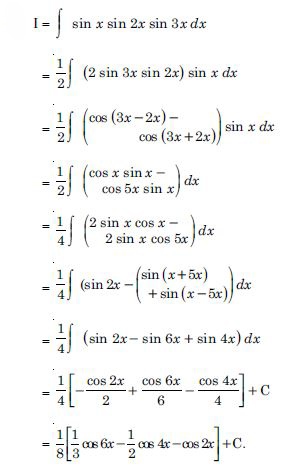
Question 69:

Find the integrals of the functions in
sin x sin 2x sin 3x

Answer:

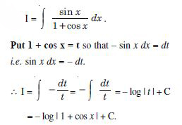
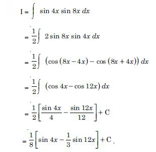
Question 70:

Find the integrals of the functions in
sin 4x sin 8x

Answer:

Question 71:

Find the integrals of the functions in

Answer:

Question 72:

Find the integrals of the functions in

Answer:

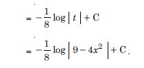
Question 73:

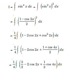
Find the integrals of the functions in
sin4 x.

Answer:

Question 74:

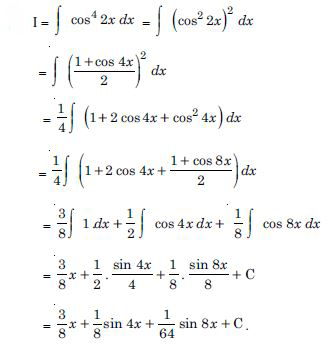
Find the integrals of the functions in
cos4 2x.

Answer:

Question 75:

Find the integrals of the functions in

Answer:

Question 76:

Find the integrals of the functions in

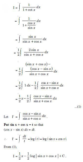
Answer:

Question 77:

Find the integrals of the functions in

Answer:

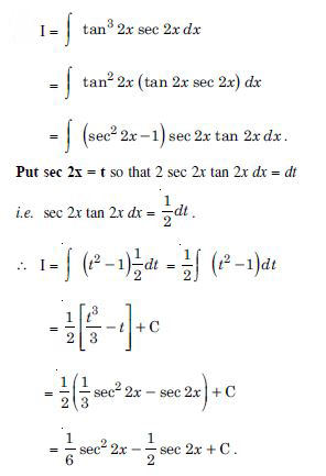
Question 78:

Find the integrals of the functions in
tan3 2x sec 2x

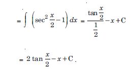
Answer:

Question 79:

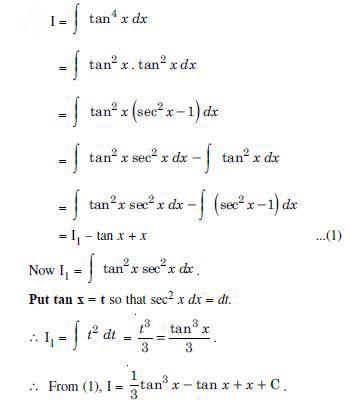
Find the integrals of the functions in
tan4x

Answer:

Question 80:

Find the integrals of the functions in

Answer:

Question 81:

Find the integrals of the functions in

Answer:

Question 82:

Find the integrals of the functions in

Answer:

Question 83:

Find the integrals of the functions in

Answer:

Question 84:

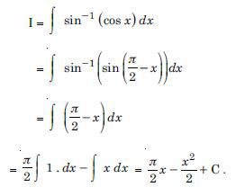
Find the integrals of the functions in
sin–1 (cos x).

Answer:

Question 85:

Find the integrals of the functions in

Answer:

Question 86:

  1. tan x + cot x + C
  2. tan x + cosec x + C
  3. tan (ex) + C
  4. cot (ex) + C
Answer:

tan x + cot x + C

Question 87:

  1. – cot (exx)
  2. tan (xex) + C
  3. tan (ex) + C
  4. cot (ex) + C
Answer:

tan (xex) + C

Question 88:

Integrate the functions in

Answer:

Question 89:

Integrate the functions in

Answer:

Question 90:

Integrate the functions in

Answer:

Question 91:

Integrate the functions in

Answer:

Question 92:

Integrate the functions in

Answer:

Question 93:

Integrate the functions in

Answer:

Question 94:

Integrate the functions in

Answer:

Question 95:

Integrate the functions in

Answer:

Question 96:

Integrate the functions in

Answer:

Question 97:

Integrate the functions in

Answer:

Question 98:

Integrate the functions in

Answer:

Question 99:

Integrate the functions in

Answer:

Question 100:

Integrate the functions in

Answer:

Question 101:

Integrate the functions in

Answer:

Question 102:

Integrate the functions in

Answer:

Question 103:

Integrate the functions in

Answer:

Question 104:

Integrate the functions in

Answer:

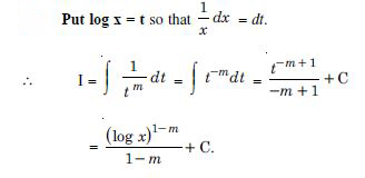
Question 105:

Integrate the functions in

Answer:

Question 106:

Integrate the functions in

Answer:

Question 107:

Integrate the functions in

Answer:

Question 108:

Integrate the functions in

Answer:

Question 109:

Integrate the functions in

Answer:

Question 110:

Integrate the functions in

Answer:

Question 111:

Choose the correct answer in

  1. x tan–1 (x + 1) + C
  2. tan–1 (x + 1) + C
  3. (x + 1) tan–1x + C
  4. tan–1 x + C
Answer:

tan–1 (x + 1) + C

Question 112:

Choose the correct answer in

Answer:

Question 113:

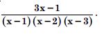
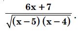
Integrate the rational functions in

Answer:

Question 114:

Integrate the rational functions in

Answer:

Question 115:

Integrate the rational functions in

Answer:

Question 116:

Integrate the rational functions in

Answer:

Question 117:

Integrate the rational functions in

Answer:

Question 118:

Integrate the rational functions in

Answer:

Question 119:

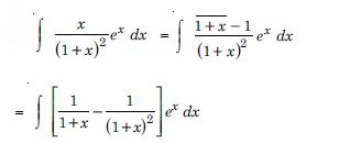
Integrate the rational functions in

Answer:

Question 120:

Integrate the rational functions in

Answer:

Question 121:

Integrate the rational functions in

Answer:

Question 122:

Integrate the rational functions in

Answer:

Question 123:

Integrate the rational functions in

Answer:

Question 124:

Integrate the rational functions in

Answer:

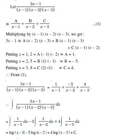
Question 125:

Integrate the rational functions in

Answer:

Question 126:

Integrate the rational functions in

Answer:

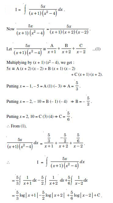
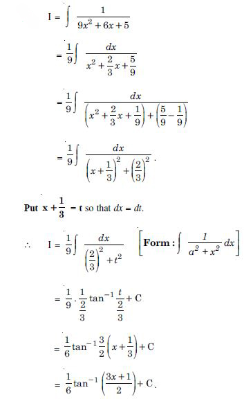
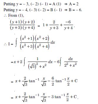
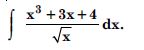
Question 127:

Integrate the rational functions in

Answer:

Question 128:

Integrate the rational functions in

Answer:

Question 129:

Integrate the rational functions in

Answer:

Question 130:

Integrate the rational functions in

Answer:

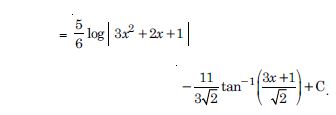
Question 131:

Integrate the rational functions in

Answer:

Question 132:

Integrate the rational functions in

Answer:

Question 133:

Integrate the rational functions in

Answer:

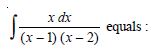
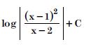
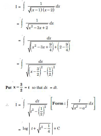
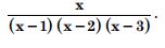
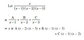
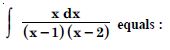
Question 134:

Choose the correct answer

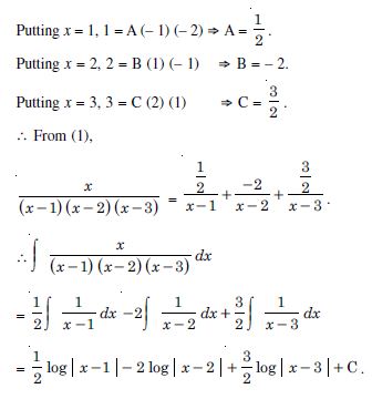
  1. log | (x – 1) (x – 2) | + C
Answer:

Question 135:

Choose the correct answer

Answer:

Question 136:

Integrate the functions in
x sin x

Answer:

Question 137:

Integrate the functions in
x sin 3x

Answer:

Question 138:

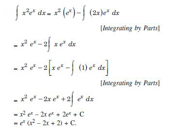
Integrate the functions in
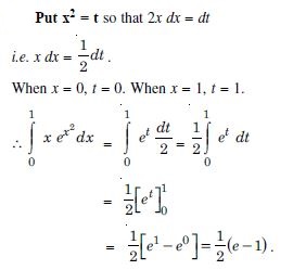
x2ex

Answer:

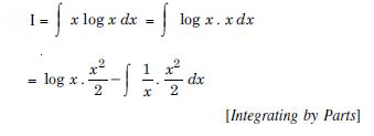
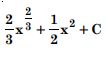
Question 139:

Integrate the functions in
x log x

Answer:

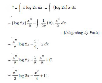
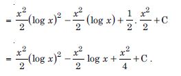
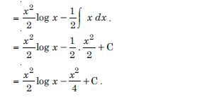
Question 140:

Integrate the functions in
x log 2x

Answer:

Question 141:

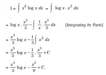
Integrate the functions in
x2 log x

Answer:

Question 142:

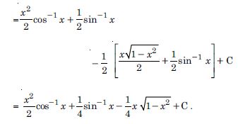
Integrate the functions in
x sin–1 x

Answer:

Question 143:

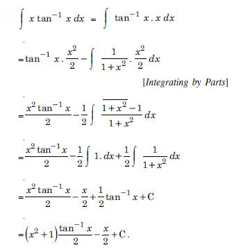
Integrate the functions in
x tan–1 x

Answer:

Question 144:

Integrate the functions in
x cos–1 x

Answer:

Question 145:

Integrate the functions in
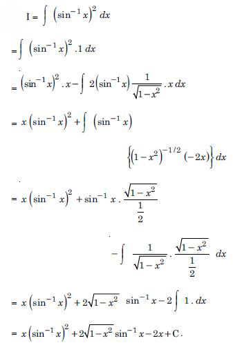
(sin–1 x)2

Answer:

Question 146:

Integrate the functions in

Answer:

Question 147:

Integrate the functions in
x sec2 x.

Answer:

Question 148:

Integrate the functions in
tan–1 x.

Answer:

Question 149:

Integrate the functions in
x (log x)2.

Answer:

Question 150:

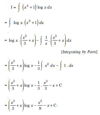
Integrate the functions in
(x2 + 1) log x.

Answer:

Question 151:

Integrate the functions in
ex(sin x + cos x).

Answer:

Question 152:

Integrate the functions in

Answer:

Question 153:

Integrate the functions in

Answer:

Question 154:

Integrate the functions in

Answer:

Question 155:

Integrate the functions in

Answer:

Question 156:

Integrate the functions in
e2x sin x.

Answer:

Question 157:

Integrate the functions in

Answer:

Question 158:

Choose the correct answer in

Answer:

Question 159:

Choose the correct answer in

  1. ex cos x +C
  2. ex sec x + C
  3. ex sin x + C
  4. ex tan x + C
Answer:

ex sec x + C

Question 160:

Integrate the functions in

Answer:

Question 161:

Integrate the functions in

Answer:

Question 162:

Integrate the functions in

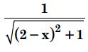
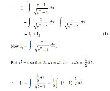
Answer:

Question 163:

Integrate the functions in

Answer:

Question 164:

Integrate the functions in

Answer:

Question 165:

Integrate the functions in

Answer:

Question 166:

Integrate the functions in

Answer:

Question 167:

Integrate the functions in

Answer:

Question 168:

Integrate the functions in

Answer:

Question 169:

Choose the correct answer

Answer:

Question 170:

Choose the correct answer

Answer:

Question 171:

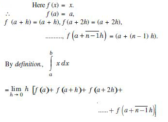
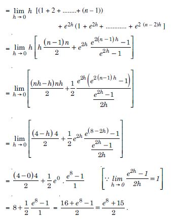
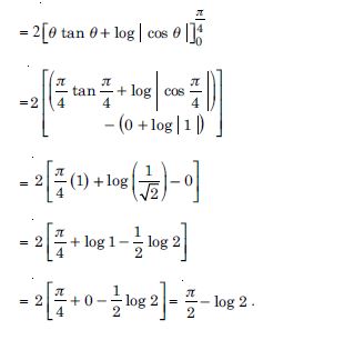
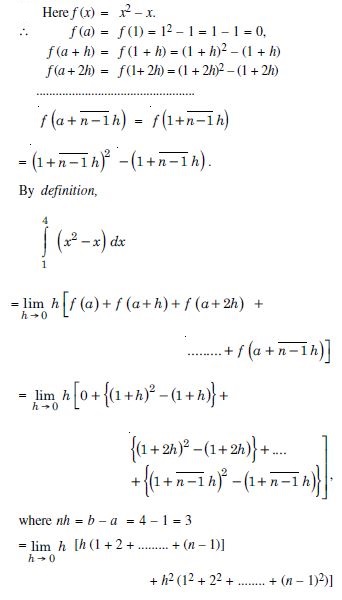
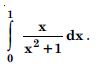
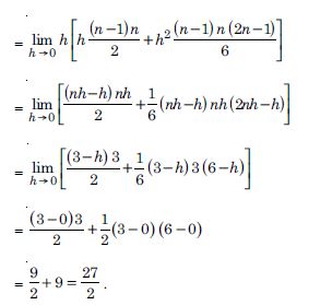
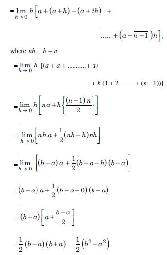
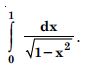
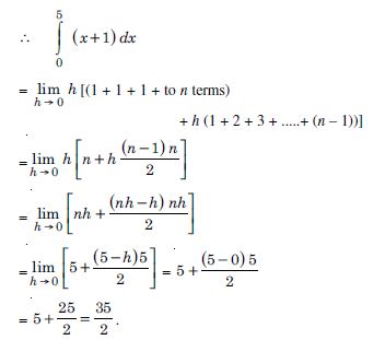
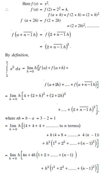
Evaluate the following definite integrals as limit of sums :

Answer:

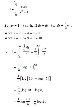
Question 172:

Evaluate the following definite integrals as limit of sums :

Answer:

Question 173:

Evaluate the following definite integrals as limit of sums :

Answer:

Question 174:

Evaluate the following definite integrals as limit of sums :

Answer:

Question 175:

Evaluate the following definite integrals as limit of sums :

Answer:

Question 176:

Evaluate the following definite integrals as limit of sums :

Answer:

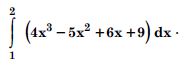
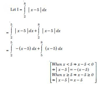
Question 178:

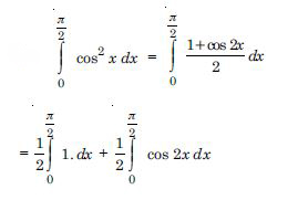
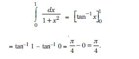
Evaluate the definite integrals

Answer:

Question 179:

Evaluate the definite integrals

Answer:

Question 180:

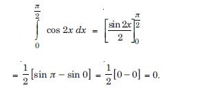
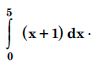
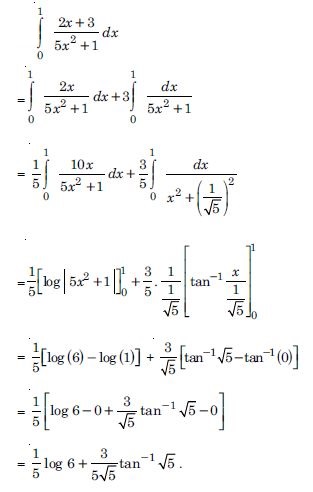
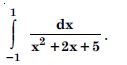
Evaluate the definite integrals

Answer:

Question 181:

Evaluate the definite integrals

Answer:

Question 182:

Evaluate the definite integrals

Answer:

Question 183:

Evaluate the definite integrals

Answer:

Question 184:

Evaluate the definite integrals

Answer:

Question 185:

Evaluate the definite integrals

Answer:

Question 186:

Evaluate the definite integrals

Answer:

Question 187:

Evaluate the definite integrals

Answer:

Question 188:

Evaluate the definite integrals

Answer:

Question 189:

Evaluate the definite integrals

Answer:

Question 190:

Evaluate the definite integrals

Answer:

Question 191:

Evaluate the definite integrals

Answer:

Question 192:

Evaluate the definite integrals

Answer:

Question 193:

Evaluate the definite integrals

Answer:

Question 194:

Evaluate the definite integrals

Answer:

Question 195:

Evaluate the definite integrals

Answer:

Question 196:

Evaluate the definite integrals

Answer:

Question 197:

Evaluate the definite integrals

Answer:

Question 198:

Choose the correct answer

Answer:

Question 199:

Choose the correct answer

Answer:

Question 200:

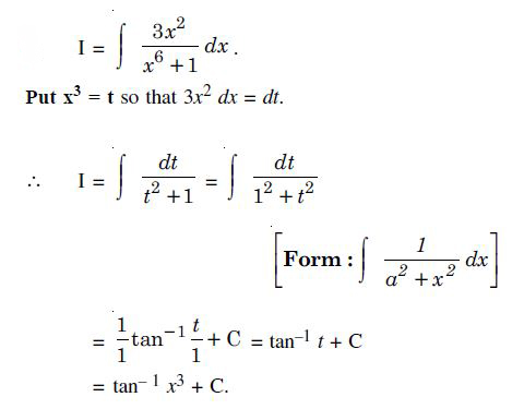
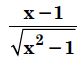
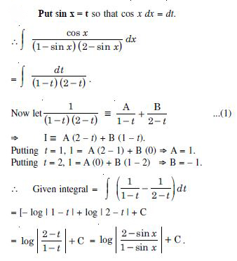
Evaluate the integrals, using substitution

Answer:

Question 201:

Evaluate the integrals, using substitution

Answer:

Question 202:

Evaluate the integrals, using substitution

Answer:

Question 203:

Evaluate the integrals, using substitution

Answer:

Question 204:

Evaluate the integrals, using substitution

Answer:

Question 205:

Evaluate the integrals, using substitution

Answer:

Question 206:

Evaluate the integrals, using substitution

Answer:

Question 207:

Evaluate the integrals, using substitution

Answer:

Question 208:

Choose the correct answer

  1. 6
  2. 0
  3. 3
  4. 4
Answer:

6

Question 209:

Choose the correct answer

  1. cos x + x sin x
  2. x sin x
  3. x cos x
  4. sin x + x cos x
Answer:

x sin x

Question 210:

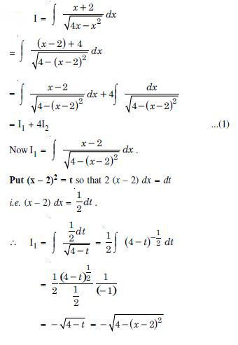
By using the properties of definite integrals, evaluate the integrals in

Answer:

Question 211:

By using the properties of definite integrals, evaluate the integrals in

Answer:

Question 212:

By using the properties of definite integrals, evaluate the integrals in

Answer:

Question 213:

By using the properties of definite integrals, evaluate the integrals in

Answer:

Question 214:

By using the properties of definite integrals, evaluate the integrals in

Answer:

Question 215:

By using the properties of definite integrals, evaluate the integrals in

Answer:

Question 216:

By using the properties of definite integrals, evaluate the integrals in

Answer:

Question 217:

By using the properties of definite integrals, evaluate the integrals in

Answer:

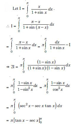
Question 218:

By using the properties of definite integrals, evaluate the integrals in

Answer:

Question 219:

By using the properties of definite integrals, evaluate the integrals in

Answer:

Question 220:

By using the properties of definite integrals, evaluate the integrals in

Answer:

Question 221:

By using the properties of definite integrals, evaluate the integrals in

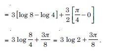
Answer:

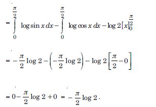
= π [(tan π – sec π) – (tan 0 – sec 0)]
= π [(0 + 1) – (0 – 1)] = π [1 + 1] = 2π.
Hence I = π.

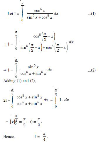
Question 222:

By using the properties of definite integrals, evaluate the integrals in

Answer:

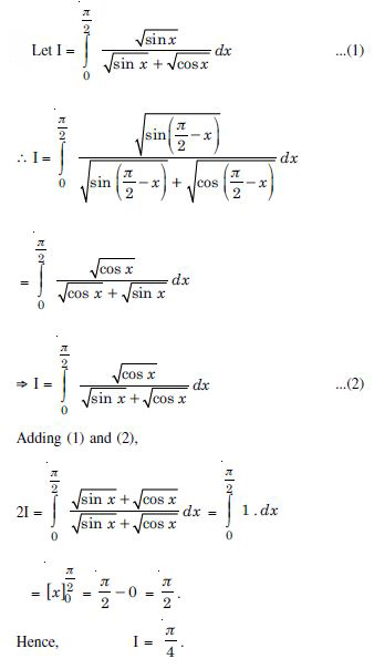
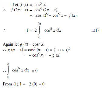
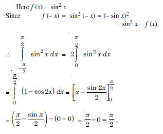
Let f (x) = sin7 x.
f (– x) = [sin (– x)]7 = [– sin x]7
= – sin7x = – f (x).
f (x) is an odd function.

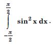
Question 223:

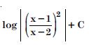
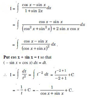
By using the properties of definite integrals, evaluate the integrals in

Answer:

Question 224:

By using the properties of definite integrals, evaluate the integrals in

Answer:

Question 225:

By using the properties of definite integrals, evaluate the integrals in

Answer:

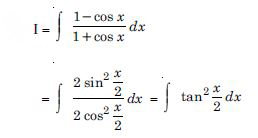
Question 226:

By using the properties of definite integrals, evaluate the integrals in

Answer:

Question 227:

By using the properties of definite integrals, evaluate the integrals in

Answer:

Question 228:

Show that

Answer:

Question 229:

The value of

  1. 0
  2. 2
  3. π
  4. 1
Answer:

π

Question 230:

  1. 2
  2. 0
  3. -1
Answer:

0

Question 231:

Answer:

Question 232:

Answer:

Question 233:

  1. 10x – x10 + c
  2. 10x + x10 + c
  3. (10x – x10)–1 + c
  4. log (10x + x10) + c.
Answer:

log (10x + x10) + c.

Question 234:

  1. tan x + cot x + c
  2. tan x – cot x + c
  3. tan x cot x + c
  4. tan x – cot 2x + c
Answer:

tan x – cot x + c

Question 235:

  1. tan x + cot x + c
  2. tan x + cosec x + c
  3. – tan x + cot x + c
  4. tan x + sec x + c.
Answer:

tan x + cot x + c

Question 236:

  1. – cot (xex) + c
  2. tan (xex) + c
  3. tan (ex) + c
  4. cot (ex) + c.
Answer:

tan (xex) + c

Question 237:

  1. x tan–1 (x + 1) + c
  2. tan–1 (x + 1) + c
  3. (x + 1) tan–1 x + c
  4. tan–1 x + c
Answer:

tan–1 (x + 1) + c

Question 238:

Answer:

Question 239:

  1. log | (x – 1) (x – 2) | + c.
Answer:

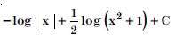
Question 240:

  1. log | x | + log (x2 + 1) + c.
Answer:

Question 241:

Answer:

Question 242:

  1. ex cos x + c
  2. ex sec x + c
  3. ex sin x + c
  4. ex tan x + c.
Answer:

ex sec x + c

Question 243:

Answer:

Question 244:

Answer:

Question 245:

Answer:

Question 246:

Answer:

Question 247:

  1. 6
  2. 0
  3. 3
  4. 4
Answer:

6

Question 248:

  1. cos x + x sin x
  2. x sin x
  3. x cos x
  4. sin x + x cos x.
Answer:

x sin x

Question 249:

  1. 0
  2. 2
  3. π
  4. 1
Answer:

π

Question 250:

  1. 2
  2. 0
  3. -2
Answer:

0

Question 251:

  1. tan–1 (ex) + c
  2. tan–1 (e– x) + c
  3. log (ex – e–x) + c
  4. log (ex + e–x) + c.
Answer:

tan–1 (ex) + c

Question 252:

  1. log | sin x + cos x | + c.
  2. log | sin x – cos x | + c
Answer:

log | sin x + cos x | + c.

Question 253:

Answer: