NCERT Solutions for Class 12 Mathemetics Chapter 9 - Differential Equations

Question 1:

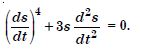
Determine order and degree (if defined) of differential equations given in

Answer:

Order     Degree
4     Not a polynomial in derivatives

Question 2:

Determine order and degree (if defined) of differential equations given in y' + 5y = 0.

Answer:

Order     Degree
1              1

Question 3:

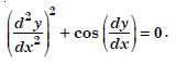
Determine order and degree (if defined) of differential equations given in

Answer:

Order     Degree
2             1

Question 4:

Determine order and degree (if defined) of differential equations given in

Answer:

Order     Degree
2             Not a polynomial in derivatives

Question 5:

Determine order and degree (if defined) of differential equations given in

Answer:

Order     Degree
2             1

Question 6:

Determine order and degree (if defined) of differential equations given in
(y''')2 + (y'')3 + (y')4 + y5 = 0.

Answer:

Order     Degree
3             2

Question 7:

Determine order and degree (if defined) of differential equations given in
y''' + 2y'' + y' = 0.

Answer:

Order     Degree
3             1

Question 8:

Determine order and degree (if defined) of differential equations given in
y'+ y = 0.

Answer:

Order     Degree
1             1

Question 9:

Determine order and degree (if defined) of differential equations given in
y''+ (y')2 + 2y = 0.

Answer:

Order     Degree
2             1

Question 10:

Determine order and degree (if defined) of differential equations given in
y''+ 2y'+ sin y = 0.

Answer:

Order     Degree
2             1

Question 11:

The degree of the differential equation :

  1. 3
  2. 2
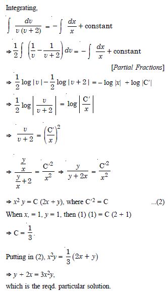
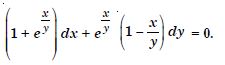
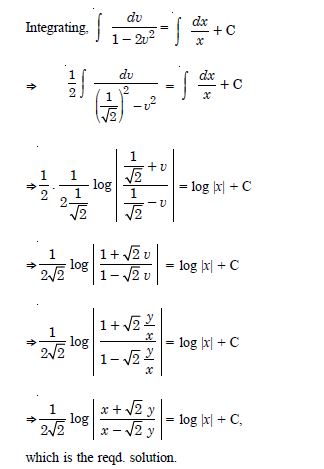
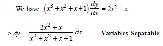
  3. 1
  4. not defined
Answer:

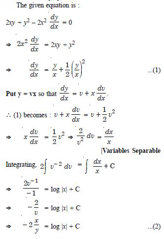
not defined

Question 12:

The order of the differential equation :

  1. 2
  2. 1
  3. 0
  4. Not defined.
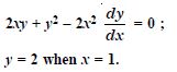
Answer:

2

Question 13:

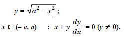
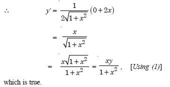
Verify that the given function (explicit or implicit) is a solution of the corresponding differential equation :
y = ex + 1 : y''– y'= 0

Answer:

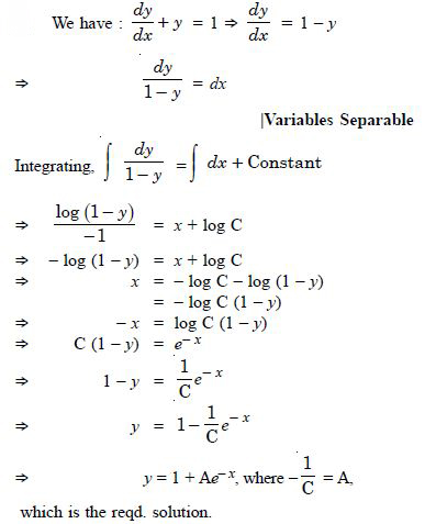
We have : y = ex + 1.
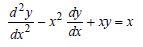
y' = ex and y'' = ex ... (1)
Now y''– y' = ex – ex [Using (1)]
= 0, which is true.

Question 14:

Verify that the given function (explicit or implicit) is a solution of the corresponding differential equation :
y = x2 + 2x + C : y'– 2x – 2 = 0.

Answer:

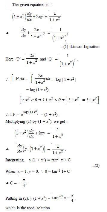
We have : y = x2 + 2x + C.
y'= 2x + 2
y'– 2x – 2 = 0, which is true.

Question 15:

Verify that the given function (explicit or implicit) is a solution of the corresponding differential equation :
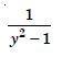
y = cos x + C : y' sin x = 0

Answer:

We have : y = cos x + C.
y' = – sin x + C
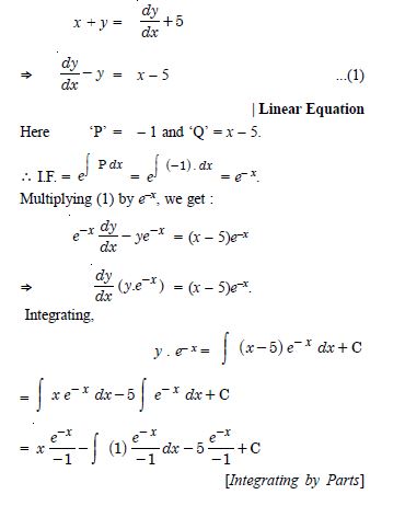
y' + sin x = 0, which is true.

Question 16:

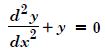
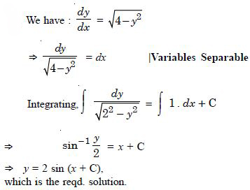
Verify that the given function (explicit or implicit) is a solution of the corresponding differential equation :

Answer:

Question 17:

Verify that the given function (explicit or implicit) is a solution of the corresponding differential equation :
y = Ax : xy'= y (x 0)

Answer:

We have : y= Ax ...(1)
y'= A.
Putting the value of A in (1),
y = y' x xy' = y,
which is true.

Question 18:

Verify that the given function (explicit or implicit) is a solution of the corresponding differential equation :

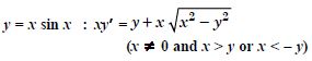
Answer:

We have : y = x sin x ...(1)
y' = x cos x + sin x . 1
y'= sin x + x cos x ...(2)

Question 19:

Verify that the given function (explicit or implicit) is a solution of the corresponding differential equation :

Answer:

Question 20:

Verify that the given function (explicit or implicit) is a solution of the corresponding differential equation :
y – cos x = x : (y sin y + cos y + x)y'= y.

Answer:

We have : y – cos y = x ...(1)
Diff. w.r.t. x, y'+ sin y . y'= 1
(1 + sin y) y'= 1
(y + y sin y)y' = y ...(2) [Multiplying by y]
From (1), y = x + cos y.
Putting in (2), (x + cos y + y sin y) y'= y
(y sin y + cos y + x) y'= y, which is true.

Question 21:

Verify that the given function (explicit or implicit) is a solution of the corresponding differential equation :
x + y = tan–1 y : y2y'+ y2 + 1 = 0

Answer:

We have : x + y = tan–1 y.

(1 + y2) (1 + y') = y'
1 + y2 + y'(1 + y2) = y'
1 + y2 + y'(1 + y2 – 1) = 0
1 + y2 + y'y2 = 0
y2y' + y2 + 1 = 0, which is true.

Question 22:

Verify that the given function (explicit or implicit) is a solution of the corresponding differential equation :

Answer:

Question 23:

The number of arbitrary constants in the general solution of a differential equation of fourth order is :

  1. 0
  2. 2
  3. 3
  4. 4
Answer:

4

Question 24:

The number of arbitrary constants in the particular solution of a differential equation of third order is :

  1. 3
  2. 2
  3. 1
  4. 0
Answer:

0

Question 25:

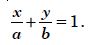
Form a differential equation representing the given family of curves by eliminating arbitrary constants a and b :

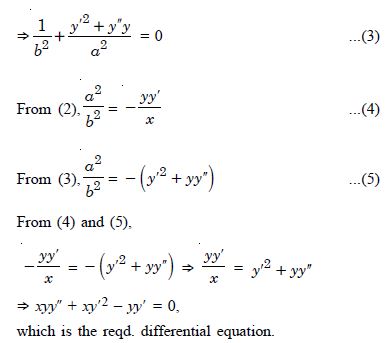
Answer:

Question 26:

Form a differential equation representing the given family of curves by eliminating arbitrary constants a and b :
y2 = a (b2 – x2)

Answer:

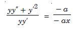
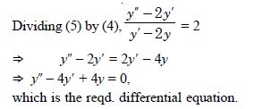
We have : y2 = a (b2 – x2) ...(1)
Diff. w.r.t. x, 2yy' = a (0 – 2x)
yy' = – ax ...(2)
Again diff. w.r.t. x, yy'+ y'2 = – a ...(3)
Dividing (3) by (2),

x (yy''+ y'2) = yy'
xyy''+ x y'2 – yy' = 0,

Question 27:

Form a differential equation representing the given family of curves by eliminating arbitrary constants a and b :
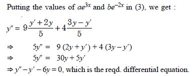
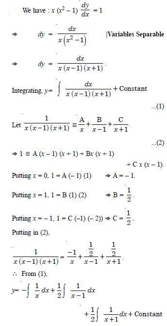
y = ae3x + be–2x

Answer:

We have : y = ae3x + be– 2x ...(1)
Diff. w.r.t. x, y' = 3ae3x – 2b e–2x ...(2)
Again diff. w.r.t. x, y' = 9ae3x + 4be– 2x ...(3)
Multiplying (1) by 2,
2y = 2ae3x + 2be–2x ...(4)
Adding (2) and (4), y''+ 2y = 5ae3x

Question 28:

Form a differential equation representing the given family of curves by eliminating arbitrary constants a and b :
y = e2x (a + bx)

Answer:

We have : y = e2x (a + bx) ...(1)
Diff. w.r.t. x, y'= e2x (b) + 2e2x (a + bx)
y'= e2x (2a + b + 2bx) ...(2)
Multiplying (1) by 2, 2y = e2x (2a + 2bx) ...(3)
Subtracting (3) from (2),
y'– 2y = be2x ...(4)
Again diff. w.r.t x, y''– 2y'= 2be2x ...(5)

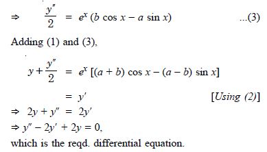
Question 29:

Form a differential equation representing the given family of curves by eliminating arbitrary constants a and b :
y = ex (a cos x + b sin x).

Answer:

We have : y = ex (a cos x + b sin x) ...(1)
Diff. w.r.t. x,
y''= ex (– a sin x + b cos x)
+ ex (a cos x + b sin x)
y''= ex [(a + b) cos x – (a – b) sin x] ...(2)
Again diff. w.r.t. x,
y''= ex [– (a + b) sin x – (a – b) cos x]
+ ex [(a + b) cos x – (a – b) sin x]
y'' = ex [2b cos x – 2 a sin x]

Question 30:

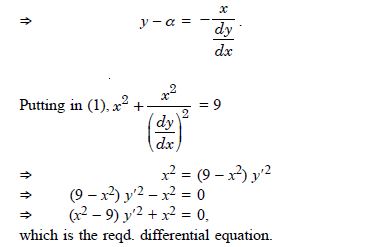
Form the differential equation of the family of circles touching the y-axis at origin.

Answer:

Let (α, 0) be the centre of any member of the circles. Then the equation of the family of circles is :
(x – α)2 + y2 =α2 x2 + y2 – 2x = 0 ...(1)

Question 31:

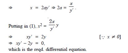
Form the differential equation of the family of parabolas having vertex at origin and axis along positive y-axis.

Answer:

Let the equation of parabolas be :
x2 = 4ay ...(1)
Diff. w.r.t. x,
2x = 4ay'

Question 32:

Form the differential equation of the family of ellipses having foci on y-axis and centre at origin.

Answer:

Question 33:

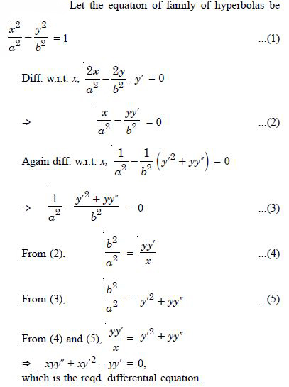
Form the differential equation of the family of hyperbolas having foci on x-axis and centre at origin.

Answer:

Question 34:

Form the differential equation of the family of circles having centre on y-axis and radius 3 units.

Answer:

Let the equation of the family of circles be :
x2 + (y – α)2 = 9 ...(1)

Question 35:

Which of the following differential equation has y = C1 ex + C2 e–x as the general solution ?

Answer:

Question 36:

Which of the following differential equations has y = x as one of its particular solution ?

Answer:

Question 37:

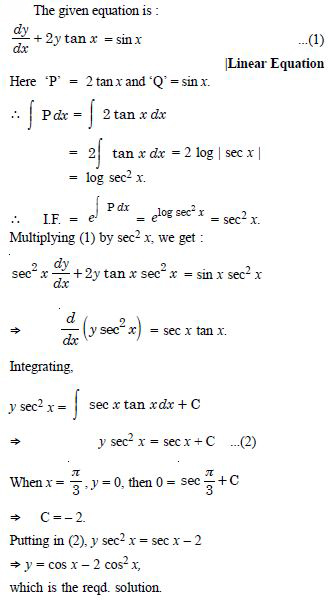
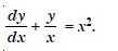
For each of the differential equations, find the general solution :

Answer:

Question 38:

For each of the differential equations, find the general solution :

Answer:

Question 39:

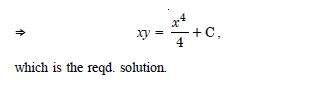
For each of the differential equations, find the general solution :

Answer:

Question 40:

For each of the differential equations, find the general solution :
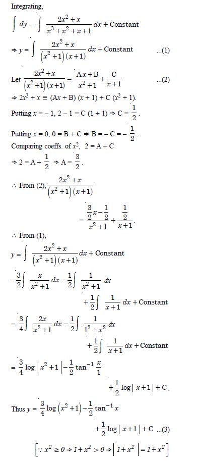
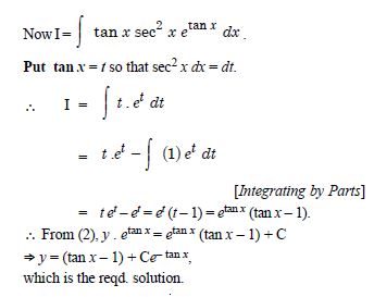
sec2 x tan y dx + sec2 y tan x dy = 0.

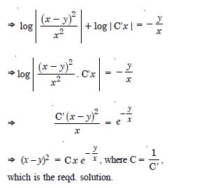
Answer:

log | tan x tan y | = log | C |
tan x tan y = C,
which is the reqd. solution.

Question 41:

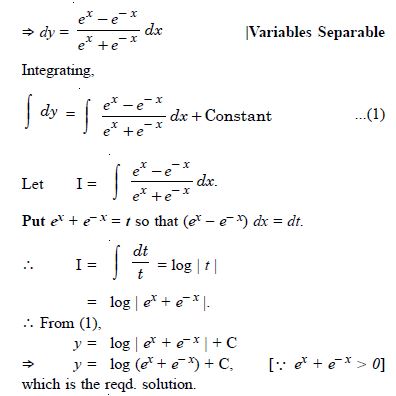
For each of the differential equations, find the general solution :
(ex + e– x) dy – (ex – e– x) dx = 0.

Answer:

We have : (ex + e–x) dy – (ex – e–x) dx = 0

Question 42:

For each of the differential equations, find the general solution :

Answer:

Question 43:

For each of the differential equations, find the general solution :
y log y dx – x dy = 0.

Answer:

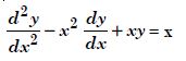
Question 44:

For each of the differential equations, find the general solution :

Answer:

Question 45:

For each of the differential equations, find the general solution :

Answer:

Question 46:

For each of the differential equations, find the general solution :
ex tan y dx + (1 – ex) sec2 y dy = 0.

Answer:

Question 47:

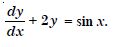
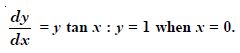
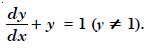
For each of the differential equations find a particular solution satisfying the given condition :

Answer:

Question 48:

For each of the differential equations find a particular solution satisfying the given condition :

Answer:

Question 49:

For each of the differential equations find a particular solution satisfying the given condition :

Answer:

Question 50:

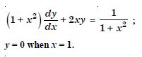
For each of the differential equations find a particular solution satisfying the given condition :

Answer:

Question 51:

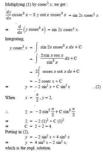
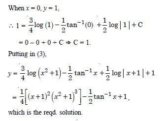
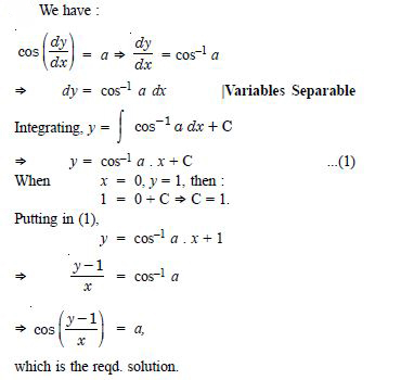
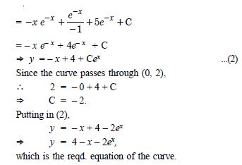
Find the equation of a curve passing through the point (0, 0) and whose differential equation is :
y' = ex sin x.

Answer:

Question 52:

Answer:

Question 53:

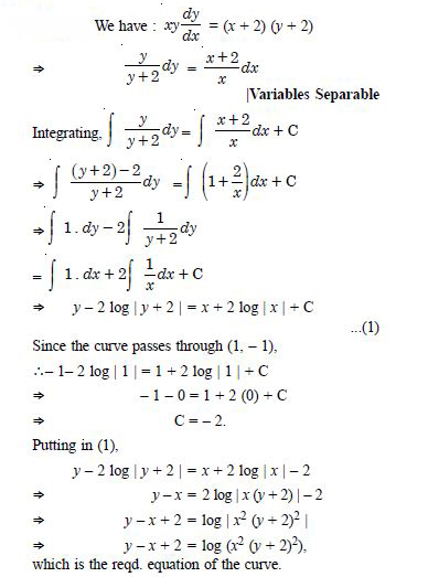
Find the equation of a curve passing through the point (0, – 2), given that at any point (x, y) on the curve the product of the slope of its tangent and y – co-ordinate of the point is equal to the x-co-ordinate of the point.

Answer:

Question 54:

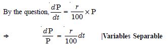
At any point (x, y) of a curve, the slope of the tangent is twice the slope of the line joining the point of contact to the point (– 4, – 3). Find the equation of the curve, given that it passes through (– 2, 1).

Answer:

By the question,

Question 55:

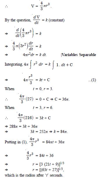
The volume of a spherical balloon is being inflated changes at a constant rate. If initially its radius is 3 units and after 3 seconds it is 6 units, find the radius of the balloon after ‘t’ seconds.

Answer:

Let ‘r’ be the radius of spherical balloon after time ‘t’.

Question 56:

In a bank, principal increases at the rate of r% per year. Find the value of ‘r’ if ₹ 100 double itself in10 years (loge 2 = 0·6931).

Answer:

Let ‘P’ be the principal at any time t.

Question 57:

In a bank, principal, increases continuously at the rate of 5% per year. An amount of ₹ 1000 is deposited with this bank, how much will it worth after 10 years. (e0·5 = 1·648)

Answer:

Let ‘P’ be the principal at any time t.

Question 58:

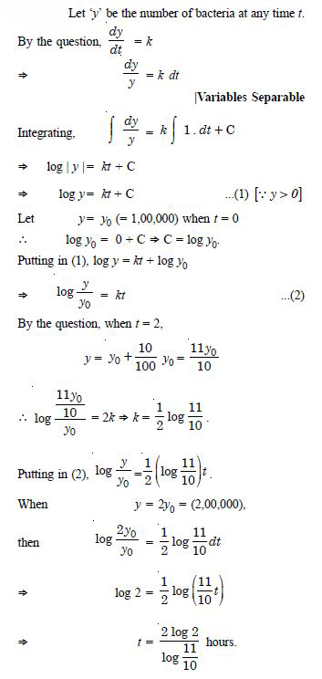
In a culture, the bacteria count is 1,00,000. The number is increased by 10% in 2 hours. In how many hours will the culture reach 2,00,000, if the rate of growth of bacteria is proportional to the number present ?

Answer:

Question 59:

  1. ex + e–y = C
  2. ex + ey = C
  3. e–x + ey = C
  4. e–x + e–y = C
Answer:

ex + e–y = C

Question 60:

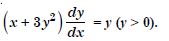
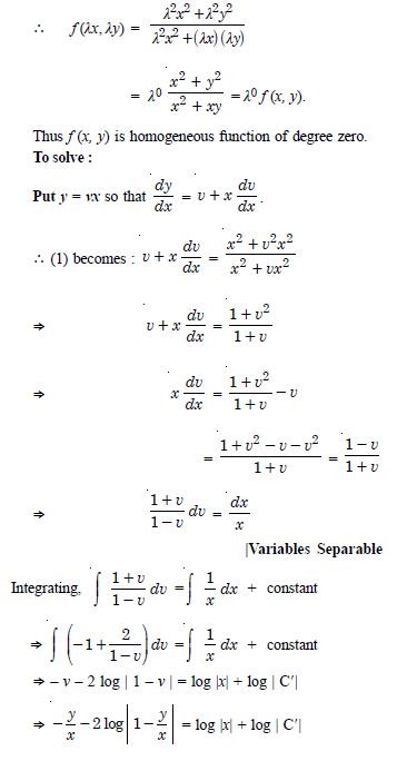
Show that the given differential equation is homogeneous and solve each of them :
(x2 + xy) dy = (x2 + y2) dx.

Answer:

Question 61:

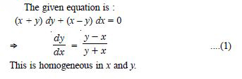
Show that the given differential equation is homogeneous and solve each of them :

Answer:

Question 62:

Show that the given differential equation is homogeneous and solve each of them :
(x – y) dy – (x + y) dx = 0

Answer:

Question 63:

Show that the given differential equation is homogeneous and solve each of them :
(x2 – y2) dx + 2xy dy = 0.

Answer:

Question 64:

Show that the given differential equation is homogeneous and solve each of them :

Answer:

Question 65:

Show that the given differential equation is homogeneous and solve each of them :

Answer:

Question 66:

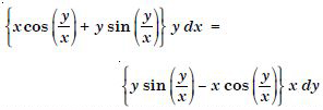
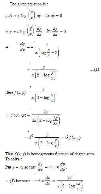
Show that the given differential equation is homogeneous and solve each of them :

Answer:

Question 67:

Show that the given differential equation is homogeneous and solve each of them :

Answer:

Question 68:

Show that the given differential equation is homogeneous and solve each of them :

Answer:

Question 69:

Show that the given differential equation is homogeneous and solve each of them :

Answer:

Question 70:

For each of the differential equations find the particular solution satisfying the given condition :
(x + y) dy + (x – y) dx = 0 ;
y = 1 when x = 1.

Answer:

Question 71:

For each of the differential equations find the particular solution satisfying the given condition :
x2 dy + (xy + y2) dx = 0 ;
y = 1 when x = 1.

Answer:

Question 72:

For each of the differential equations find the particular solution satisfying the given condition :

Answer:

Question 73:

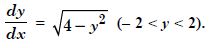
For each of the differential equations find the particular solution satisfying the given condition :

Answer:

Question 74:

For each of the differential equations find the particular solution satisfying the given condition :

Answer:

Question 75:

  1. y = vx
  2. y = yx
  3. x = vy
  4. x = y
Answer:

x = vy

Question 76:

Which of the following is a homogeneous differential equation ?

  1. (4x + 6y + 5) dy – (3xy + 2x + 4) dx
  2. (xy) dx – (x3 + y3) dy = 0
  3. (x3 + 2y2) dx + 2xy dy = 0
  4. y2dx + (x2 – xy – y2) dy = 0.
Answer:

y2dx + (x2 – xy – y2) dy = 0.

Question 77:

For each of the differential equations find the general solutions :

Answer:

Question 78:

For each of the differential equations find the general solutions :

Answer:

Question 79:

For each of the differential equations find the general solutions :

Answer:

Question 80:

For each of the differential equations find the general solutions :

Answer:

Question 81:

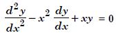
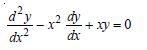
For each of the differential equations find the general solutions :

Answer:

Question 82:

For each of the differential equations find the general solutions :

Answer:

Question 83:

For each of the differential equations find the general solutions :

Answer:

Question 84:

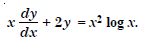
For each of the differential equations find the general solutions :
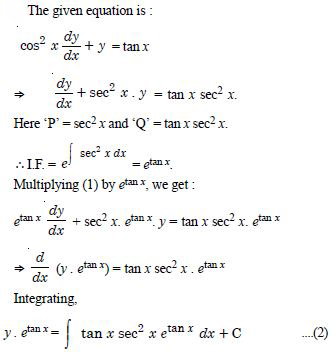
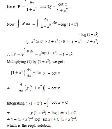
(1 + x2) dy + 2xy dx = cot x dx (x 0).

Answer:

Question 85:

For each of the differential equations find the general solutions :

Answer:

Question 86:

For each of the differential equations find the general solutions :

Answer:

Question 87:

For each of the differential equations find the general solutions :
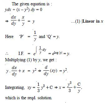
y dx + (x – y2) dy = 0.

Answer:

Question 88:

For each of the differential equations find the general solutions :

Answer:

Question 89:

For each of the differential equations find a particular solution satisfying the given conditions :

Answer:

Question 90:

For each of the differential equations find a particular solution satisfying the given conditions :

Answer:

Question 91:

For each of the differential equations find a particular solution satisfying the given conditions :

Answer:

Question 92:

Find the equation of a curve passing through the origin, given that the slope of the tangent to the curve at any point (x, y) is the equal to the sum of the co-ordinates of the point.

Answer:

Question 93:

Find the equation of a curve passing through the point (0, 2), given that the sum of the co-ordinates of any point on the curve exceeds the magnitude of the slope of the tangent to the curve at that point by 5.

Answer:

By the question,

Question 94:

  1. e–x
  2. e–y
  3. x
Answer:

Question 95:

The Integrating Factor of the differential equation :

Answer:

Question 96:

The degree of the differential equation :

  1. 3
  2. 2
  3. 1
  4. not defined
Answer:

not defined

Question 97:

The order of the differential equation :

  1. 2
  2. 1
  3. 0
  4. not defined
Answer:

2

Question 98:

The number of arbitrary constants in the general solution of a differential equation of fourth order is ;

  1. 0
  2. 2
  3. 3
  4. 4
Answer:

4

Question 99:

The number of arbitrary constants in the particular solution of a differential equation of third order is :

  1. 3
  2. 2
  3. 1
  4. 0
Answer:

0

Question 100:

Which of the following differential equations has y = c1 ex + c2 e–x as the general solution ?

Answer:

Question 101:

Which of the following differential equations has y = x as one of its particular solutions ?

Answer:

Question 102:

  1. ex + e–y = c
  2. ex + ey = c
  3. e–x + ey = c
  4. e–x + e–y = c
Answer:

ex + e–y = c

Question 103:

Which of the following differential equations cannot be solved, using variable separable method ?

  1. (y2 – 2xy) dx = (x2 – 2xy) dy
Answer:

(y2 – 2xy) dx = (x2 – 2xy) dy

Question 104:

  1. y = vx
  2. v = yx
  3. x = vy
  4. x = v.
Answer:

x = vy

Question 105:

Which of the following is a homogeneous differential equation ?

  1. (4x + 6y + 5) dy – (3y + 2x + 4) dx = 0
  2. xy dx – (x3 + y3) dy = 0
  3. (x3 + 2y2) dx + 2xy dy = 0
  4. y2 dx + (x2 – xy – y2) dy = 0.
Answer:

y2 dx + (x2 – xy – y2) dy = 0.

Question 106:

  1. e–x
  2. e–y
  3. x
Answer:

Question 107:

Answer:

Question 108:

  1. xy = c
  2. x = cy2
  3. y = cx
  4. y = cx2
Answer:

y = cx

Question 109:

Answer:

Question 110:

The general solution of the differential equation ex dy + (y ex + 2x) dx = 0 is :

  1. x ey + x2 = c
  2. x ey + y2 = c
  3. y ex + x2 = c
  4. y ey + x2 = c.
Answer:

y ex + x2 = c

Question 111:

The degree of the differential equation representing the family of curves (x – a)2 + y2 = 16 is :

  1. 0
  2. 2
  3. 3
  4. 1
Answer:

1