NCERT Solutions for Class 12 Mathemetics Chapter 4 - Determinants

Question 1:

Answer:

= 2 × (-1) - (-5) × 4 = - 2 + 20 = 18.

Question 2:

Evaluate

Answer:

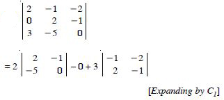
Question 3:

Evaluate

Answer:

Question 4:

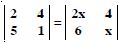
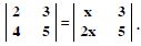
Answer:

We have :

Question 5:

Answer:

We have :

Question 6:

Evaluate the determinants :

Answer:

Question 7:

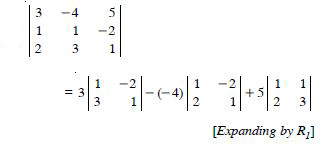
Evaluate the determinants :

Answer:

= 3 (1 × 1 - 3 × (-2)) + 4 (1 × 1 - 2 × (-2))
+ 5 (1 × 3 - 2 × 1)
= 3 (1 + 6) + 4 (1 + 4) + 5 (3 - 2)
= 3 (7) + 4 (5) + 5 (1) = 21 + 20 + 5 = 46.

Question 8:

Evaluate the determinants :

Answer:

= 0 - (-1 × 0 - (-2) × (-3)) + 2 ((-1) × 3 - (-2) × 0)
= 0 - (- 0 - 6) + 2 (- 3 + 0) = 6 - 6 = 0.

Question 9:

Evaluate the determinants :

Answer:

= 2 (2 × 0 - (-5) × (-1)) + 3 ((-1) × (-1) - 2 × (-2))
= 2 (0 - 5) + 3 (1 + 4) = - 10 + 15 = 5.

Question 10:

Answer:

= (- 9 + 12) - (-18 + 15) - 2 (8 - 5)
= 3 + 3 - 6 = 0.

Question 11:

Find values of x, if :

Answer:

We have :

2 - 20 = 2x2 - 24
- 18 = 2x2 - 24
2x2 = 24 - 18
2x2 = 6
x2 = 3.

Question 12:

Find values of x, if :

Answer:

We have :

2 × 5 - 4 × 3 = 5 × x - 2x × 3
10 - 12 = 5x - 6x
- x = - 2.
Hence, x = 2.

Question 13:

  1. 6
  2. ± 6
  3. - 6
  4. 0
Answer:

± 6

Question 14:

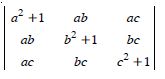
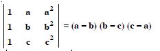
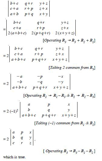
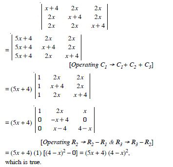
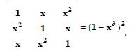
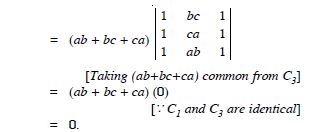
Using the property of determinants and without expanding prove that :

Answer:

Question 15:

Using the property of determinants and without expanding prove that :

Answer:

Question 16:

Using the property of determinants and without expanding prove that :

Answer:

Question 17:

Using the property of determinants and without expanding prove that :

Answer:

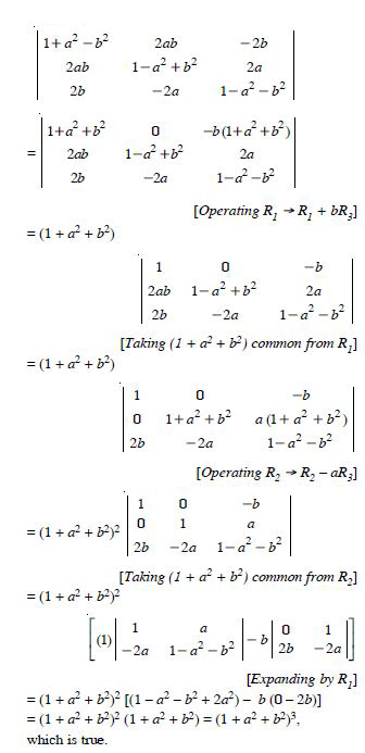
Question 18:

Using the property of determinants and without expanding prove that :

Answer:

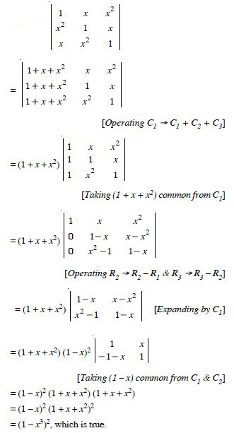
Question 19:

Using the property of determinants and without expanding prove that :

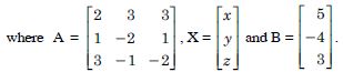
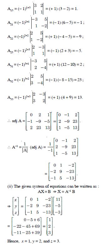
Answer:

Question 20:

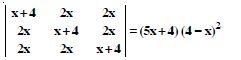
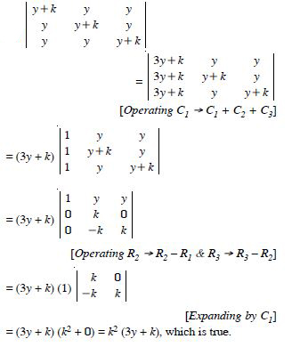
Using properties of determinants, prove the following

Answer:

Question 21:

Prove that :

Answer:

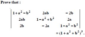
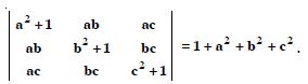
Question 22:

Prove that :

Answer:

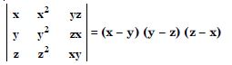
Question 23:

Prove that :

(xy + yz + zx).

Answer:

Question 24:

Prove that :

Answer:

Question 25:

Prove that :

Answer:

Question 26:

Prove that :

Answer:

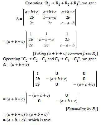
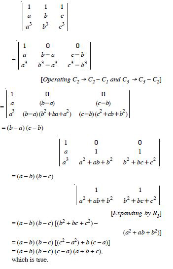
Question 27:

Prove that :

Answer:

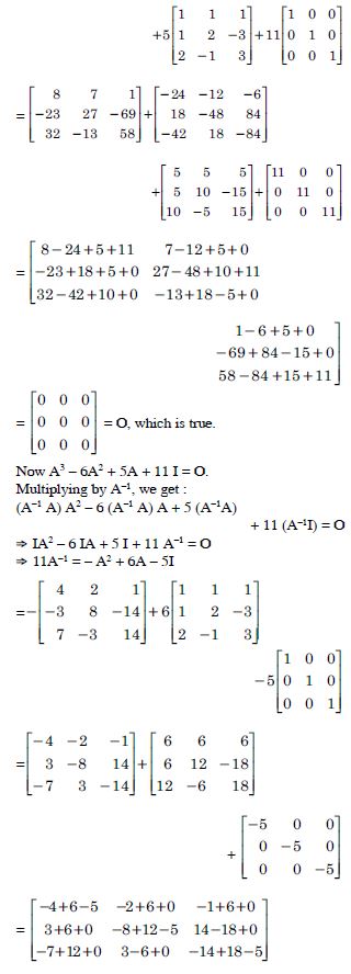
= 2 (x + y + z) [(x + y + z)2 + 0]
= 2 (x + y + z)3, which is true

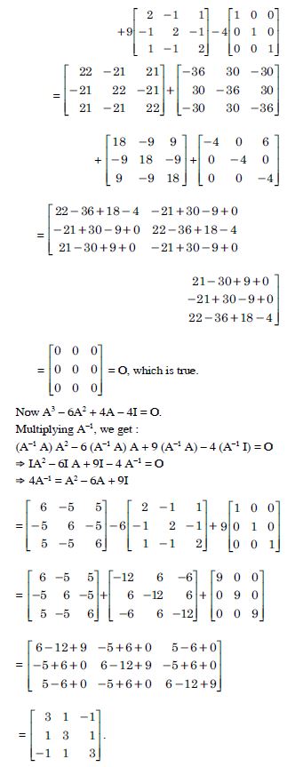
Question 28:

Prove that :

Answer:

Question 29:

Answer:

Question 30:

Prove that :

Answer:

Question 31:

Choose the correct answer
Let A be a square matrix of order 3 × 3, then |k A| is equal to :

  1. k |A|
  2. k2
  3. |A|
  4. 3k |A|
Answer:

k3 |A|

Question 32:

Choose the correct answer Which of the following is correct :

  1. Determinant is a square matrix.
  2. Determinant is a number associated to a matrix.
  3. Determinant is a number associated to a square matrix.
  4. None of these.
Answer:

Determinant is a number associated to a square matrix.

Question 33:

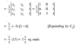
Find area of the triangle with vertices at the points given in each of the following :
(1, 0), (6, 0), (4, 3)

Answer:

Area of the triangle

Question 34:

Find area of the triangle with vertices at the points given in each of the following :
(2, 7), (1,1), (10, 8)

Answer:

Area of the triangle

Question 35:

Find area of the triangle with vertices at the points given in each of the following :
(-2, -3), (3, 2), (-1, -8).

Answer:

Area of the triangle

Question 36:

Show that the points :
A (a, b + c), B (b, c + a), C (c, a + b) are collinear.

Answer:

Question 37:

Find the values of ‘k’ if area of triangle is 4 sq. units and vertices are :
(k, 0), (4, 0), (0, 2)

Answer:

Area of the triangle

= - (k - 4).
By the question, - (k - 4) = ± 4.
Taking +ve sign, -(k - 4) = 4 k = 0.
Taking -ve sign, - (k - 4) = - 4 k = 8.
Hence, k = 0, 8.

Question 38:

Find the values of ‘k’ if area of triangle is 4 sq. units and vertices are :
(-2, 0), (0, 4), (0, k)

Answer:

= k - 4
By the question, k - 4 = ± 4.
Taking +ve sign, k - 4 = 4 k = 8.
Taking -ve sign, k - 4 = - 4 k = 0.
Hence, k = 0, 8.

Question 39:

Find the equation of line joining (1, 2) and (3, 6), using determinants.

Answer:

Let (x, y) be the third point on the line joining (1, 2) and (3, 6).
The area of the triangle having vertices (x, y), (1, 2) and (3, 6)

Question 40:

Find the equation of line joining (3, 1) and (9, 3) using determinants.

Answer:

As in part (i).

Question 41:

If area of triangle is 35 sq. units with vertices (2, - 6), (5, 4) and (k, 4), then k is :

  1. 12
  2. - 2
  3. - 12, - 2
  4. 12, - 2.
Answer:

12, - 2

Question 42:

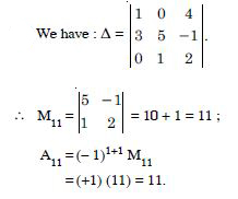
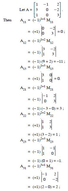
Write minors and co-factors of the elements of the following determinants :

Answer:

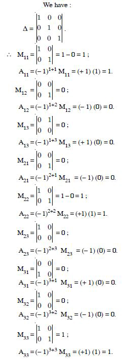
We have :

Minor ofa11 = M11 = 3
Co-factor of a11 = A11 = (- 1)1+1 M11
= (- 1)2 (3) = 3.
Minor ofa12 = M12 = 0
Co-factor of a12 = (- 1)1+2 M12
= (- 1)3 (0) = 0.
Minor of a21 = M21 = - 4
Co-factor of a21 = A21 = (- 1)2+1 M21
= (- 1)3 (- 4) = - (- 4) = 4.
Minor of a22 = M22 = 2.
Co-factor of a22 = A22 = (- 1)2+2 M22
= (- 1)4 (2) = (1) (2) = 2.

Question 43:

Write minors and co-factors of the elements of the following determinants :

Answer:

M11= d, A11 = (- 1)1+1 M11 = (+ 1) d = d.
M12= b, A12 = (- 1)1+2 M12 = (- 1) b = - b.
M21= c , A21 = (- 1)2+1 M21 = (- 1) c = - c.
M22= a, A22 = (- 1)2+2 M22 = (+ 1) a = a.

Question 44:

Write minors and co-factors of the elements of the following determinants :

Answer:

Question 45:

Write minors and co-factors of the elements of the following determinants :

Answer:

Question 46:

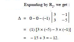
Using co-factors of elements of second row, evaluate :

Answer:

Question 47:

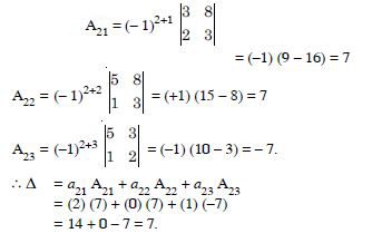
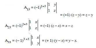
Using co-factors of third column, evaluate :

Answer:

= a13 A13 + a23 A23 + a33 A33
= yz (z - y) + zx (x - z) + xy (y - x)
= yz2 - y2 z + zx2 - z2x + xy2 - x2y
= x2 (z - y) + x (y2 - z2) + yz (z - y)
= x2 (z - y) + x (y - z) (y + z) - yz (y - z)
= (y - z) (- x2 + xy + xz - yz)
= (y - z) [y (x - z) + x (z - x)]
= (y - z) (z - x) (x - y)
= (x - y) (y - z) (z - x).

Question 48:

  1. a11 A11 + a12 A32 + a13 A33
  2. a11 A11 + a12 A21 + a13 A31
  3. a21 A11 + a22 A12 + a23 A13
  4. a11 A11 + a21 A21 + a31 A31
Answer:

a11 A11 + a21 A21 + a31 A31

Question 49:

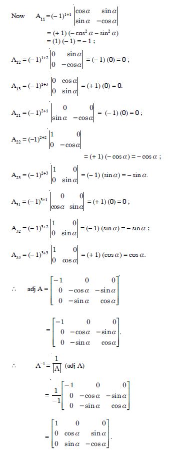
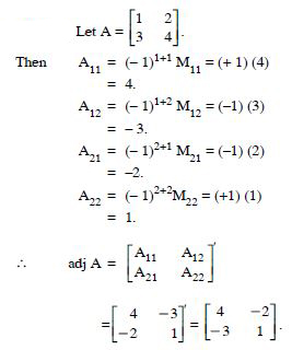
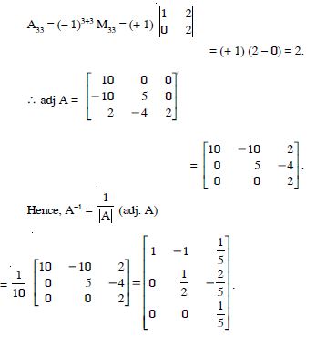
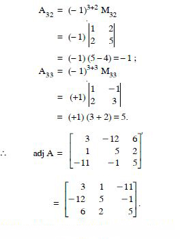
Find the adjoint of the matrices

Answer:

Question 50:

Find the adjoint of the matrices

Answer:

Question 51:

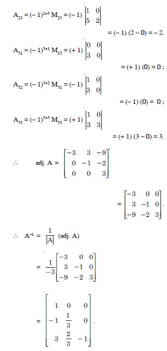
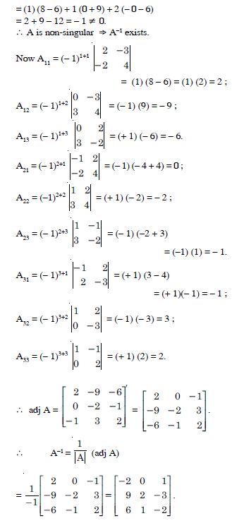
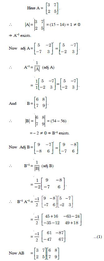
Verify A (Adj A) = (Adj A) A = |A| I

Answer:

Question 52:

Verify A (Adj A) = (Adj A) A = |A| I

Answer:

Question 53:

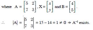
Find the inverse of each of the matrices (if it exists) given in

Answer:

Question 54:

Find the inverse of each of the matrices (if it exists) given in

Answer:

Question 55:

Find the inverse of each of the matrices (if it exists) given in

Answer:

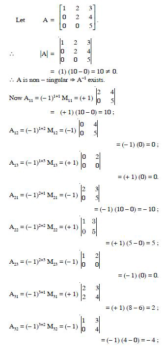
Question 56:

Find the inverse of each of the matrices (if it exists) given in

Answer:

Question 57:

Find the inverse of each of the matrices (if it exists) given in

Answer:

Question 58:

Find the inverse of each of the matrices (if it exists) given in

Answer:

Question 59:

Find the inverse of each of the matrices (if it exists) given in

Answer:

Question 60:

Answer:

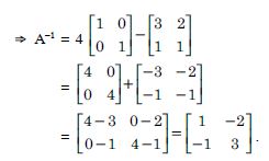
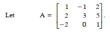
Question 61:

Answer:

We have :

Question 62:

Answer:

Question 63:

Answer:

We have :

Question 64:

Answer:

Question 65:

Let A be non-singular square matrix of order 3 × 3. Then |adj A| is equal to :

  1. |A|
  2. |A|2
  3. |A|3
  4. 3|A|
Answer:

|A|2

Question 66:

If A is an invertible matrix of order 2, then det. (A–1) is equal to :

  1. det (A)
  2. 1
  3. 0
Answer:

Question 67:

Classify the following system of equations as consistent or inconsistent :
x + 2y = 2
2x + 3y = 3.

Answer:

The given equations are :
x + 2y=2
2x + 3y=3.

= 3 – 4 = – 1 ≠ 0.
Hence, the given system of equations is consistent.

Question 68:

Classify the following system of equations as consistent or inconsistent :
2x – y = 5
x + y = 4.

Answer:

The given equations are :
2x – y=5
x + y=4.

= 2 + 1 = 3 ≠ 0.
Hence, the given system of equations is consistent.

Question 69:

Classify the following system of equations as consistent or inconsistent :
x + 3y = 5
2x + 6y = 8.

Answer:

The given equations are :
x + 3y = 5
2x + 6y = 8.

Hence, the given system of equations is inconsistent.

Question 70:

Classify the following system of equations as consistent or inconsistent :
x + y + z = 1
2x + 3y + 2z = 2
ax + ay + 2az = 4.

Answer:

The given equations are :
x + y + z = 1
2x + 3y + 2z = 2
ax + ay + 2az = 4

= 1.(6 – 2) – 1. (4 – 2) + 1. (2 – 3)
= 4 – 2 – 1= 1 ≠ 0.
Hence, the given system of equations is consistent.

Question 71:

Classify the following system of equations as consistent or inconsistent :
3x – y – 2z = 2
2y – z = – 1
3x – 5y = 3.

Answer:

The given equations are :
3x – y – 2z = 2
2y – z = – 1
3x – 5y = 3.

Question 72:

Classify the following system of equations as consistent or inconsistent :
5x – y + 4z = 5
2x + 3y + 5z = 2
5x – 2y + 6z = – 1.

Answer:

The given equations are :
5x – y + 4z = 5
2x + 3y + 5z = 2
5x – 2y + 6z = – 1.

= 5 (18 + 10) + 1. (12 – 25) + 4 (– 4 – 15)
= 140 – 13 – 76 = 51 ≠ 0.
Hence, the given system of equations is consistent.

Question 73:

Solve system of linear equations, using matrix method
5x + 2y = 4
7x + 3y = 5.

Answer:

The given system of equations is :
5x + 2y = 4
7x + 3y = 5.
These can be written as AX = B
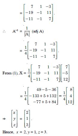
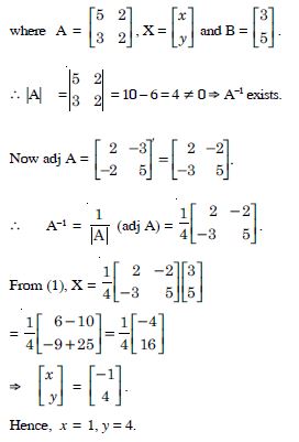
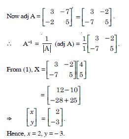
X = A–1 B ...(1),

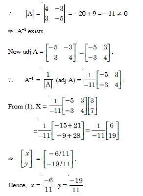
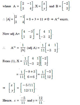
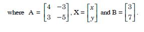
Question 74:

Solve system of linear equations, using matrix method
2x – y = – 2
3x + 4y = 3.

Answer:

The given system of equations is :
2x – y = – 2
3x + 4y = 3.
These can be written as A X = B
X = A–1 B ...(1),

Question 75:

Solve system of linear equations, using matrix method
4x – 3y = 3
3x – 5y = 7.

Answer:

The given system of equations is :
4x – 3y = 3
3x – 5y = 7.
These can be written as AX = B
X = A–1 B ...(1),

Question 76:

Solve system of linear equations, using matrix method
5x + 2y = 3
3x + 2y = 5.

Answer:

The given system of equations is :
5x + 2y = 3
3x + 2y = 5.
These can be written as AX = B
X = A–1 B ...(1),

Question 77:

Solve system of linear equations, using matrix method
2x + y + z = 1

3y – 5z = 9.

Answer:

The given system of equations is :
2x + y + z = 1

Question 78:

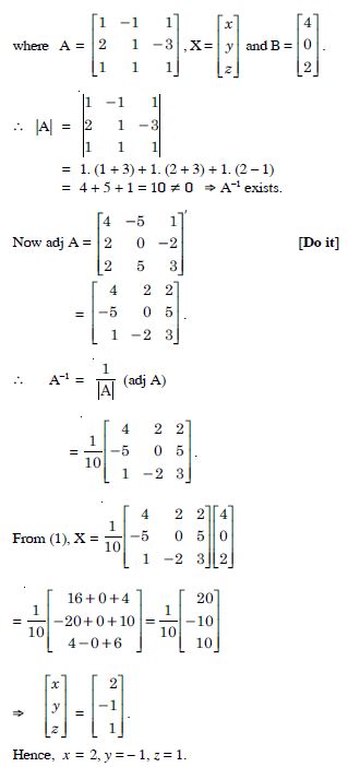
Solve system of linear equations, using matrix method
x – y + z = 4
2x + y – 3z = 0
x + y + z = 2.

Answer:

The given system of equations is :
x – y + z = 4
2x + y – 3z= 0
x + y + z = 2.
These can be written as AX = B
X = A–1 B ...(1),

Question 79:

Solve system of linear equations, using matrix method
2x + 3y + 3z = 5
x – 2y + z = – 4
3x – y – 2z = 3.

Answer:

The given system of equations is :
2x + 3y + 3z = 5
x – 2y + z = – 4
3x – y – 2z= 3.
These can be written as AX = B
X = A–1 B ...(1),

Question 80:

Solve system of linear equations, using matrix method
x – y + 2z = 7
3x + 4y – 5z = – 5
2x – y + 3z = 12.

Answer:

The given system of equations is :
x – y + 2z = 7
3x + 4y – 5z = – 5
2x – y + 3z= 12.
These can be written as AX = B
X = A–1 B ...(1),

Question 81:

Using A–1, solve the system of equations :
2x – 3y + 5z=11
3x + 2y – 4z=– 5
x + y – 2z = – 3.

Answer:

Question 82:

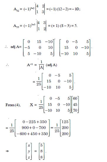
The cost of 4 kg onion, 3 kg wheat and 2 kg rice is ₹ 60. The cost of 2 kg onion, 4 kg wheat and 6 kg rice is ₹ 90.
The cost of 6 kg onion, 2 kg. wheat and 3 kg rice is ₹ 70. Find cost of each item per kg by matrix method.

Answer:

Let the cost of onion, wheat and rice per kg be ₹ x, ₹ y and ₹ z respectively.
By the question,
4x + 3y + 2z = 60 ...(1)
2x + 4y + 6z=90
i.e. x + 2y + 3z = 45 ...(2)
6x + 2y + 3z = 70 ...(3)
These equations can be written as A X = B
X = A–1 B ...(4)

x = 5, y = 8, z = 8.
Hence, the cost of onion, wheat and rice per kg. is ₹ 5, ₹ 8 and ₹ 8 respectively.

Question 83:

  1. 6
  2. ± 6
  3. – 6
  4. 6, 6
Answer:

6

Question 84:

Let A be a square matrix of order 3 × 3. Then | kA | is equal to :

  1. k | A |
  2. k2 | A |
  3. k3 | A |
  4. 3k | A |
Answer:

k3 | A |

Question 85:

Which of the following is correct?

  1. Determinant is a square
  2. Determinant is a number associated to a matrix
  3. Determinant is a number associated to a square matrix
  4. None of these
Answer:

Determinant is a number associated to a square matrix

Question 86:

If area of triangle is 35 sq. units with vertices (2, – 6), (5, 4) and (k, 4). Then k is :

  1. 12
  2. – 2
  3. – 12, – 2
  4. 12, – 2
Answer:

12, – 2

Question 87:

  1. a11A31 + a12A32 + a13A33
  2. a11A11 + a12A21 + a13A33
  3. a21A11 + a22A12 + a23A13
  4. a11A11 + a21A21 + a31A31
Answer:

a11A11 + a12A21 + a13A33

Question 88:

Let A be a non-singular matrix of order 3 × 3. Then | adj. A | is equal to :

  1. | A |
  2. | A |2
  3. | A |3
  4. 3 | A |
Answer:

| A |2

Question 89:

If A is an invertible matrix of order 2, then det (A–1) is equal to :

  1. det (A)
  2. 1
  3. 0
Answer:

det (A)

Question 90:

If a, b, c are in A.P., then determinant :

  1. 0
  2. 1
  3. x
  4. 2x
Answer:

0

Question 91:

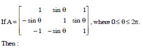
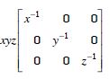
If x, y, z are non-zero real numbers, then the inverse of matrix A =

is :

Answer:

Question 92:

  1. Det (A) = 0
  2. Det (A) (2, )
  3. Det (A) (2, 4)
  4. Det (A) [2, 4].
Answer:

Det (A)[2, 4].