NCERT Solutions for Class 12 Mathemetics Chapter 5 - Continuity and Differentiability

Question 1:

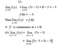
Prove that the function f (x) = 5x – 3 is continuous at x = 0, at x = – 3 and at x = 5.

Answer:

Question 2:

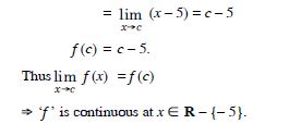
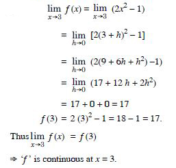
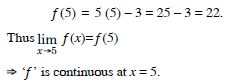
Examine the continuity of the function f (x) = 2x2 – 1 at x = 3.

Answer:

Question 3:

Examine the following functions for continuity :
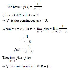
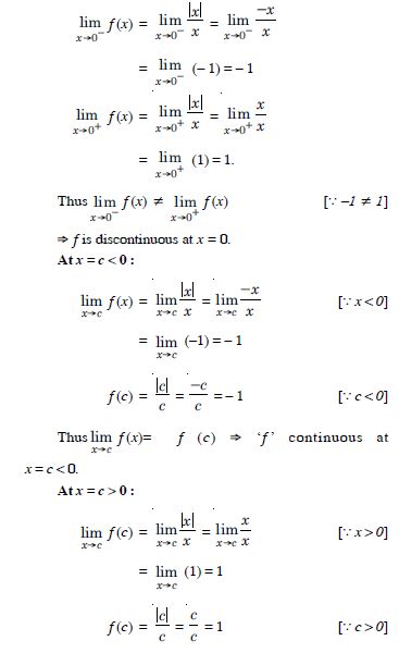
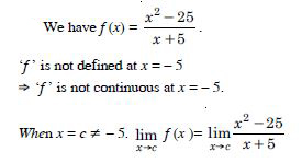
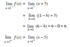
f (x) = x – 5

Answer:

Since f (x) = x – 5 is a polynomial,
‘f ’ is continuous at each x R.

Question 4:

Examine the following functions for continuity :

Answer:

Question 5:

Examine the following functions for continuity :

Answer:

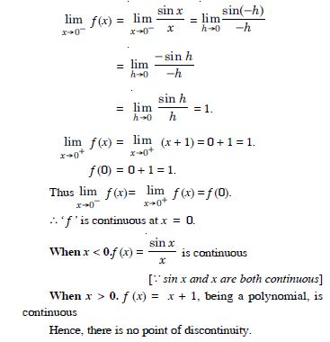
Question 6:

Examine the following functions for continuity :
f (x) = | x – 5|.

Answer:

Question 7:

Prove that the function f (x) = xn is continuous at x = n, where n is a positive integer.

Answer:

Since f (x) = xn is a polynomial,
it is continuous at all n R.
Hence ‘f ’ is continuous at x = n N.

Question 8:

Is the function ‘f ’ defined by :

continuous at x = 0 ? At x = 1 ? At x = 2 ?

Answer:

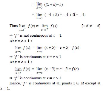
Question 9:

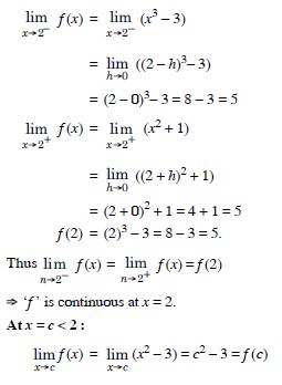
Find all points of discontinuity of ‘f ’, where ‘f ’ is defined by

Answer:

At x = 2 :

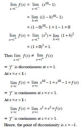
Question 10:

Find all points of discontinuity of ‘f ’, where ‘f ’ is defined by

Answer:

Question 11:

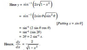
Find all points of discontinuity of ‘f ’, where ‘f ’ is defined by

Answer:

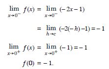
At x = 0 :

Question 12:

Find all points of discontinuity of ‘f ’, where ‘f ’ is defined by

Answer:

At x = 0 :

Question 13:

Find all points of discontinuity of ‘f ’, where ‘f ’ is defined by

Answer:

At x = 1 :

Question 14:

Find all points of discontinuity of ‘f ’, where ‘f ’ is defined by

Answer:

At x = 2 :

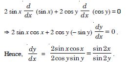
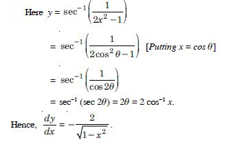
Question 15:

Find all points of discontinuity of ‘f ’, where ‘f ’ is defined by

Answer:

At x = 1 :

Question 16:

Is the function defined by :

a continuous function ?

Answer:

At x = 1.

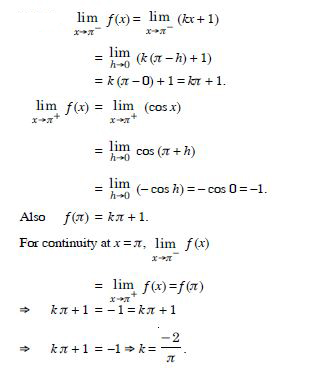
Question 17:

Discuss the continuity of the function ‘f ’, where ‘f ’ is defined by

Answer:

Question 18:

Discuss the continuity of the function ‘f ’, where ‘f ’ is defined by

Answer:

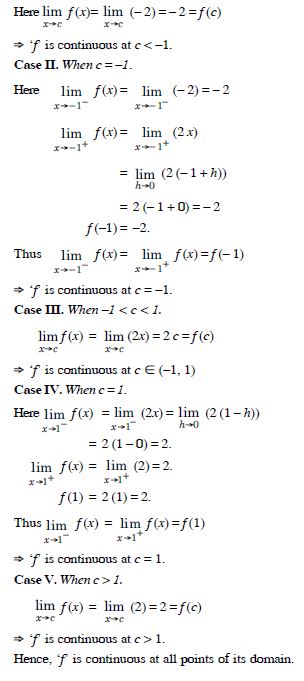
Question 19:

Discuss the continuity of the function ‘f ’, where ‘f ’ is defined by

Answer:

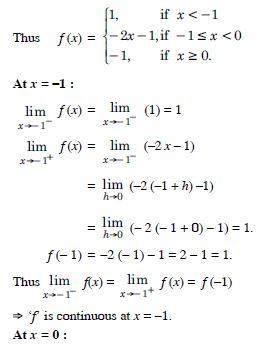
Here Df = R.
Here five cases arise :
Case I. Where c < –1.

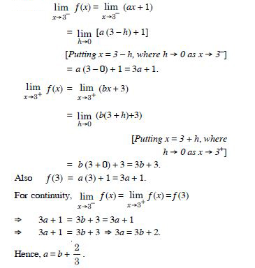
Question 20:

Find the relationship between ‘a’ and ‘b’ so that the function ‘f ’ defined by :

is continuous at x = 3.

Answer:

Question 21:

For what value of λ is the function :

What about continuity at x = 1 ?

Answer:

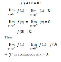
At x = 0 :

Question 22:

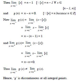
Show that the function defined by g (x) = x – [x] is discontinuous at all integral points.

Answer:

Let n I.

Question 22:

Is the function defined by
f (x) = x2 – sin x + 5 continuous at x = π ?

Answer:

We have : f (x) = x2 – sin x + 5.
f (π) = π2 – sin π + 5 = π2 – 0 + 5
= π2 + 5.

= π2 – sin π + 5
=π2 – 0 + 5 = π2 + 5 = f (π).
Hence, ‘f’ is continuous at x = π.

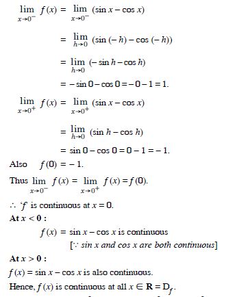
Question 24:

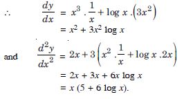
Discuss the continuity of the following functions :
(a) f (x) = sin x + cos x
(b) f (x) = sin x – cos x
(c) f (x) = sin x . cos x.

Answer:

(a) We have :
f (x) = sin + cos x, Df = R.
Let c Df.

= sin c + cos c = f (c)
‘f’ is continuous at x = c.
But c is arbitrary.
Hence, ‘f’ is a continuous function.
(b) Replace (+) by (–).
(c) Replace (+) by (.).

Question 25:

Discuss the continuity of the cosine, cosecant, secant and cotangent functions.

Answer:

Question 26:

Find all points of discontinuity of f, where :

Answer:

At x = 0 :

Question 27:

Determine if ‘f’ defined by :

is a continuous function.

Answer:

At x = 0 :

Question 28:

Examine the continuity of ‘f ’, where ‘f ’ is defined by :

Answer:

At x = 0 :

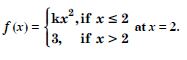
Question 29:

Find the values of k so that the function ‘f’ is continuous at the indicated point in

Answer:

Question 30:

Find the values of k so that the function ‘f’ is continuous at the indicated point in

Answer:

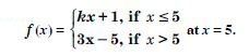
Question 31:

Find the values of k so that the function ‘f’ is continuous at the indicated point in

Answer:

Question 32:

Find the values of k so that the function ‘f’ is continuous at the indicated point in

Answer:

Question 33:

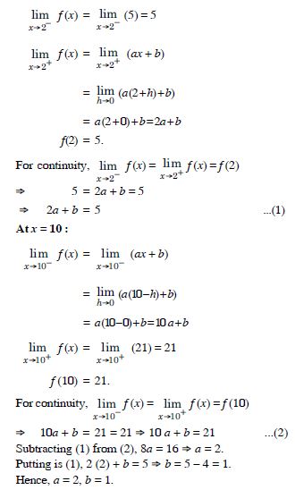
Find the values of a and b such that the function defined by :

is a continuous function.

Answer:

Since f is continuous at all x,
f is continuous at x = 2, 10.
At x = 2 :

Question 34:

Show that the function defined by f (x) = cos (x2) is a continuous function.

Answer:

We have : f (x) = cos (x2).
Df= R.
Let c Df, arbitrary.

‘f’ is continuous at x = c
‘f’ is continuous on R.

Question 35:

Show that the function defined by f (x) = |cos x| is a continuous function.

Answer:

We have : f (x) = |cosx|.
Df = R.
Let c Df, arbitrary.

‘f’ is continuous at x = c
‘f’ is continuous on R.

Question 36:

Show that sin |x| is a continuous function.

Answer:

We have : f (x) = sin |x|.
Let c be an arbitrary number Df.

Question 37:

Find all the points of discontinuity of ‘f’ defined by f (x) = |x| – |x + 1|.

Answer:

We have : f (x) = |x| – |x + 1|.

‘f’ is continuous at x = 0
Also ‘f ’ being constant, is continuous when x < –1 or
when x > 0.
Thus ‘f’ is continuous for all x R.
Hence, there is no point of discontinuity.

Question 38:

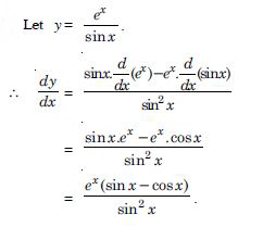
Differentiate the following functions with respect to x sin (x2 + 5)

Answer:

Let y = sin (x2 + 5).
Put x2 + 5 = t.
y = sin t, where t = x2 + 5.

= cos t. (2x + 0) = 2x cos (x2 + 5).

Question 39:

Differentiate the following functions with respect to x cos (sin x)

Answer:

Let y = cos (sin x).
Put sin x = t.
y = cos t, where t = sin x.

= (– sin t).(cos x)
= – [sin (sin x)] cos x.

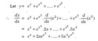
Question 40:

Differentiate the following functions with respect to x sin (ax + b)

Answer:

Let y = sin (ax + b).
Put ax + b = t.
y = sin t, where t = ax + b.

= a cos (ax + b).

Question 41:

Differentiate the following functions with respect to x

Answer:

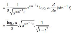
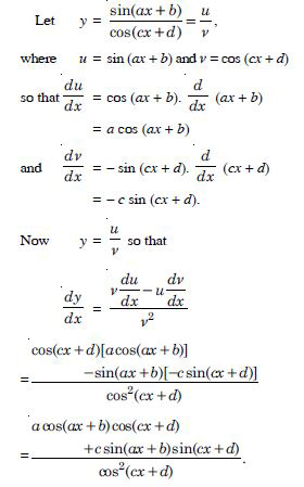
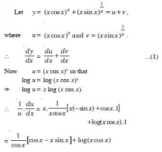
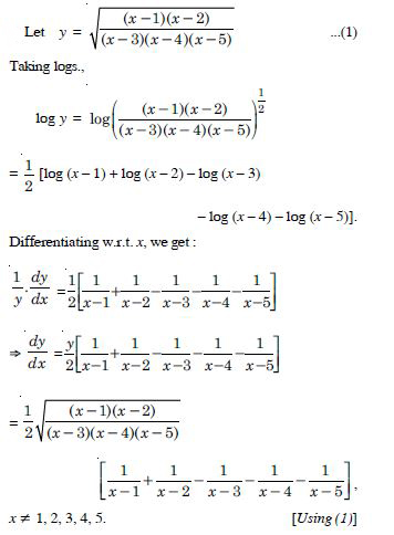
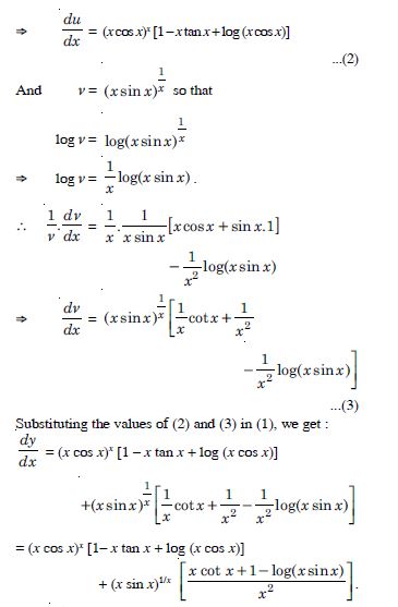
Question 42:

Differentiate the following functions with respect to x

Answer:

Question 43:

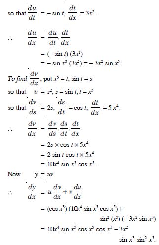
Differentiate the following functions with respect to x cos x3. sin2 (x5)

Answer:

Let y = cos x3.sin2 (x5) = uν,
where u = cos x3 and ν = sin2 (x5).

Question 44:

Differentiate the following functions with respect to x

Answer:

Question 45:

Differentiate the following functions with respect to x

Answer:

Question 46:

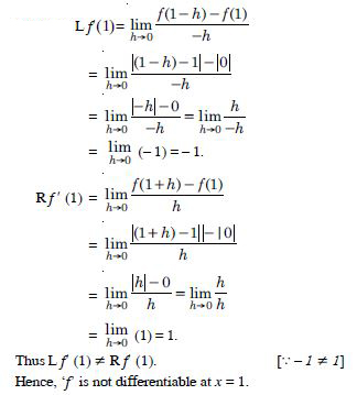
Prove the function ‘f’ given by :
f (x) = |x – 1|, x R
is not differentiable at x = 1.

Answer:

Question 47:

Prove that the greatest integer function defined by [x], 0 < x < 3 is not differentiable at x = 1 and x = 2.

Answer:

Let f (x) = [x].

Question 48:

2x + 3y = sin x

Answer:

We have : 2x + 3y = sin x.

Question 49:

2x + 3y = sin y

Answer:

We have : 2x + 3y = sin y.

Question 50:

ax + by2 = cos y

Answer:

We have : ax + by2 = cos y.

Question 51:

xy + y2 = tan x + y

Answer:

We have : xy + y2 = tan x + y.

Question 52:

x2 + xy + y2 = 100

Answer:

We have : x2 + xy + y2 = 100.

Question 53:

x3 + x2y + xy2 + y3 = 81

Answer:

We have : x3 + x2y + xy2 + y3 = 81.

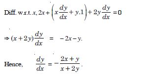
Question 54:

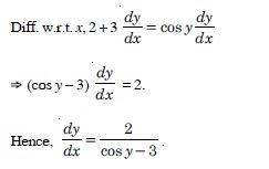
sin2 y + cos xy = π

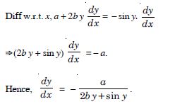
Answer:

We have : sin2 y + cos xy = π.
Diff. w.r.t. x,

Question 55:

sin2 x + cos2 y = 1.

Answer:

We have : sin2 x + cos2 y = 1.
Diff. w.r.t. x,

Question 56:

Answer:

Question 57:

Answer:

Question 58:

Answer:

Question 59:

Answer:

Question 60:

Answer:

Question 61:

Answer:

Question 62:

Answer:

Question 63:

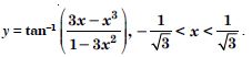
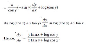
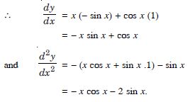
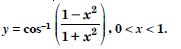
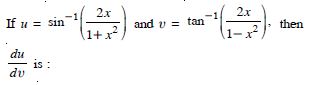
Differentiate the following w.r.t. x :

Answer:

Question 64:

Differentiate the following w.r.t. x :

Answer:

Question 65:

Differentiate the following w.r.t. x :

Answer:

Question 66:

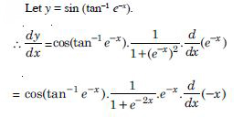
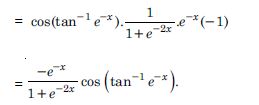
Differentiate the following w.r.t. x :
sin (tan–1 e–x

Answer:

Question 67:

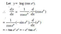
Differentiate the following w.r.t. x :
log (cos ex)

Answer:

Question 68:

Differentiate the following w.r.t. x :

Answer:

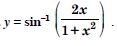
Question 69:

Differentiate the following w.r.t. x :

Answer:

Question 70:

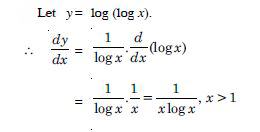
Differentiate the following w.r.t. x :
log (log x), x > 1

Answer:

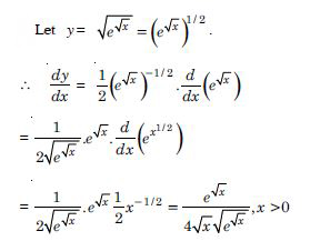
Question 71:

Differentiate the following w.r.t. x :

Answer:

Question 72:

Differentiate the following w.r.t. x :
cos (log x + ex), x > 0.

Answer:

Question 73:

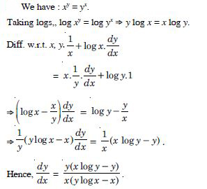
Differentiate the functions given in w.r.t. x :
cos x. cos 2x. cos 3x.

Answer:

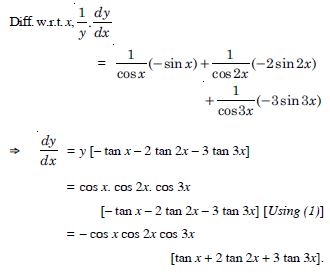
Let y = cos x.cos 2x.cos 3x.
Taking logs.,
log y = log (cos x. cos 2x.cos 3x) ...(1)
= log cos x + log cos 2x + log cos 3x.

Question 74:

Differentiate the functions given in w.r.t. x :

Answer:

Question 75:

Differentiate the functions given in w.r.t. x :
(log x)cos x.

Answer:

Question 76:

Differentiate the functions given in w.r.t. x :
xx – 2sin x

Answer:

Question 77:

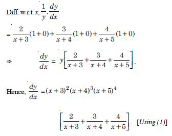
Differentiate the functions given in w.r.t. x :
(x + 3)2.(x + 4)3.(x + 5)4.

Answer:

Let y = (x + 3)2 (x + 4)3 (x + 5)4 ...(1)
Taking logs., log y = log (x + 3)2 (x + 4)3(x + 5)4
= 2 log (x + 3) + 3 log (x + 4) + 4 log (x + 5).

Question 78:

Differentiate the functions given in w.r.t. x :

Answer:

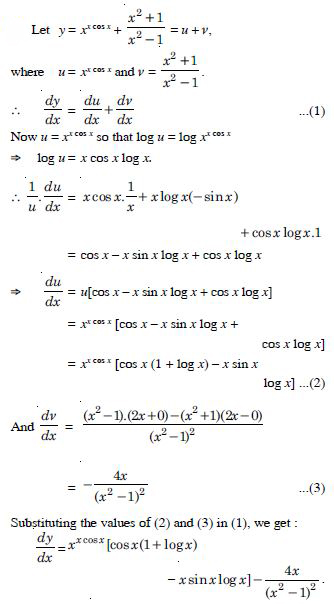
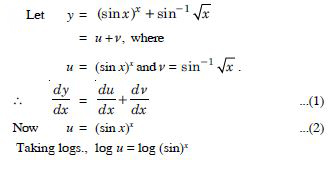
Question 79:

Differentiate the functions given in w.r.t. x :
(log x )x + xlog x

Answer:

Question 80:

Differentiate the functions given in w.r.t. x :

Answer:

Question 81:

Differentiate the functions given in w.r.t. x :
xsin x + (sin x)cosx

Answer:

Question 82:

Differentiate the functions given in w.r.t. x :

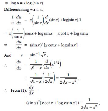
Answer:

Question 83:

Differentiate the functions given in w.r.t. x :

Answer:

Question 84:

xy + yx = 1.

Answer:

We have : xy + yx = 1.
Putting xy = u and yx = ν, we get :
u + ν= 1

Question 85:

yx = xy.

Answer:

Question 86:

(cos x)y = (cos y)x.

Answer:

Question 87:

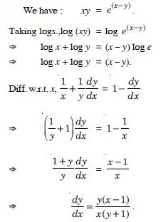
xy = e(x – y).

Answer:

Question 88:

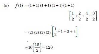
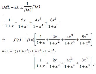
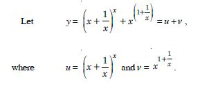
Find the derivative of the function given by :
f (x) = (1 + x) (1 + x2) (1 + x4) (1 + x8) and hence find f ′ (1).

Answer:

(i) We have :
f(x) = (1 + x) (1 + x2) (1 + x4) (1 + x8) ...(1)
Taking logs., log f(x)
= log (1 + x) + log (1 + x2) + log (1 + x4) + log (1 + x8).

Question 89:

Differentiate (x2 – 5x + 8) (x3 + 7x + 9) in three ways
mentioned below :
(i) by using product rule
(ii) by expanding the product to obtain a single polynomial
(iii) by logarithmic differentiation.
Do they give the same answer ?

Answer:

We have :
f(x) = (x2 – 5x + 8) (x3 + 7x + 9) ...(1)
(i) By Product Rule :

= (x2 – 5x + 8) (3x2 + 7)
+ (x3 + 7x + 9) (2x – 5)
= 3x4 –15x3 + 24x2 + 7x2 – 35x + 56 + 2x4
+ 14x2 + 18x – 5x3 – 35x – 45
= 5x4 – 20x3 + 45x2 – 52x + 11.
(ii) By Expansion :
f(x) = x5 + 7x3 + 9x2 – 5x4 – 35x2 – 45x
+ 8x3 + 56x + 72
= x5 – 5x4 + 15x3 – 26x2 + 11x + 72.
f′(x) = 5x4 – 20x3 + 45x2 – 52x + 11.
(iii) By Logarithmic Differentiation :
Taking logs., on both sides of (1),
log f (x) = log (x2 – 5x + 8) (x3 + 7x + 9)
= log (x2 – 5x + 8) + log (x3 + 7x + 9).

= (2x – 5) (x3 + 7x + 8) + (3x2 + 7) (x2 – 5x + 8)
= 5x4 – 20x3 + 45x2 – 52x + 11.
Hence, the three answers are the same.

Question 90:

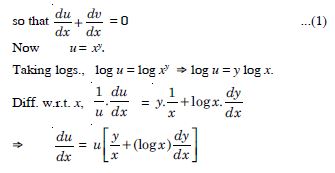
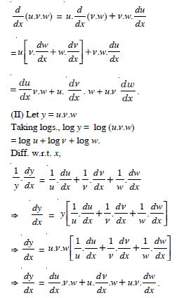
If u, ν, w are differentiable functions of x, then show that :

in two ways by repeated application of product rule, second by logarithmic differentiation.

Answer:

Question 91:

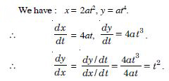
If x and y are connected parametrically by the equations given below without eliminating the parameters.

x = 2at2, y = at4.

Answer:

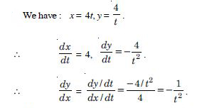
Question 92:

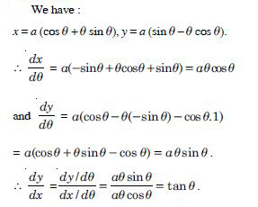
If x and y are connected parametrically by the equations given below without eliminating the parameters.

x = a cos θ, y = b cos θ.

Answer:

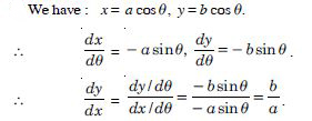
Question 93:

If x and y are connected parametrically by the equations given below without eliminating the parameters.

x = sin t, y = cos 2t.

Answer:

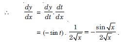
Question 94:

If x and y are connected parametrically by the equations given below without eliminating the parameters.

Answer:

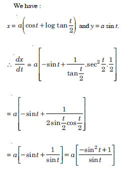
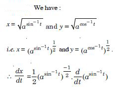
Question 95:

If x and y are connected parametrically by the equations given below without eliminating the parameters.

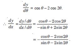
x = cos θ – cos 2θ, y = sin θ – sin 2θ.

Answer:

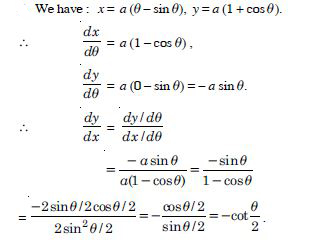
Question 96:

If x and y are connected parametrically by the equations given below without eliminating the parameters.

x = a (θ – sin θ), y = a (1 + cos θ).

Answer:

Question 97:

If x and y are connected parametrically by the equations given below without eliminating the parameters.

Answer:

Question 98:

If x and y are connected parametrically by the equations given in without eliminating the parameters.

Answer:

Question 99:

If x and y are connected parametrically by the equations given in without eliminating the parameters.

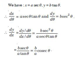
x = a sec θ , y = b tan θ.

Answer:

Question 100:

If x and y are connected parametrically by the equations given in without eliminating the parameters.

x = a (cos θ + θ sin θ), y = a (sin θθ cos θ).

Answer:

Question 101:

Answer:

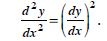
Question 102:

Find the second order derivative of the functions given in x2 + 3x + 2

Answer:

Let y = x2 + 3x + 2.

Question 103:

Find the second order derivative of the functions given in x20

Answer:

Let y = x20.

Question 104:

Find the second order derivative of the functions given in x cos x

Answer:

Let y = x cos x.

Question 105:

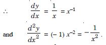
Find the second order derivative of the functions given in log x

Answer:

Let y = log x.

Question 106:

Find the second order derivative of the functions given in x3 log x

Answer:

Let y = x3 log x.

Question 107:

Find the second order derivative of the functions given in ex sin 5x

Answer:

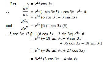
Question 108:

Find the second order derivative of the functions given in e6x cos 3x

Answer:

Question 109:

Find the second order derivative of the functions given in tan–1 x

Answer:

Question 110:

Find the second order derivative of the functions given in log (log x)

Answer:

Question 111:

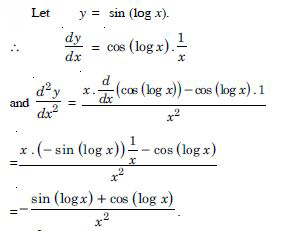
Find the second order derivative of the functions given in sin (log x).

Answer:

Question 112:

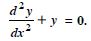
If = 5 cos x – 3 sin x, prove that :

Answer:

We have : y = 5 cos x – 3 sin x ...(1)

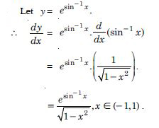
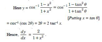
Question 113:

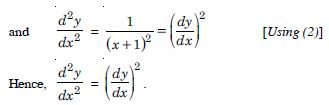
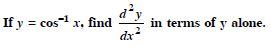
Answer:

We have :
y = cos–1 x
cos y = x ...(1)

Question 114:

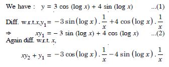
If y = 3 cos (log x) + 4 sin (log x), show that :
x2y2 + y1 + y = 0.

Answer:

x2y2 + xy1 = – (3 cos (log x) + 4 sin (log x))
= – y. [Using (1)]
Hence, x2y2 + xy1 + y = 0.

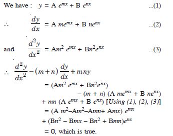
Question 115:

If y = A emx + B enx, show that :

Answer:

Question 116:

If y = 500 e7x + 600 e–7xm, show that :

Answer:

Question 117:

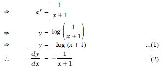
If ey (x + 1) = 1, show that :

Answer:

We have : ey (x + 1) = 1

Question 118:

If y = (tan–1 x)2, show that :
(x2 + 1)2 y2 + 2x (x2 + 1) y1 = 2.

Answer:

We have : y = (tan–1 x)2 ...(1)

Question 119:

Verify Rolle’s theorem for the function :
f (x) = x2 + 2x – 8, x [– 4, 2].

Answer:

We have : f (x) = x2 + 2x – 8.
(I) f (x) is continuous in [– 4, 2].
[ f (x) is a polynomial in x]
(II) f′ (x) = 2x + 2 ...(1)
f′ (x) exists for each x (– 4, 2).
(III) f (– 4) = (– 4)2 + 2 (– 4) – 8
= 16 – 8 – 8 = 0,
f (2) = (2)2 + 2 (2) – 8
= 4 + 4 – 8 = 0.
f (– 4) = f (2).
Thus all the conditions of Rolle’s Theorem are satisfied.
There exists at least one number ‘c’ between – 4 and 2
s.t. f′ (c) = 0.
But f′ (c) =2c + 2 [Putting x = c in (1)]
f′ (c) = 0 gives 2c + 2 = 0
c = – 1 (– 4, 2).
Hence, the theorem is verified and c = – 1.

Question 120:

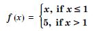
Examine if Rolle’s theorem is applicable to any of the following functions. Can you say something about the converse of Rolle’s theorem from these examples ?
(i) f (x) = [x] for x [5, 9]
(ii) f (x) = [x] for x [– 2, 2]
(iii) f (x) = x2 – 1 for x [1, 2].

Answer:

(a) (i) We have :
f (x) = [x] for x [5, 9].
f(x) is neither continuous nor derivable at x = 6, 7, 8.
Hence, Rolle’s Theorem is not applicable.
(ii) We have f (x) = [x] for x [– 2, 2].
f (x) is neither continuous nor derivable at x = – 1, 0, 1.
Hence, Rolle’s theorem is not applicable.
(iii) We have : f (x) = x2 – 1 for x [1, 2].
(I) f (x) is continuous in [1, 2].
[ f (x) is a polynomial in x]
(II) f′ (x) = 2x, which exists in (1, 2)
f (x) is derivable in (1, 2).
(III) f (1) = 1 – 1 = 0, f (2) = 4 – 1 = 3
f (1) f (2).
Hence, Rolle’s Theorem is not applicable.
(b) Conversely :
If f′ (c) = 0, c [a, b], the conditions of Rolle’s theorem are not true.

Question 121:

If f : [– 5, 5] R is differentiable function and if f′ (x) does not vanish anywhere, then prove that f (– 5) f (5).

Answer:

Let us assume that f (– 5) = f (5).
Then ‘f’ satisfies all the conditions of Rolle’s Theorem in [– 5, 5].
[ Differentiability Continuity]
Then there must exist at least one c (– 5, 5) such that f′ (c) = 0.
Thus our supposition is wrong.
Hence, f (– 5) f (5).

Question 122:

Verify Mean Value Theorem. if f (x) = x2 – 4x – 3 in the interval [a, b], where a = 1 and b = 4.

Answer:

Solution. We have :
f (x) = x2 – 4x – 3 ...(1)
(I) f (x) is continuous in [1, 4].
[ f (x) is a polynomial in x]
(II) f′ (x) = 2x – 4 ...(2)
Thus f′ (x) exists for each x in (1, 4).
Thus both the conditions of Mean Value Theorem are satisfied.
There exists at least one number ‘c’ between a and b

But f′(c) = 2c – 4 [Putting x = c in (2)]
f (a) = f (1) = 1 – 4 – 3 = – 6
f (b) = f (4) = 16 – 16 – 3 = – 3.

2c – 4 = 1
2c = 5

Question 123:

Verify Mean Value Theorem if :
f (x) = x3 – 5x2 – 3x in the interval [a, b], where
a = 1 and b = 3. Find all c (1, 3) for which f ′(c) = 0.

Answer:

(i) We have :
f (x) = x3 – 5x2 – 3x ...(1)
(I) Since f (x) is a polynomial in x,
it is continuous in [1, 3].
(II) f′ (x) = 3x2 – 10x – 3 ...(2),
which exists in (1, 3).
Thus both the conditions of Mean Value Theorem are satisfied.
There exists at least one point ‘c’ in (1, 3) such that :

But f′ (c) = 3c2 – 10c – 3,
f (a) = f (1) = 1 – 5 – 3 = – 7
and f (b) = f (3) = 27 – 5 (9) – 3 (3)
= 27 – 45 – 9 = – 27.

3c2 – 10c – 3 = – 10
3c2 – 10c + 7 = 0.

Question 124:

Examine the applicability of Mean Value Theorem for the following functions :
(i) f (x) = [x] for x [5, 9]
(ii) f (x) = [x] for x [– 2, 2]
(iii) f (x) = x2 – 1 for x [1, 2].

Answer:

(i) We have : f (x) = [x] ; x [5, 9].
Clearly f (x) is neither continuous nor derivable at integral points of the interval [5, 9],
i.e. at x = 5, 6, 7, 8 and 9.
Thus f (x) is neither continuous in [5, 9] nor derivable in (5, 9).
Hence, Mean Value Theorem is not applicable to f (x) in [5, 9].
(ii) We have : f (x) = [x], x [– 2, 2].
Clearly f (x) is neither continuous nor derivable. at x = – 2, – 1, 0, 1, 2.
Thus f (x) is neither continuous in [– 2, 2] nor derivable in (– 2, 2).
Hence, Mean value Theorem is not applicable to f (x) in [– 2, 2].
(iii) We have f (x) = x2 – 1.
It is continuous in [1, 2].
[ f (x) is a polynomial in x]
(II) f′ (x) = 2x, which exists in (1, 2).
Thus both the conditions of Mean Value Theorem are satisfied.
There exists at least one point ‘c’ in (1, 2) such that :

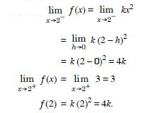
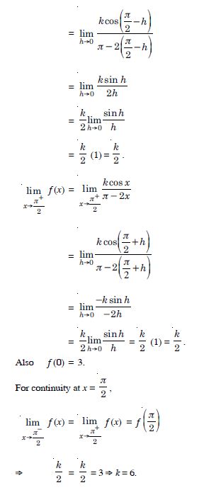
Question 125:

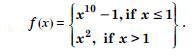
continuous at x = 0, then the value of ‘k’ is:

  1. 3
  2. 2
  3. 1
  4. 1.5
Answer:

2

Question 126:

The function f(x) = [x], where [x] denotes the greatest integer function, is continuous at :

  1. 4
  2. –2
  3. 1
  4. 1.5
Answer:

1.5

Question 127:

The value of ‘k’ which makes the function defined by :

continuous at x = 0 is :

  1. 8
  2. 3
  3. –1
  4. None of these
Answer:

None of these

Question 128:

Differential coefficient of sec (tan–1 x) w.r.t. x is :

Answer:

Question 129:

Answer:

Question 130:

Answer:

Question 131:

  1. x
  2. 1
Answer:

1

Question 132:

Answer:

Question 133:

  1. 1
  2. -1
Answer:

1

Question 134:

The value of ‘c’ in Mean Value Theorem for the function f(x) = x (x – 2), x [1, 2] is :

Answer: