NCERT Solutions for Class 10 Science Chapter 8 - Human Eye and Colourful World?

Question 1:

The human eye can focus object at different distances by adjusting the focal length of the eye lens. This is due to

  1. presbyopia
  2. accommodation
  3. near-sightedness
  4. far-sightedness
Answer:

(b) accommodation

Question 2:

The human eye forms the image of an object at its

  1. cornea
  2. iris
  3. pupil
  4. retina
Answer:

(d) retina

Question 3:

The least distance of distinct vision for a young adult with normal vision is about

  1. 25 m
  2. 2.5 cm
  3. 25 cm
  4. 2.5 m
Answer:

(c) 25 cm

Question 4:

The change in focal length of an eye lens is caused by the action of the

  1. pupil
  2. retina
  3. ciliary muscles
  4. iris
Answer:

(c) ciliary muscles

Question 5:

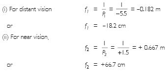
A person needs a lens of power –5.5 D for correcting his distant vision. For correcting his near vision, he needs a lens of power +1.5 D. What is the focal length of the lens required for correcting
(i) distant vision and (ii) near vision?

Answer:

MBD_SR_Class10_Sci_Ch11_155

Question 6:

The far point of a myopic person is 80 cm in front of the eye. What is the nature and power of the lens required to correct the problem?

Answer:

MBD_SR_Class10_Sci_Ch11_156

Question 7:

Make a diagram to show how hypermetropia is corrected. The near point of hypermetropic eye is 1 m. What is the power of the lens required to correct this defect? Assume that the near point of the normal eye is 25 cm.

Answer:

Hypermetropia: A person with hypermetropia can see distant objects clearly but cannot see nearby objects distinctly. The near point for the person having hypermetropia is farther away from the normal near point of 25 cm. This defect can be corrected by using a convex lens of appropriate power.
MBD_SR_Class10_Sci_Ch11_157
Numerical:
u = –25 cm, v = –1 m = –100 cm
MBD_SR_Class10_Sci_Ch11_158 \ Power = +3 D The lens required is convex lens of power +3 D.

Question 8:

Why is a normal eye not able to see clearly the objects placed closer than 25 cm?

Answer:

For seeing near objects, the ciliary muscles contract to make the lens thicker near middle so as to reduce the focal length of the eye lens. But ciliary muscles cannot be contracted beyond certain limit and hence we cannot see clearly the objects closer than 25 cm.

Question 9:

What happens to the image distance in the eye when we increase the distance of an object from the eye?

Answer:

Image distance (v) remains the same. When the object is moved, the focal length of eye lens changes due to the action of ciliary muscles so as to satisfy the relation
MBD_SR_Class10_Sci_Ch11_159

Question 10:

Why do stars twinkle?

Answer:

Stars twinkle due to refraction of the light coming from stars. The light from stars on entering the earth’s atmosphere undergoes refraction continuously before it reaches the earth. The stars are very distant objects and may be considered as point sources. The refractive index of the air changes from time to time due to the change in density of air. Due to the change in the density of earth’s atmosphere, the path of rays from stars continuously changes. The apparent position of the stars continuously changes due to change in refractive index of the atmosphere. Thus, the apparent position of the stars is not steady and move continuously giving a twinkling effect.

Question 11:

Explain why the planets do not twinkle.

Answer:

Since planets are quite nearer to the earth in comparison to the stars, they do not act as point sources but behave like extended sources. Planets may be considered as a collection of a large number of point-sized sources of light. The net deviation in the amount of light entering our eyes from different point sources is zero. Thus, the apparent shift in their position cannot be observed and therefore, there is no net twinkling of planets.

Question 12:

Why does the sun appear reddish early in the morning as well as in the evening?

Answer:

The earth is surrounded by an envelope of gases called the atmosphere. At the time of sunrise (or at sunset), light has to travel greater thickness (AB at sunrise and BC at sunset) than what it covers, when sun is overhead at noon (It has to travel only DB). Asthe intensity of scattering   MBD_SR_Class10_Sci_Ch11_161 the wavelength of the blue colour is about half that of the red, blue light is scattered nearly 22 = 16 times than that of red. As a result, the sun appears red at sunrise or at sunset due to negligible scattering of red light in comparison to blue light.
MBD_SR_Class10_Sci_Ch11_162

Question 13:

Why does the sky appear dark instead of blue to an astronaut?

Answer:

The atmosphere exists only up to some height. Above that height there is no atmosphere to scatter the light. Due to the absence of scattering of light, the sky appears to be perfectly black to astronauts.