NCERT Solutions for Class 10 Science Hindi Chapter 10 - Light Reflection and Refraction

Question 1:

अवतल दर्पण के मुख्य फोकस की परिभाषा लिखिए।

Answer:

अवतल दर्पण का मुख्य फोकस, मुख्य अक्ष पर एक ऐसा बिंदु है जहाँ पर दर्पण के मुख्य अक्ष के समांतर प्रकाश किरण परावर्तन के पश्चात मिलती है। इसे ‘F’ से दर्शाते हैं।
MBD_SR_VIGYAN_GXH_img58

Question 2:

एक गोलीय दर्पण की वक्रता त्रिज्या 20 cm है। इसकी फोकस दूरी क्या होगी?

Answer:

MBD_SR_VIGYAN_GXH_img59

Question 3:

उस दर्पण का नाम बताइए जो बिंब का सीधा तथा आवर्धित प्रतिबिंब बना सके?

Answer:

अवतल दर्पण।

Question 4:

हम वाहनों में उत्तल दर्पण को पश्च-दृश्य दर्पण के रूप में वरीयता क्यों देते हैं?

Answer:

उत्तल दर्पणों का उपयोग सामान्यत: वाहनों के पश्च-दृश्य दर्पणों के रूप में करते हैं। इनमें ड्राइवर अपने पीछे के वाहनों को देख सकते हैं जिससे वे सुरक्षित रूप से वाहन चला सकें। उत्तल दर्पणों को इसलिए भी प्राथमिकता देते हैं, क्योंकि ये सदैव सीधा, प्रतिबिंब बनाते हैं लेकिन वह छोटा होता है। इनका दृष्टि क्षेत्र भी बहुत अधिक है क्योंकि ये बाहर की ओर वक्रित होते हैं। समतल दर्पण की तुलना में उत्तल दर्पण ड्राइवर को अपने पीछे के बहुत बड़े क्षेत्र को देखने में समर्थ बनाते हैं। इसलिए वे बेहतर हैं।

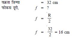
Question 5:

उस उत्तल दर्पण की फोकस दूरी ज्ञात कीजिए जिसकी वक्रता-त्रिज्या 32 cm है?

Answer:

MBD_SR_VIGYAN_GXH_img60

Question 6:

कोई अवतल दर्पण अपने सामने 10 cm दूरी पर रखे किसी बिंब का तीन गुणा आवर्धित (बड़ा) वास्तविक प्रतिबिंब बनाता है। प्रतिबिंब दर्पण से कितनी दूरी पर है?

Answer:

MBD_SR_VIGYAN_GXH_img61

Question 7:

वायु में गमन करती प्रकाश की एक किरण जल में तिरछी प्रवेश करती है। क्या प्रकाश किरण अभिलंब की ओर झुकेगी अथवा अभिलंब से दूर हटेगी? बताइए क्यों?

Answer:

वायु में गमन करती प्रकाश की एक किरण जल में तिरछी प्रवेश करती है, तब वह अभिलंब की ओर झुक जाती है। यह इसलिए होता है क्योंकि वायु विरल तथा जल सघन माध्यम है। विरल माध्यम में प्रकाश की चाल सघन माध्यम की अपेक्षा अधिक होती है। अत: विरल माध्यम से सघन माध्यम में गमन करने वाली प्रकाश की किरण धीमी हो जाती है तथा अभिलंब की ओर झुक जाती है।

Question 8:

प्रकाश वायु से 1.50 अपवर्तनांक की काँच की प्लेट में प्रवेश करता है। काँच में प्रकाश की चाल कितनी है ? निर्वात में प्रकाश की चाल 3 × 108 m/s है।

Answer:

MBD_SR_VIGYAN_GXH_img62

Question 9:

सारणी से अधिकतम प्रकाशिक घनत्व के माध्यम को ज्ञात कीजिए। न्यूनतम प्रकाशिक घनत्व के माध्यम को भी ज्ञात कीजिए।

Answer:

अधिकतम प्रकाशित घनत्व का माध्यम है हीरा क्योंकि इसका अपवर्तनांक सबसे अधिक है = 2.42
न्यूनतम प्रकाशित घनत्व का माध्यम है वायु और वायु का अपवर्तनांक सबसे कम है और वह है = 1.0003

Question 10:

आपको किरोसिन, तारपीन का तेल तथा जल दिए गए हैं। इनमें से किस में प्रकाश सबसे अधिक तीव्र गति से चलता है? सारणी में दिए गए आंकड़ों का उपयोग कीजिए।

Answer:

हमें पता है कि किसी माध्यम का अपवर्तनांक होता है,
MBD_SR_VIGYAN_GXH_img63

Question 11:

हीरे का अपवर्तनांक 2.42 है। इस कथन का क्या अभिप्राय है?

Answer:

हीरे का अपवर्तनांक 2.42 होने से अभिप्राय है कि वायु में प्रकाश की चाल और हीरे में प्रकाश की चाल का अनुपात 2.42 जो हमेशा समान रहता है। इसे इस प्रकार भी कह सकते हैं कि हीरे में प्रकाश की चाल निर्वात में प्रकाश की चाल की
MBD_SR_VIGYAN_GXH_img46 गुनी होती है।

Question 12:

किसी लेंस की 1D क्षमता को परिभाषित कीजिए।

Answer:

1D या एक डाइऑप्टर उस लैंस की क्षमता होती है जिसकी फोकस दूरी एक मीटर या 100 सेमी० होती है।

Question 13:

कोई उत्तल लेंस, किसी सुई का वास्तविक तथा उल्टा प्रतिबिंब उस लेंस से 50 cm दूर बनाता है। यह सुई, उत्तल लेंस के सामने कहाँ रखी है, यदि इसका प्रतिबिंब उसी साइज़ का बन रहा है जिस साइज़ का सुई है। लेंस की क्षमता भी ज्ञात कीजिए।

Answer:

MBD_SR_VIGYAN_GXH_img65

Question 14:

2m फोकस दूरी वाले किसी अवतल लेंस की क्षमता ज्ञात कीजिए।

Answer:

MBD_SR_VIGYAN_GXH_img66