NCERT Solutions for Class 10 Math Chapter 3 - Pair of Linear Equations in Two Variables

Students can brush up their Math skills with the help of NCERT Solutions available on Aasoka. The solutions cover the entire chapter in an easy-to-understand and simple language. Students, with the help of NCERT Solutions for Class 10th, will be able to get an understanding of the “Pair of Linear Equations in Two Variables”. Math is all about practice. As a famous phrase go “Practice makes a man perfect”. Therefore, to master your mathematical skills, you need to practice, practice, and practice.

In the chapter “Pair of Linear Equations in Two Variables”, there is an explanation of what is a linear equation in two variables and the steps to solve them. In the very first exercise, students get to learn how to represent a situation graphically and algebraically. Then the next exercise teaches how to solve linear equations using the graphical method. Exercises 3.3, 3.4, 3.5, and 3.6 describe the various methods of solving the pair of linear equations. In these exercises, the elimination method, algebraic method, substitution method, and cross-multiplication method are taught. Lastly, in exercise 3.7, all exercise questions are included.

Question 1:

Aftab tells his daughter, ‘‘Seven years ago, Iwas seven times as old as you were then. Also, three years from now, I shall be three times as old as you will be’’ (Isn’t this interesting?) Represent this situation algebraically and graphically.

Answer:

Let Aftab’s present age = x years and Aftab’s
daughter’s present age = y years
Algebraical situation
According to 1st condition,
x - 7 = 7 (y - 7)
or x - 7 = 7y - 49
or x - 7y + 42 = 0
According to 2nd condition,
x + 3 = 3 (y + 3)
or x + 3 = 3y + 9
or x - 3y - 6 = 0
∴ Pair of linear equation in two variables are
x - 7y + 42 = 0
and x - 3y - 6 = 0
Graphical situation
x - 7y + 42 = 0
x = 7y - 42 ...(1)
Putting y = 5 in (1), we get
x = 7 x 5 - 42
= 35 - 42 = - 7
Putting y = 6 in (1), we get:
x = 7 x 6 - 42
= 42 - 42 = 0
Putting y = 7 in (i), we get
x = 7 x 7 - 42
= 49 - 42 = 7

Plotting the points (-7, 5), (0, 6), (7, 7) and
drawing a line joining them, we get the graph
of the equation x - 7y + 42 = 0.
x - 3y - 6 = 0
x = 3y + 6 ...(2)
Putting x = 0 in (2), we get
0 = 3 x y + 6
y = -2
Putting x = 3 in (2), we get
3 = 3 x y + 6
y = -1
Putting x = 6 in (2), we get
6 = 3 x y + 6
y = 0

Plotting the points (0, -2), (3, -1), (6, 0) and
drawing a line joining them, we get the graph
of the equation x - 3y - 6 = 0
Hence, we get the graphical representation of
the situation.
We find that both the lines intersect at the
point (42, 12); therefore, x = 42, y = 12 is the
solution of the given system of equations.

Question 2:

The coach of a cricket team buys 3 bats and 6 balls for ₹3900. Later, she buys another bat and 3 more balls of the same kind for ₹1300. Represent this situation algebraically and geometrically.

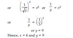
Answer:

Let cost of one bat = x `
Cost of one ball= y `
Algebraical situation
According to 1st condition,
3x + 6y = 3900
According to 2nd condition,
1x + 3y = 1300
∴ Pair of linear equations in two variables are:
3x + 6y = 3900
and x + 3y = 1300
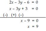
Graphical situation
3x + 6y = 3900
or x + 2y = 1300
or x = 1300 - 2y ....(1)
Putting y = 0 in (1), we get
x = 1300 - 2 × 0
x = 1300
Putting y = 500 in (1), we get
x = 1300 - 2 × 500
= 1300 - 1000 = 300
Putting y = 650 in (1), we get
x = 1300 - 2 × 650
= 1300 - 1300 = 0

Plotting the points A (1300, 0), B (300, 500)
and C (0, 650) drawing a line joining them we get the graph of the equation 3x + 6y =3900
x + 3y = 1300
x = 1300 - 3y ...(2)
Putting y = 0 in (2), we get
x = 1300 - 3 × 0 = 1300
Putting y = 500 in (2), we get:
x = 1300 - 3 × 500
= 1300 - 1500 = -200
Putting y = 300 in (2), we get:
x = 1300 - 3 × 300
= 1300 - 900 = 400

Plotting the points A (1300, 0), E (-200, 500),
F (400, 300) and drawing a line joining them
we get the graph of the equation.
x + 3y = 1300
From the graph it is clear that the two lines
intersect at A (1300, 0).
Hence x = 1300 and y = 0 is the solution of
given pair of linear equations.

Question 3:

The cost of 2 kg of apples and 1 kg of grapes on a day was found to be ₹160. After a month, the cost of 4 kg of apples and 2 kg of grapes is ₹300. Represent the situation algebraically and geometrically.

Answer:

Let cost of 1 kg apples = ₹x
Cost of 1 kg grapes = ₹y
Algebraical situation
According to 1st condition,
2x + 1y = 160

Question 4:

Form the pair of linear equations in the following problems, and find their solutions graphically.

  1. 10 students of Class X took part in a Mathematics quiz. If the number of girls is 4 more than the number of boys, find the number of boys and girls who took part in the quiz.
  2. 5 pencils and 7 pens together cost ₹50, whereas 7 pencils and 5 pens together cost ₹46. Find the cost of one pencil and that of one pen.
Answer:

(i) Let the number of boys in the quiz = x
and the number of girls in the quiz = y
Total number of students took part in
quiz = 10
∴ x + y = 10
or x + y - 10 = 0
According to question,
y = x + 4
or x - y + 4 = 0
Now, draw the graph of linear equations
x + y = 10
and x = y - 4
x + y = 10
or x = 10 - y ...(1)
Putting y = 0 in (1), we get
x = 10 - 0 = 10
Putting y = 7 in (1), we get
x = 10 - 7 = 3
Putting y = 10 in (1), we get
x = 10 - 10 = 0

Question 5:

Answer:

Question 6:

Answer:

Question 7:

Answer:

Question 8:

Answer:

Question 9:

Answer:

Question 10:

Answer:

Question 11:

Answer:

Question 12:

Answer:

Question 13:

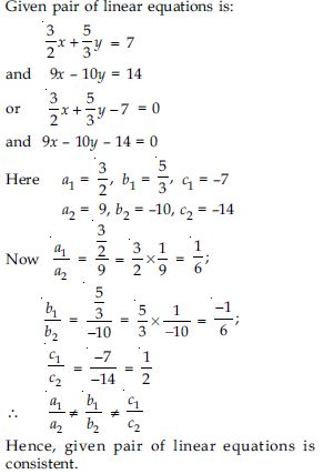
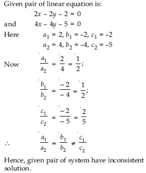
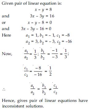
Which of the following pairs of linear equations are consistent/inconsistent? If consistent, obtain the solution graphically:

Answer:

Question 14:

Which of the following pairs of linear equations are consistent/inconsistent? If consistent, obtain the solution graphically:

Answer:

Question 15:

Which of the following pairs of linear equations are consistent/inconsistent? If consistent, obtain the solution graphically:

Answer:

Question 16:

Which of the following pairs of linear equations are consistent/inconsistent? If consistent, obtain the solution graphically:

Answer:

Question 17:

Half the perimeter of a rectangular garden, whose length is 4 m more than its width is 36 m. Find the dimensions of the garden.

Answer:

Question 18:

Given the linear equation 2x + 3y - 8 = 0, write another linear equation in two variables such that the geometrical representation of the pair so formed is intersecting lines.

Answer:

For intersecting lines
Given linear equation is
2x + 3y - 8 = 0 ....(1)
There are many linear equation in two variables which satisfies the condition of intersecting lines i.e.,

Question 19:

Given the linear equation 2x + 3y - 8 = 0, write another linear equation in two variables such that the geometrical representation of the pair so formed is parallel lines.

Answer:

For parallel lines

Question 20:

Given the linear equation 2x + 3y - 8 = 0, write another linear equation in two variables such that the geometrical representation of the pair so formed is coincident lines.

Answer:

For coincident lines
Given linear equation is
2x + 3y - 8 = 0 ...(1)

Now, draw the graph of linear equations (1)
and (7).
Consider linear equation (7)
6x + 9y - 24 = 0
or 3 [2x + 3y - 8] = 0
or 2x + 3y - 8 = 0
∴ The points of both are same and line of both equations are same.

Question 21:

Draw the graphs of the equations x - y + 1 = 0 and 3x + 2y - 12 = 0. Determine the coordinates of the vertices of the triangle formed by these lines and the x-axis and shade the triangular region.

Answer:

Consider the pair of linear equation
x - y + 1 = 0
and 3x + 2y - 12 = 0
x - y + 1 = 0
or x = y -1 ...(1)
Putting y = 0 in (1), we get
x = 0 - 1 = -1
Putting y = 3 in (1), we get
x = 3 - 1 = 2
Putting y = 1 in (1), we get
x = 1 - 1 = 0

Question 22:

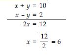
Solve the following pair of linear equations by the substitution method:
x + y = 14
x - y = 4

Answer:

Given pair of linear equations
x + y = 14 ...(1)
and x - y = 4 ...(2)
From (2), x = 4 + y ...(3)
Substitute this value of x in equation (1), we
get
4 + y + y = 14
or 2y = 14 - 4
or 2y = 10

Substitute this value of y in equation (3), we get
x = 4 + 5 = 9
Hence, x = 9 and y = 5

Question 23:

Solve the following pair of linear equations by the substitution method:

Answer:

Question 24:

Solve the following pair of linear equations by the substitution method:
3x - y = 3
9x - 3y = 9

Answer:

Given pair of linear equations is
3x - y = 3 ...(1)
and 9x - 3y = 9 ...(2)
From (1),
3x - 3 = y
or y = 3x - 3 .....(3)
Substitute this value of y in equation (2), we
get
9x - 3 (3x - 3) = 9
or 9x - 9x + 9 = 9
or 9 = 9
This statement is true for all values of x.
However, we do not get a specific value of x as a solution. Therefore we cannot obtain a specific value of y. This situation arises because both the given equations are same.
Therefore, equations (1) and (2) have infinitely many solutions.

Question 25:

Solve the following pair of linear equations by the substitution method:
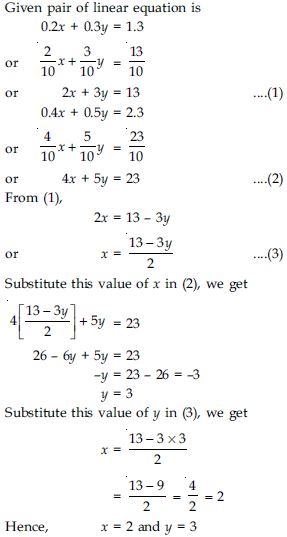
0.2x + 0.3y = 1.3
0.4x + 0.5y = 2.3

Answer:

Question 26:

Solve the following pair of linear equations by the substitution method:

Answer:

Question 27:

Solve the following pair of linear equations by the substitution method:

Answer:

Question 28:

Solve 2x + 3y = 11 and 2x - 4y = -24 and hence the value of ‘m’ for which y = mx + 3.

Answer:

Given pair of linear equations is:
2x + 3y = 11 ...(1)
and 2x - 4y = -24 ...(2)
From (2),
2x = 4y - 24
or 2x = 2[2y - 12]
or x = 2y - 12 ...(3)
Substitute this value of x in (1), we get
2 (2y - 12) + 3y = 11
or 4y - 24 + 3y = 11
or 7y = 11 + 24
or 7y = 35
or y = 35

Substitute this value of y in (3), we get
x = 2(5) - 12
= 10 - 12 = -2
Now, consider y = mx + 3
Substitute the value of x = -2, y = 5, we get
5 = m (-2) + 3
or 5 - 3 = -2m
or 2 = -2m
or -2m = 2
or m = -1
Hence, x = -2, y = 5 and m = -1

Question 29:

Form the pair of linear equations for the following problems and find their solution by substitution method.

The difference between two numbers is 26 and one number is three times the other. Find them.

Answer:

Let two numbers be x and y.
According to 1st condition,
x - y = 26 ...(1)
According to 2nd condition,
x = 3y ...(2)
Substitute this value of x in (1), we get
3y - y = 26
or 2y = 26

Substitute this value of y in (2), we get
x = 3 x 13 = 39
Hence, two numbers are 39, 13.

Question 30:

Form the pair of linear equations for the following problems and find their solution by substitution method.

The larger of two supplementary angles exceeds the smaller by 18 degrees. Find them.

Answer:

Let, required two supplementary angles are
x, y and x > y.
According to 1st condition,
x + y = 180 ...(1)
According to 2nd condition, x = y + 18 ...(2)
Substitute this value of x in (1), we get
y + 18 + y = 180
or 2y = 180 - 18
or 2y = 162

Substitute this value of y in (2), we get
x = 81 + 18 = 99
Hence, required angles are 99 ° , 81 ° .

Question 31:

Form the pair of linear equations for the following problems and find their solution by substitution method.

The coach of a cricket team buys 7 bats and 6 balls for ₹3800. Later, she buys 3 bats and 5 balls for ₹1750. Find the cost of each bat and each ball.

Answer:

Let cost of one bat = ₹x
and cost of one ball = ₹y
According to 1st condition,
7x + 6y = ₹3800 ...(1)
According to 2nd condition,
3x + 5y = ₹1750 ...(2)
From (1), 7x = 3800 - 6y

Question 32:

Form the pair of linear equations for the following problems and find their solution by substitution method.

The taxi charges in a city consist of a fixed charge together with the charge for the distance covered. For a distance of 10 km, the charge paid is ₹105 and for a journey of 15 km, the charge paid is ₹155. What are the fixed charges and the charge per km? How much does a person have to pay for travelling a distance of 25 km?

Answer:

Let the fixed charges for the taxi = ₹x
and charges for travelling one km = ₹y
According to 1st condition,
x + 10y = 105 ...(1)
According to 2nd condition,
x + 15y = 155 ...(2)
From (1), x = 105 - 10y ...(3)
Substitute the value of x in (2), we get
105 - 10y + 15y = 155
or 5y = 155 - 105
or 5y = 50

Substitute the value of y in (3), we get
x = 105 - 10 × 10
= 105 - 100 = 5
Hence, fixed charges for the taxi = ₹5
and charges for travelling one km = ₹10
Also, charges for travelling 25 km
= ₹(10 × 25) + ₹5
= ₹[250 + 5] = ₹255

Question 33:

Form the pair of linear equations for the following problems and find their solution by substitution method.

Answer:

Question 34:

Form the pair of linear equations for the following problems and find their solution by substitution method.

Five years hence, the age of Jacob will be three times that of his son. Five years ago, Jacob's age was seven times that of his son. What are their present ages?

Answer:

Let Jacob’s present age = x years
and Jacob son’s present age = y years
Five years hence
Jacob’s age = (x + 5) years
His son’s age = (y + 5) years
According to 1st condition,
x + 5 = 3 (y + 5)
or x + 5 = 3y + 15
or x = 3y + 15 - 5
or x = 3y + 10 ...(1)
Five years ago
Jacob’s age = (x - 5) years
His son’s age = (y - 5) years
According to 2nd condition,
x - 5 = 7 (y - 5)
or x - 5 = 7y - 35
or x - 7y = -35 + 5
or x - 7y = -30
Substitute the value of x from (1), we get
3y + 10 - 7y = -30
or -4y = -30 - 10
or -4y = -40
or y = 10
Substitute this value of y in (1), we get
x = 3 (10) + 10

Question 35:

Solve the following pair of linear equations by the elimination method and the substitution method:
x + y = 5 and 2x - 3y = 4

Answer:

Given pair of linear equations is:
x + y = 5 ..(1)
and 2x - 3y = 4 ...(2)

Question 36:

Solve the following pair of linear equations by the elimination method and the substitution method:
3x + 4y = 10 and 2x - 2y = 2

Answer:

Question 37:

Solve the following pair of linear equations by the elimination method and the substitution method:
3x - 5y - 4 = 0 and 9x = 2y + 7

Answer:

Given pair of linear equations is
3x - 5y - 4 = 0 ...(1)
and 9x = 2y + 7
or 9x - 2y - 7 = 0 ...(2)
Elimination method
Multiplying (1) by 3, we get
9x - 15y - 12 = 0 ...(3)
Now, (3) - (2) gives
9x - 15y - 12 = 0
9x - 2y - 7 = 0

Question 38:

Solve the following pair of linear equations by the elimination method and the substitution method:

Answer:

Question 39:

Form the pair of linear equations in the following problems, and find their solutions (if they exist) by the elimination method:

Answer:

Let numerator of fraction = x

Question 40:

Form the pair of linear equations in the following problems, and find their solutions (if they exist) by the elimination method: Five years ago, Nuri was thrice as old as Sonu. Ten years later, Nuri will be twice as old as Sonu. How old are Nuri and Sonu?

Answer:

Let Nuri’s present age = x years
Sonu’s present age = y years
Five years ago
Nuri’s age = (x - 5) years
Sonu’s age = (y - 5) years
According to 1st condition,
x - 5 = 3 (y - 5)
or x - 5 = 3y - 15
or x - 3y + 10 = 0 ...(1)
Ten years later
Nuri’s age = (x + 10) years
Sonu’s age = (y + 10) years
According to 2nd condition,
x + 10 = 2(y + 10)
or x + 10 = 2y + 20
or x - 2y - 10 = 0 ...(2)

or -y = -20
or y = 20
Substitute this value of y in (2), we get
x - 2 (20) - 0 = 0
or x - 40 - 10 = 0
or x = 50

Question 41:

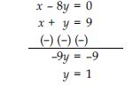
Form the pair of linear equations in the following problems, and find their solutions (if they exist) by the elimination method: The sum of the digits of a two-digit number is 9. Also, nine times this number is twice the number obtained by reversing the order of the digits. Find the number.

Answer:

Let units digit = x
Tens digit = y
∴ Required Number = 10y + x
According to 1st condition,
x + y = 9 ...(1)
On reversing
Units digit = y
Tens digit = x
∴ Number = 10x + y
According to 2nd condition,
9[10y + x] = 2[10x + y]
or 90y + 9x = 20x + 2y
or 90y + 9x - 20x - 2y =0
or - 11x + 88y =0
or x - 8y =0 ...(2)
Now, (2) - (1) gives

Substitute this value of y in (2), we get
x - 8 × 1 = 0
or x = 8
Hence, required number = 10y + x
= 10 × 1 + 8 = 18

Question 42:

Meena went to a bank to withdraw ₹2000. She asked the cashier to give her ₹50 and ₹100 notes only. Meena got 25 notes in all. Find how many notes of ₹50 and ₹100 she received.

Answer:

Let Meena received x notes of ₹ 50
also, Meena received y notes of ₹ 100
According to 1st condition,
x + y = 25 ...(1)
According to 2nd condition,
50x + 100y = 2000
or x + 2y = 40 ...(2)
Now, (2) - (1) gives
x + 2y = 40
x + y = 25

Substitute this value of y in (1), we get
x + 15 = 25
or x = 25 - 15 = 10
Hence, Meena received 10 notes of ₹50 and
15 notes of ₹100.

Question 43:

A lending library has a fixed charge for the first three days and an additional charge for each day thereafter. Saritha paid ₹27 for a book kept for seven days, while Susy paid ₹21 for the book she kept for five days. Find the fixed charge and the charge for each extra day.

Answer:

Question 44:

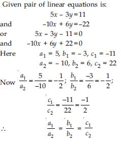
Which of the following pairs of linear equations has unique solution, no solution, or infinitely many solutions. In case there is a unique solution, find it by using cross multiplication method.
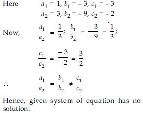
x - 3y - 3 = 0
3x - 9y - 2 = 0

Answer:

Given pair of linear equations is
x - 3y - 3 = 0
and 3x - 9y - 2= 0

Question 45:

Which of the following pairs of linear equations has unique solution, no solution, or infinitely many solutions. In case there is a unique solution, find it by using cross multiplication method.
2x + y = 5
3x + 2y = 8

Answer:

Given pair of linear equations:
2x + y = 5
and 3x + 2y = 8
or 2x + y - 5 = 0
and 3x + 2y - 8= 0
Here a1 = 2, b1 = 1, c1 = - 5
a2 = 3, b2 = 2, c2 = - 8

Question 46:

Which of the following pairs of linear equations has unique solution, no solution, or infinitely many solutions. In case there is a unique solution, find it by using cross multiplication method.
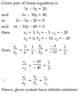
3x - 5y = 20
6x - 10y = 40

Answer:

Question 47:

Which of the following pairs of linear equations has unique solution, no solution, or infinitely many solutions. In case there is a unique solution, find it by using cross multiplication method.
x - 3y - 7 = 0
3x - 3y - 15 = 0

Answer:

Question 48:

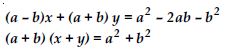
For which values of a and b does the following pair of linear equations have an infinite number of solutions?

2x + 3y = 7
(a - b)x + (a + b)y = 3a + b - 2

Answer:

Given pair of linear equations is
2x + 3y = 7
and (a - b) x + (a + b) y = 3a + b - 2
or 2x + 3y - 7 = 0
and (a - b) x + (a + b) y - (3a + b - 2) = 0

or 9a + 3b - 6 = 7a + 7b
or 2a - 4b - 6 = 0
or a - 2b - 3 = 0
Substitute the value of a from (1) in above, we
get:
9b - 4 - 2b - 3 = 0
or 7b - 7 = 0
or 7b = 7
or b = 1
Substitute this value of b in (1), we get
a = 9 × 1 - 4 = 9 - 4
a = 5
Hence a = 5 and b = 1

Question 49:

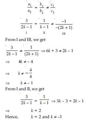
For which value of k will the following pair of linear equations have no solution?

3x + y = 1
(2k - 1)x + (k - 1)y = 2k + 1

Answer:

Given pair of linear equations is:
3x + y = 1
and (2k - 1) x + (k - 1) y = 2k + 1
or 3x + y - 1 = 0
and (2k - 1) x + (k - 1) y - (2k + 1) = 0
Here, a1 = 3, b1 = 1, c1 = - 1
a2 = (2k - 1), b2 = k - 1, c2 = -(2k + 1)
∴ System of equations have no solution, if

Question 50:

Solve the following pair of linear equations by the substitution and cross-multiplication methods:
8x + 5y = 9
3x + 2y = 4

Answer:

Given pair of linear equation is
8x + 5y = 9 ...(1)
3x + 2y = 4 ...(2)
Substitution method
From (2), 2y = 4 - 3x

Question 51:

Form the pair of linear equations in the following problems and find their solutions (if they exist) by any algebraic method: A part of monthly hostel charges is fixed and the remaining depends on the number of days one has taken food in the mess. When a student A takes food for 20 days she has to pay ₹1000 as hostel charges whereas a student B, who takes food for 26 days, pays ₹1180 as hostel charges. Find the fixed charges and the cost of food per day.

Answer:

Let monthly fixed hostel charges = ₹x
and cost of food per day = ₹y
According to 1st condition
x + 20y = 1000 ...(1)
According to 2nd condition
x + 26y = 1180 ...(2)

Question 52:

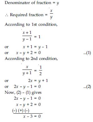
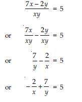
Form the pair of linear equations in the following problems and find their solutions (if they exist) by any algebraic method:

Answer:

Let numerator of fraction = x
Denominator of fraction = y

Question 53:

Form the pair of linear equations in the following problems and find their solutions (if they exist) by any algebraic method: Yash scored 40 marks in a test, getting 3 marks for each right answer and losing 1 mark for each wrong answer. Had 4 marks been awarded for each correct answer and 2 marks been deducted for each incorrect answer, then Yash would have scored 50 marks. How many questions were there in the test?

Answer:

Let, number of right questions attempted by
Yash = x
and number of wrong questions attempted by
Yash = y
According to 1st condition,
3x - y = 40
or 3x - y - 40 = 0 ...(1)
According to 2nd condition,
4x - 2y = 50
or 4x - 2y - 50 = 0 ...(2)

Question 54:

Form the pair of linear equations in the following problems and find their solutions (if they exist) by any algebraic method: Places A and B are 100 km apart on a highway. One car starts from A and another from B at the same time. If the cars travel in the same direction at different speeds they meet in 5 hours. If they travel towards each other, they meet in 1 hour. What are the speeds of the two cars?

Answer:

Let speed of car at place A = x km/hour and speed of car at place B = y km/hour Distance between places A and B = 100 km
In case of 5 hours
Distance covered by car A = 5x km
[∵ Distance = Speed × Time]
Distance covered by car B = 5y km
According to 1st condition,
5x - 5y = 100
or x - y = 20
or x - y - 20 = 0 ...(1)
In case of one hour Distance covered by car A = x km
[∵ Distance = Speed × Time]
Distance covered by car B = y km
According to 2nd condition,
x + y = 100
or x + y - 100 = 0 ...(2)

Question 55:

Form the pair of linear equations in the following problems and find their solutions (if they exist) by any algebraic method: The area of a rectangle gets reduced by 9 square units, if its length is reduced by 5 units and breadth is increased by 3 units. If we increase the length by 3 units and the breadth by 2 units, the area increases by 67 units. Find the dimensions of the rectangle.

Answer:

Let length of rectangle = x units
and breadth of rectangle = y units
∴ Area of rectangle = xy sq. units
According to 1st condition,
(x - 5) (y + 3) = xy - 9
or xy + 3x - 5y - 15 = xy - 9

Question 56:

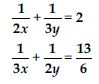
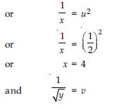
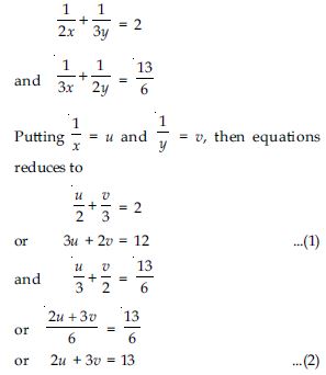
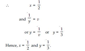
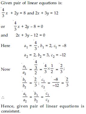
Solve the following pairs of equations by reducing them to a pair of linear equations:

Answer:

Given pair of linear equation is

Question 57:

Solve the following pairs of equations by reducing them to a pair of linear equations:

Answer:

Given pair of linear equations is

Question 58:

Solve the following pairs of equations by reducing them to a pair of linear equations:

Answer:

Given pair of linear equations is

Question 59:

Solve the following pairs of equations by reducing them to a pair of linear equations:

Answer:

5u + v = 2 ...(1)
and 6u - 3v = 1 ...(2)
Multiplying (1) by 3, we get
15u + 3v = 6 ...(3)
Now, (3) + (2) gives

Question 60:

Solve the following pairs of equations by reducing them to a pair of linear equations:

Answer:

Given pair of linear equations is

Question 61:

Solve the following pairs of equations by reducing them to a pair of linear equations:
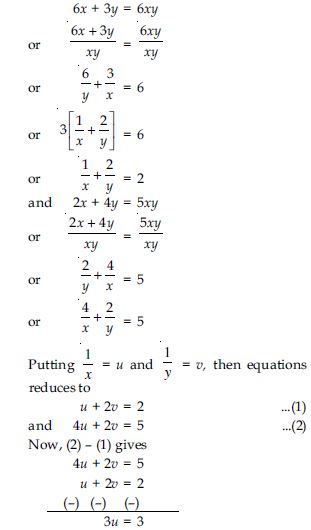
6x +3y = 6xy
2x +4y = 5xy

Answer:

Given pair of linear equations is

or y = 2 Hence, x = 1 and y = 2.

Question 62:

Solve the following pairs of equations by reducing them to a pair of linear equations:

Answer:

Given pair of linear equations is:

Question 63:

Solve the following pairs of equations by reducing them to a pair of linear equations:

Answer:

Given pair of linear equations is

Substitute this value of x in (3), we get:
3 (1) + y = 4
or 3 + y = 4
or y = 4 - 3 = 1
Hence, x = 1 and y = 1

Question 64:

Formulate the following problems as a pair of equations, and hence find their solutions: Ritu can row downstream 20 km in 2 hours, and upstream 4 km in 2 hours. Find her speed of rowing in still water and the speed of the current.

Answer:

Let the speed of Ritu in still water = x km/hour
and the speed of current = y km/hour
∴ Speed in upstream = (x - y) km/hour
and speed in downstream = (x + y) km/hour
Distance covered by Ritu in downstream in
2 hours
= Speed × Time
= (x + y) × 2
According to 1st condition,
2 (x + y) = 20
x + y = 10 ...(1)
Distance covered by Ritu in upstream
in 2 hours
= Speed × Time
= 2 (x - y) km
According to 2nd condition,
2 (x - y) = 4
x - y = 2 ...(2)
Now, (1) + (2) gives

Substitute this value of x in (1), we get
6 + y = 10
y = 10 - 6 = 4
Hence, Ritu's speed in still water
= 6 km/hour
and speed of current = 4 km/hour

Question 65:

Formulate the following problems as a pair of equations, and hence find their solutions: 2 women and 5 men can together finish an embroidery work in 4 days, while 3 women and 6 men can finish it in 3 days. Find the time taken by 1 woman alone to finish the work, and also that taken by 1 man alone.

Answer:

Let one woman can finish the work = x days
One man can finish the work = y days

Hence, one woman and one man alone can finish work in 18 days and 36 days respectively.

Question 66:

Formulate the following problems as a pair of equations, and hence find their solutions: Roohi travels 300 km to her home partly by train and partly by bus. She takes 4 hours if she travels 60 km by train and the remaining by bus. If she travels 100 km by train and the remaining by bus, she takes 10 minutes longer. Find the speed of the train and the bus separately.

Answer:

Let speed of train = x km/hour
and speed of bus = y km/hour
Total distance = 300 km
Case I:
Time taken by train to cover 60 km

Question 67:

The ages of two friends Ani and Biju differ by 3 years. Ani's father Dharam is twice as old as Ani and Biju is twice as old as his sister Cathy. The ages of Cathy and Dharam differ by 30 years. Find the ages of Ani and Biju.

Answer:

Let Ani’s age = x years
and Biju’s age = y years
Dharam’s age = 2x years

Substitute this value of x in (1), we get
19 - y = 3
or - y = 3 - 19
or - y = - 16
or y = 16
Hence Ani’s age = 19 years
Biju’s age = 16 years.

Question 68:

One says, ‘‘Give me a hundred, friend ! I shall then become twice as rich as you’’. The other replies, ‘‘If you give me ten, I shall be six times as rich as you.’’ Tell me what is the amount of their (respective) capital? [From the Bijaganita of Bhaskara II] [Hint: x + 100 = 2 (y - 100), y + 10 = 6 (x - 10)].

Answer:

Let Capital of one friend = ₹x
and capital of 2nd friend = ₹y
According to 1st condition
x + 100 = 2 (y - 100)
or x + 100 = 2y - 200
or x - 2y = - 200 - 100
or x - 2y = - 300 ...(1)
According to 2nd condition
y + 10 = 6 (x - 10)
or y + 10 = 6x - 60
or 6x - y = 10 + 60
or 6x - y = 70 ...(2)
Multiplying (1) by 6, we get
6x - 12y = - 1800 ...(3)
Now, (3) - (2) gives
6x - 12y = - 1800
6x - y = 70

Question 69:

A train covered a certain distance at a uniform speed. If the train would have been 10 km/h faster, it would have taken 2 hours less than the scheduled time. And, if the train were slower by 10 km/h; it would have taken 3 hours more than the scheduled time. Find the distance covered by the train.

Answer:

Let speed of train = x km/hour
and time taken by train = y hour
∴ Distance covered by train
= (Speed) × (Time)
= (xy) km
According to 1st condition,
(x + 10) (y - 2)=xy
or xy - 2x + 10y - 20 =xy
or - 2x + 10y - 20 = 0
or x - 5y + 10 =0 ...(1)
According to 2nd condition,
(x - 10) (y + 3)=xy
or xy + 3x - 10y - 30 =xy
or 3x - 10y - 30 = 0 ...(2)
Multiplying (1) by 3, we get
3x - 15y + 30 = 0 ...(3)
Now, (3) - (2) gives
3x - 15y + 30 = 0
3x - 10y - 30 = 0

Substitute this value of y in (1), we get
x - 5 × 12 + 10=0
or x - 60 + 10 = 0
or x - 50 = 0
or x = 50
∴ Speed of train = 50 km/hour
Time taken by train = 12 hour
Hence, distance covered by train
= (50 × 12) km
= 600 km

Question 70:

The students of a class are made to stand in rows. If 3 students are extra in a row, there would be 1 row less. If 3 students are less in a row, there would be 2 rows more. Find the number of students in the class.

Answer:

Let number of students in each row = x
and number of rows = y
Total number of students in the class = xy
According to 1st condition,
(x + 3) (y - 1)=xy
or xy - x + 3y - 3 = xy
or - x + 3y - 3=0
or x - 3y + 3 =0 ...(1)
According to 2nd condition,
(x - 3) (y + 2) = xy
or xy + 2x - 3y - 6 = xy
or 2x - 3y - 6 = 0 ...(2)
Now, (2) - (1) gives

Substitute this value of x in (1), we get
9 - 3y + 3 = 0
or - 3y + 12 = 0
or - 3y = - 12

∴ Number of students in each row = 9
and number of rows = 4
Hence, total number of students in the class =
9 × 4 = 36

Question 71:

In a ABC, C = 3 B = 2 ( A + B), find the three angles.

Answer:

From II and III, we get
3 B = 2 ( A + B)
or 3 B = 2 A + 2 B
or 3 B - 2 B = 2 A
or B = 2 A ....(1)
From I and II, we get
C = 3 B
or C = 3(2 A) [Using (1)]
or C = 6 A ...(2)
Sum of three angles of a triangle is 180 ° .
A + B + C = 180 °
or A + 2 A + 6 A = 180 °
or 9 A = 180 °

Question 72:

Draw the graphs of the equations 5x - y = 5 and 3x - y = 3. Determine the coordinates of the vertices of the triangle formed by these lines and the y-axis.

Answer:

Given pair of linear equations is:
5x - y = 5 and 3x - y = 3
Consider,

Plotting A (1, 0); D (0, - 3); E (2, 3) on the graph,
we get the equation of line 3x - y = 3.

From the graph, it is clear that given lines
intersect at A (1, 0). Triangle formed by these lines
and y axis are shaded in the graph i.e., ABD.
Coordinates of the vertices of ABD are A (1, 0);
B (0, - 5) and D (0, - 3).

Question 73:

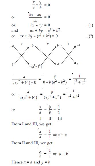
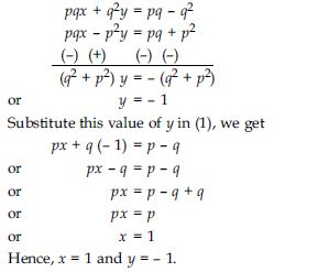
Solve the following pair of linear equations:

Answer:

Given pair of linear equations is
px + qy = p - q ...(1)
and qx - py = p + q ...(2)
Multiplying (1) by q and (2) by p, we get

Question 74:

Solve the following pair of linear equations:

Answer:

Given pair of linear equations is
ax + by=c
and bx + ay=1 + c
or ax + by - c=0
and bx + ay - (1 + c)=0

Question 75:

Solve the following pair of linear equations:

Answer:

Given pair of linear equations is:

Question 76:

Solve the following pair of linear equations:

Answer:

Given pair of linear equations is

Question 77:

Solve the following pair of linear equations:

Answer:

Given pair of linear equations is
152x - 378y = - 74
and - 378x + 152y = - 604
or 76x - 189y + 37 = 0 .....(1)
and - 189x + 76y + 302 = 0 .....(2)

Question 78:

ABCD is a cyclic quadrilateral (see fig.). Find the angles of the cyclic quadrilateral.

Answer:

In cyclic quadrilateral ABCD,
A = (4y + 20); B = 3y - 5;
C = 4x and D = 7x + 5
Sum of opposite angles of a cyclic quadrilateral
are of measure 180 ° .
A + C = 180 °
or 4y + 20 + (4x) = 180 °
or 4x + 4y = 180 ° - 20
or 4x + 4y = 160
or x + y = 40
or y = 40 - x ...(1)
and B + D = 180 °
or 3y - 5 + (7x + 5) = 180 °
or 3y - 5 + 7x + 5 = 180 °
or 7x + 3y = 180 ° ...(2)
Substitute the value of y from (1) in (2), we get
7x + 3 (40 - x)= 180 °
or 7x + 120 - 3x= 180 °
or 4x = 180 ° - 120 °
or 4x = 60

Substitute this value of x in (1), we get
y = 40 - 15 = 25
A = 4y + 20 = 4 × 25 + 20 = 120 °
B = 3y - 5 = 3 × 25 - 5 = 70 °
C = 4x = 4 × 15 = 60 °
D = 7x + 5 = 7 × 15 + 5 = 110 °
Hence, A = 120 ° , B = 70 ° ; C = 60 °
and D = 110 °