NCERT Solutions for Class 10 Math Chapter 5 - Arithmetic Progressions

Aasoka offers free NCERT Solutions to help students be exam-ready in no time. The solutions are prepared by the experts as per the current syllabus and guidelines. The NCERT Solutions for Class 10th will make students understand different types of questions including short answer type questions, long answer type questions, MCQs, etc. So, start your preparation now with top educational resources available on Aasoka, the best online learning platform for students.

Chapter 5 of Math Class 10th is “Arithmetic Progression” or “AP” where students will get to know what AP is, solve the real-life problems with AP, find the sum of the first n terms of the AP, and derivation of the nth term. In the first exercise, students will learn to find the 1st term and difference of arithmetic progression, represent a situation in the form of AP and find whether the series given is AP or not. Then, exercise 5.2 explains the way to find the nth term of AP utilizing the formula. Exercise 5.3 tells about the sum of the 1st n terms of AP and includes questions based on it. The last two exercises contain questions related to all the topics taught throughout the chapter.

Question 1:

In which of the following situations, does the list of numbers involved make an arithmetic progression, and why? The taxi fare after each km when the fare is ₹15 for the first km and ₹8 for each additional km.

Answer:

Let Tn denotes the taxi fare in nth km.
According to question,
T1 = 15 km;
T2 = 15 + 8 = 23;
T3 = 23 + 8 = 31 and so on
Now, d = T3 - T2 = 31 - 23 = 8
d = T2 - T1 = 23 - 15 = 8
Here, T3 - T2 = T2 - T1 = 8
∴ Given situation forms an AP.

Question 2:

In which of the following situations, does the list of numbers involved make an arithmetic progression, and why?

Answer:

Question 3:

In which of the following situations, does the list of numbers involved make an arithmetic progression, and why?

The cost of digging a well after every metre of digging, when it costs ₹150 for the first metre and rises by ₹50 for each subsequent metre.

Answer:

Let Tn denotes cost of digging a well for nth metre,
According to question,
T1 = ₹150
T2 = ₹(150 + 50) = ₹200;
T3 = ₹(200 + 50) = ₹ 250 and so on
Now, T3 - T2 = ₹(250 - 200) = 50
T2 - T1 = ₹(200 - 150) = 50
Here, T3 - T2 = T2 - T1 = 50
∴ Given situtation forms an AP.

Question 4:

In which of the following situations, does the list of numbers involved make an arithmetic progression, and why?

The amount of money in the account every year when ₹10,000 is deposited at compound interest at 8% per annum.

Answer:

Question 5:

Write first four terms of the AP, when the first term a and the common difference d are given as follows:
a = 10, d = 10

Answer:

Given that first term = a = 10
and common difference = d = 10
∴ T1 = a = 10
T2 = a + d = 10 + 10 = 20
T3 = a + 2d = 10 + 2 ×
= 10 + 20 = 30
T4 = a + 3d = 10 + 3 × 10
= 10 + 30 = 40
Hence, first four terms of the AP are:
10, 20, 30, 40,…

Question 6:

Write first four terms of the AP, when the first term a and the common difference d are given as follows:
a = - 2, d = 0

Answer:

Given that first term = a = - 2
and common difference = d = 0
∴ T1 = a = -
T2 = a + d = - 2 + 0 = - 2
T3 = a + 2d = - 2 + 2 × 0 = - 2
T... = a + 3d = - 2 + 3 × 0 = - 2
Hence, first four terms of the AP are:
- 2, - 2, - 2, - 2,...

Question 7:

Write first four terms of the AP, when the first term a and the common difference d are given as follows:
a = 4, d = - 3

Answer:

Given that first term = a = 4
and common difference = d = - 3
∴ T1 = a = 4
T2 = a + d = 4 - 3 = 1
T3 = a + 2d = 4 + 2(- 3) = 4 - 6 = - 2
T4 = a + 3d = 4 + 3 (- 3) = 4 - 9 = - 5
Hence, first four terms of the AP are:
4, 1, - 2, - 5,...

Question 8:

Write first four terms of the AP, when the first term a and the common difference d are given as follows:

Answer:

Question 9:

Write first four terms of the AP, when the first term a and the common difference d are given as follows:
a = - 1.25, d = - 0.25

Answer:

Given that first term = a = - 1.25
and common difference = d = - 0.25
∴ T1 = a = - 1.25
T2 = a + d = - 1.25 - 0.25 = - 1.50
T3 = a + 2d = - 1.25 + 2 (- 0.25)
= - 1.25 - 0.50 = - 1.75
T4 = a + 3d = - 1.25 + 3 (- 0.25)
= - 1.25 - 0.75 = - 2
Hence, first four terms of the AP are:
- 1.25, - 1.50, - 1.75, - 2,...

Question 10:

For the following APs, write the first term and the common difference:
3, 1, - 1, - 3, …

Answer:

Given AP is: 3, 1, - 1, - 3, ....
Here T1 = 3, T2 = 1,
T3 = -1, T4 = - 3
First term = T1 = 3
Now, T2 - T1 = 1 - 3 = - 2
T3 - T2 = - 1 - 1 = - 2
T4 - T3 = - 3 + 1 = - 2
∴ T2 - T1 = T3 - T2 = T4 - T3 = -
Hence, common difference = - 2 and first term
= 3.

Question 11:

For the following APs, write the first term and the common difference:
- 5, - 1, 3, 7, …

Answer:

Given AP is: - 5, - 1, 3, 7, ...
Here, T1 = - 5, T2 = - 1,
T3 = 3, T4 = 7.
First term = T1 = - 5
Now, T2 - T1 = - 1 + 5 = 4
T3 - T2 = 3 + 1 = 4
T4 - T3 = 7 - 3 = 4
∴ T2 - T1 = T3 - T2 = T4 - T3 = 4
Hence, common difference = 4 and first term
= - 5.

Question 12:

For the following APs, write the first term and the common difference:

Answer:

Question 13:

For the following APs, write the first term and the common difference:
0.6, 1.7, 2.8, 3.9, …

Answer:

Question 14:

Which of the following are AP’s? If they form an AP, find the common difference d and write three more terms.
2, 4, 8, 16, …

Answer:

Given terms are 2, 4, 8, 16, ...
Here, T1 = 2, T2 = 4, T3 = 8, T4 = 16
T2 - T1 = 4 - 2 = 2
T3 - T2 = 8 - 4 = 4
∵ T2 - T1 ≠ T3 - T2
Hence, given terms do not form an AP.

Question 15:

Which of the following are AP’s? If they form an AP, find the common difference d and write three more terms.

Answer:

Question 16:

Which of the following are AP’s? If they form an AP, find the common difference d and write three more terms.
- 1.2, - 3.2, - 5.2, - 7.2 , …

Answer:

Question 17:

Which of the following are AP’s? If they form an AP, find the common difference d and write three more terms.
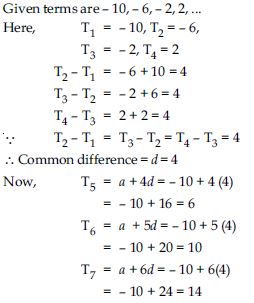
- 10, - 6, - 2, 2, …

Answer:

Question 18:

Which of the following are AP’s? If they form an AP, find the common difference d and write three more terms.

Answer:

Question 19:

Which of the following are AP’s? If they form an AP, find the common difference d and write three more terms.
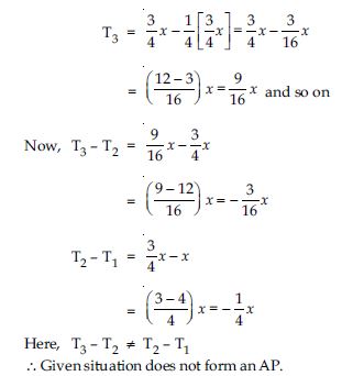
0.2, 0.22, 0.222, 0.2222, …

Answer:

Given terms are 0.2, 0.22, 0.222, 0.2222, ...
Here, T1 = 0.2, T2 = 0.22,
T3 = 0.222, T4 = 0.2222.
T2 - T1 = 0.22 - 0.2 = 0.02
T3 - T2 = 0.222 - 0.22 = 0.002
∵ T2 - T1 ≠ T3 - T2
∴ Given terms do not form an AP.

Question 20:

Which of the following are AP’s? If they form an AP, find the common difference d and write three more terms.
0, - 4, - 8, - 12, …

Answer:

Question 21:

Which of the following are AP’s? If they form an AP, find the common difference d and write three more terms.

Answer:

Question 22:

Which of the following are AP’s? If they form an AP, find the common difference d and write three more terms.
1, 3, 9, 27, …

Answer:

Question 23:

Which of the following are AP’s? If they form an AP, find the common difference d and write three more terms.
a, 2a, 3a, 4a, …

Answer:

Question 24:

Which of the following are AP’s? If they form an AP, find the common difference d and write three more terms.
a, a2, a3, a4, ...

Answer:

Question 25:

Which of the following are AP’s? If they form an AP, find the common difference d and write three more terms.

Answer:

Question 26:

Which of the following are AP’s? If they form an AP, find the common difference d and write three more terms.

Answer:

Question 27:

Which of the following are AP’s? If they form an AP, find the common difference d and write three more terms.
12, 32, 52, 72, ...

Answer:

Question 28:

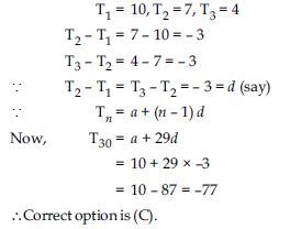
Choose the correct choice in the following and justify: 30th term of the AP: 10, 7, 4, ... is
(A) 97 (B) 77 (C) - 77 (D) - 87

Answer:

Given AP is 10, 7, 4, …

Question 29:

Choose the correct choice in the following and justify:

Answer:

Question 30:

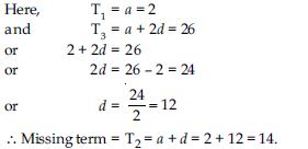
In the following APs, find the missing terms in the boxes:

Answer:

Let a be the first term and d be the common difference of given AP.

Question 31:

In the following APs, find the missing terms in the boxes:

Answer:

Question 32:

In the following APs, find the missing terms in the boxes:

Answer:

Question 33:

In the following APs, find the missing terms in the boxes:

Answer:

Question 34:

In the following APs, find the missing terms in the boxes:

Answer:

Question 35:

Which term of the AP: 3, 8, 13, 18, ... is 78?

Answer:

Question 36:

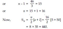
Find the number of terms in each of the following APs:
7, 13, 19, ... , 205

Answer:

Given AP is 7, 13, 19, ..., 205

Question 37:

Find the number of terms in each of the following APs:

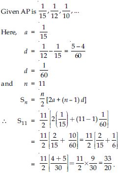
Answer:

Question 38:

Check whether -150 is a term of the AP : 11, 8, 5, 2, …

Answer:

Question 39:

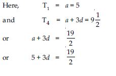
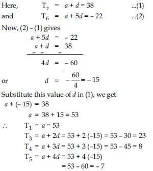
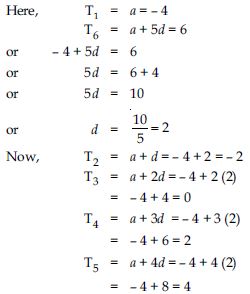
Find the 31st term of an AP whose 11th term is 38 and 16th term is 73.

Answer:

Let ‘a’ and ‘d’ be the first term and common
difference of given AP.
Given that: T11 = 38
a + (11 -1) d = 38 [∵ Tn = a + (n - 1) d]
a + 10 d = 38 ...(1)
and T16 = 73
a + (16 - 1) d = 73 [∵ Tn= a + (n - 1) d]
a + 15 d = 73 ...(2)

Question 40:

An AP consists of 50 terms of which 3rd term is 12 and the last term is 106. Find the 29th term.

Answer:

Question 41:

If the 3rd and 9th terms of an AP are 4 and - 8 respectively, which term of this AP is zero.

Answer:

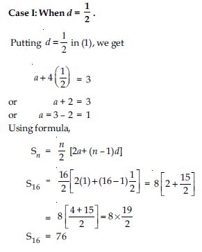
Question 42:

The 17th term of an AP exceeds its 10th term by 7. Find the common difference.

Answer:

Let a and d be the first term and common
difference of given AP.
Now, T17 = a + (17 - 1) d = a + 16d
and T10 = a + (10 - 1) d = a+ 9d
According to question,
T17 - T10 =7
(a + 16d) - (a+ 9d) =7
or a + 16d - a - 9d =7
or 7 d =7

Question 43:

Which term of the AP 3, 15, 27, 39, ... will be 132 more than its 54th term?

Answer:

Question 44:

Two APs have the same common difference. The difference between their 100th terms is 100, what is the difference between their 1000th terms?

Answer:

Question 45:

How many three-digits numbers are divisible by 7?

Answer:

Question 46:

How many multiples of 4 lie between 10 and 250?

Answer:

Question 47:

For what value of n, are the nth terms of two APs 63, 65, 67... and 3, 10, 17,... equal?

Answer:

Question 48:

Determine the AP whose third term is 16 and 7th term exceeds the 5th term by 12.

Answer:

Question 49:

Find the 20th term from the last term of the AP: 3, 8, 13, ... , 253.

Answer:

Question 50:

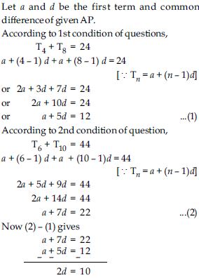
The sum of the 4th and 8th term of an AP is 24 and the sum of the 6th and 10th terms is 44. Find the first three terms of the AP.

Answer:

Question 51:

Subba Rao started work in 1995 at an annual salary of ₹5000 and received on increment of ₹200 each year. In which year did his income reach ₹7000?

Answer:

Subba Rao’s starting salary = ₹5000
Annual increment = ₹200
Let ‘n’ denotes number of years.
∴ First term = a = ₹5000
Common difference = d = ₹200
and Tn = ₹7000
5000 + (n -1) 200 = 7000 [∵ Tn = a + (n - 1)d]
or (n - 1) 200 = 7000 - 5000
or (n - 1) 200 = 2000

or n = 10 + 1 = 11
Now, in case of year the sequence are 1995, 1996,
1997, 1998, ...
Here, a = 1995,
d = 1
and n = 11
Let Tn denotes the required year.
∴ Tn = 1995 + (11 - 1) 1
= 1995 + 10 = 2005
Hence, in 2005, Subba Rao’s salary becomes
₹7000.

Question 52:

Ramkali saved ₹5 in the first week of a year and then increased her weekly saving by ₹1.75. If in the nth week, her weekly saving becomes ₹20.75, find n.

Answer:

Amount saved in first week = ₹5
Increment in saving every week = ₹1.75
It is clear that, it form an AP whose terms are
T1 = 5
d = 1.75

Question 53:

Find the sum of the following APs: 2, 7, 12, ..., to 10 terms.

Answer:

Given AP is 2, 7, 12, …

Question 54:

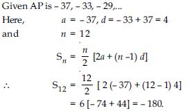
Find the sum of the following APs: - 37, - 33, - 29, ... , to 12 terms.

Answer:

Question 55:

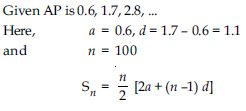
Find the sum of the following APs: 0.6, 1.7, 2.8, ..., to 100 terms.

Answer:

Question 56:

Find the sum of the following APs:

Answer:

Question 57:

Find the sums given below:

Answer:

Question 58:

Find the sums given below:
34 + 32 + 30 + ... + 10

Answer:

Question 59:

Find the sums given below:
- 5 + (- 8) + (- 11) + ... + (- 230)

Answer:

Question 60:

In an AP: given a = 5, d = 3, an = 50, find n and Sn.

Answer:

Given, a = 5, d = 3, an = 50
∵ an = 50
a + (n -1) d = 50
or 5 + (n -1) 3 = 50
or 3 (n -1) = 50 - 5 = 45

Question 61:

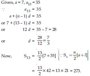
In an AP: given a = 7, a13 = 35, find d and S13.

Answer:

Question 62:

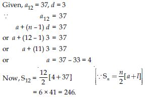
In an AP: given a12 = 37, d = 3, find a and S12.

Answer:

Question 63:

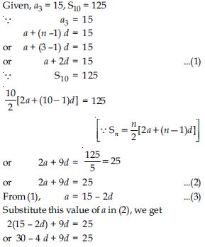
In an AP: given a3 = 15, S10 = 125, find d and a10.

Answer:

Question 64:

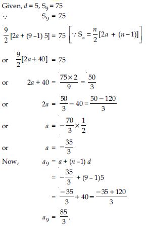
In an AP: given d = 5, S9 = 75, find a and a9.

Answer:

Question 65:

In an AP: given a = 2, d = 8, Sn = 90, find n and an.

Answer:

Question 66:

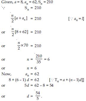
In an AP: given a = 8, an = 62, Sn = 210, find n and d.

Answer:

Question 67:

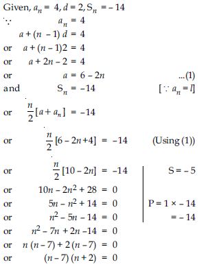
In an AP: given an = 4, d = 2, Sn = - 14, find n and a.

Answer:

Question 68:

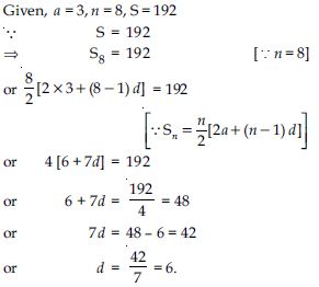
In an AP: given a = 3, n = 8, S = 192, find d.

Answer:

Question 69:

In an AP: given l = 28, S = 144, and there are total 9 terms. Find a.

Answer:

Question 70:

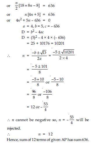
How many terms to the AP: 9, 17, 25, ... must be taken to give a sum of 636?

Answer:

Question 71:

The first term of an AP is 5, the last term is 45 and the sum is 400. Find the number of terms and the common difference.

Answer:

Question 72:

The first and last terms of an AP are 17 and 350 respectively. If the common difference is 9, how many terms are there and what is their sum?

Answer:

Question 73:

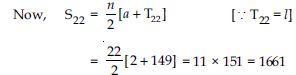
Find the sum of first 22 terms of an AP in which d = 7 and 22nd term is 149.

Answer:

Given that d = 7; T22 = 149
and n = 22
∵ l = T22 = 149
a + (n -1) d = 149
or a + (22 - 1) 7 = 149
or a + 147 = 149
or a = 149 - 147 = 2

Hence, sum of first 22 terms of given AP is 1661.

Question 74:

Find the sum of first 51 terms of an AP whose second and third terms are 14 and 18 respectively.

Answer:

Let a and d be first term and common difference.
Given that, T2 = 14; T3 = 18
and n = 51
∵ T2 = 14
a + (n -1) d = 14
a + (2 - 1) d = 14
or a + d = 14
a = 14 - d ...(1)
and T3 = 18 (Given)
a + (n -1)d = 18
a + (3 - 1)d = 18
or a + 2d = 18
Substitute the value of a from (1), we get
or 14 - d + 2d = 18
or d = 18 - 14 = 4
or d = 4
Substitute this value of d in (1), we get
a = 14 - 4 = 10

Question 75:

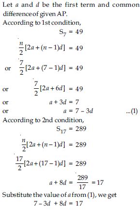
If the sum of first 7 terms of an AP is 49 and that of 17 terms is 289, find the sum of first n terms.

Answer:

Question 76:

Show that a1, a2, ..., an,... form an AP where an is defined as below:
an = 3 + 4n
Also find the sum of the first 15 terms in each case.

Answer:

Given that, an = 3 + 4n ...(1)

Question 77:

Show that a1, a2, ..., an,... form an AP where an is defined as below:
an = 9 - 5n
Also find the sum of the first 15 terms in each case.

Answer:

Question 78:

If the sum of the first n terms of an AP is 4n - n2, what is the first term (that is S1)? What is the sum of two terms? What is the second term?

Similarly, find the 3rd, the 10th and the nth terms.

Answer:

Question 79:

Find the sum of the first 40 positive integers divisible by 6.

Answer:

Positive integers divisible by 6 are 6, 12, 18, 24,
30, 36, 42, ...
Here, a = T1 = 6, T2 = 12,
T3 = 18, T4 = 24
T2 - T1 = 12 - 6 = 6
T3 - T2 = 18 - 12 = 6
T4 - T3 = 24 - 18 = 6
∵ T2 - T1 = T3 - T2 = T4 - T3
= 6 = d (say)
Using formula,

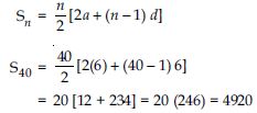
Hence, sum of first 40 positive integers divisible by 6 is 4920.

Question 80:

Find the sum of first 15 multiples of 8.

Answer:

Hence, sum of first 15 multiples of 8 is 960.

Question 81:

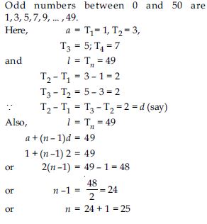
Find the sum of the odd numbers between 0 and 50.

Answer:

Question 82:

A contract on construction job specifies a penalty for delay of completion beyond a certain date as follows: ₹200 for the first day, ₹250 for the second day, ₹300 for the third day, etc., the penalty for each succeeding day being ₹50 more than for the preceding day. How much money the contractor has to pay as penalty, if he has delayed the work by 30 days?

Answer:

Question 83:

A sum of ₹700 is to be used to give seven cash prizes to students of a school for their overall academic performance. If each prize is ₹20 less than its preceding prize, find the value of each of the prizes.

Answer:

Let amount of prize given to 1st student = ₹x
Amount of prize given to 2nd student
= ₹(x - 20)
Amount of prize given to 3rd student
= ₹[x - 20 - 20] = ₹(x - 40) and so on.
∴ Required sequence is ₹x, ₹(x - 20), ₹(x - 40), ...
which form an AP with
a = ₹x, d = -20
and n = 7

Question 84:

In a school, students thought of planting trees in and around the school to reduce air pollution. It was decided that number of trees, that each section of each class will plant, will be the same as the class, in which they are studying, e.g. a section of Class I will plant 1 tree, a section of Class II will plant 2 trees and so on till Class XII. There are three sections of each class. How many trees will be planted by the students?

Answer:

Number of trees planted by three sections of class
I = 3 × 1 = 3
Number of trees planted by three sections of class
II = 3 × 2 = 6
Number of trees planted by three sections of class
III = 3 × 3 = 9
...................................................................
...................................................................
...................................................................
Number of trees planted by three sections of class
XII = 3 × 12 = 36

Question 85:

A spiral is made up of successive semicircles, with centres alternately at A and B, starting with centre at A, of radii 0.5 cm, 1.0 cm, 1.5 cm, 2.0 cm, .... as shown in fig. What is the total length of such a spiral made up of thirteen consecutive semicircles?

Answer:

Question 86:

200 logs are stacked in the following manner: 20 logs in the bottom row, 19 in the next row, 18 in the row next to it and so on (see fig). In how many rows are the 200 logs placed and how many logs are in the top row?

Answer:

Question 87:

In a potato race, a bucket is placed at the starting point, which is 5 m from the first potato, and the other potatoes are placed 3 m apart in a straight line. There are ten potatoes in the line (see fig.)

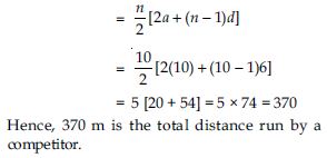
A competitor starts from the bucket, picks up the nearest potato, runs back with it, drops it in the bucket, runs back to pick up the next potato, runs to the bucket to drop it in, and she continues in the same way until all the potatoes are in the bucket. What is the total distance the competitor has to run? [Hint: To pick up the first potato and second
potato, the distance run is 2 × 5 + 2 × (5 + 3) m]

Answer:

Distance covered to pick up the 1st potato
= 2(5) m = 10 m
Distance between successive potato = 3 m
∴ Distance covered to pick up the 2nd potato
= 2 (5 + 3) m = 16 m
Distance covered to pick up the 3rd potato
= 2 (5 + 3 + 3) m
= 22 m
and this process go on. It is clear that this
situation becomes an AP as
10 m, 16 m, 22 m, 28 m, ...
Here, a = T1 = 10, T2 = 16, T3 = 22, ...
d = T2 – T1 = 16 – 10 = 6
and n = 10
∴ Total distance the competitor has to run = S10

Question 88:

Which term of the AP: 121, 117, 113, ... is its first negative term?

Answer:

Question 89:

The sum of the third and the seventh term of an AP is 6 and their product is 8. Find the sum of first sixteen terms of an AP.

Answer:

Question 90:

Answer:

Question 91:

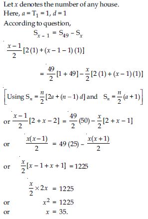
The houses of a row are numbered consecutively from 1 to 49. Show that there is a value of x such that the sum of the numbers of the houses preceding the house numbered x is equal to the sum of the numbers of the houses following it and find this value of x.

Answer:

Question 92:

Answer: