NCERT Solutions for Class 7 Mathematics Chapter 2 - Fractions and Decimals

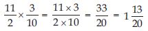
Question 1:

Solve:

Answer:

Question 2:

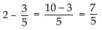
Solve:

Answer:

Question 3:

Solve:

Answer:

Question 4:

Solve:

Answer:

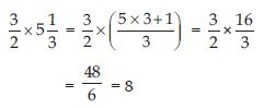
Question 5:

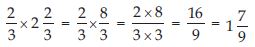
Solve:

Answer:

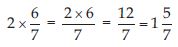
Question 6:

Solve:

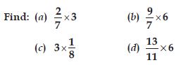
Answer:

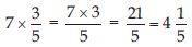
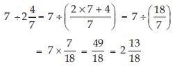
Question 7:

Solve:

Answer:

Question 8:

Arrange the following in descending order:

Answer:

Question 9:

Arrange the following in descending order:

Answer:

Question 10:

In a magic square, the sum of the numbers in each row, in each column and along the diagonals is the same. Is this a magic square?

Answer:

Question 11:

A rectangular sheet of paper is 12 ½ cm long and 10⅔ cm wide. Find its perimeter.

Answer:

Question 12:

Find the perimeters of (i) ΔABE (ii) the rectangle BCDE in the figure. Whose perimeter is greater?

Answer:

Question 13:

Salil wants to put a picture in the frame. The picture is 7 ⅗ cm wide. To fit in the frame the picture cannot be more than 7 3/10 cm wide. How much should the picture be trimmed?

Answer:

Question 14:

Ritu ate ⅗ part of an apple and remaining apple was eaten by her brother Somu. How much part of the apple did Somu eat? Who had the larger share and by how much?

Answer:

Question 15:

Michael finished colouring a picture in 7/12 hour. Vaibhav finished colouring the same picture in 3/4 hour. Who worked longer? By what fraction was it longer?

Answer:

Question 16:

If the product is an improper fraction express it as a mixed fraction.

Answer:

Question 17:

Represent pictorially:

Answer:

Question 18:

Find:

Answer:

Question 19:

Find:

Answer:

Question 20:

Can you tell, what is

Answer:

Question 21:

Which of the drawings (a) to (d) shows:

Answer:

Question 22:

Some pictures (a) to (c) are given below. Tell which of them shows:

Answer:

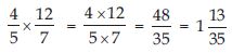
Question 23:

Multiply and reduce to lowest form and convert into a mixed fraction:

Answer:

Question 24:

Multiply and reduce to lowest form and convert into a mixed fraction:

Answer:

Question 25:

Multiply and reduce to lowest form and convert into a mixed fraction:

Answer:

Question 26:

Multiply and reduce to lowest form and convert into a mixed fraction:

Answer:

Question 27:

Multiply and reduce to lowest form and convert into a mixed fraction:

Answer:

Question 28:

Multiply and reduce to lowest form and convert into a mixed fraction:

Answer:

Question 29:

Multiply and reduce to lowest form and convert into a mixed fraction:

Answer:

Question 30:

Multiply and reduce to lowest form and convert into a mixed fraction:

Answer:

Question 31:

Multiply and reduce to lowest form and convert into a mixed fraction:

Answer:

Question 32:

Multiply and reduce to lowest form and convert into a mixed fraction:

Answer:

Question 33:

Shade:
(i) ½ of the circles in box (a)
(ii) ⅔ of the triangles in the box (b)

(iii) ⅗ of the squares in box (c)

Answer:

Question 34:

Answer:

Question 35:

Answer:

Question 36:

Answer:

Question 37:

Answer:

Question 38:

Multiply and express as a mixed fraction:

Answer:

Question 39:

Multiply and express as a mixed fraction:

Answer:

Question 40:

Multiply and express as a mixed fraction:

Answer:

Question 41:

Multiply and express as a mixed fraction:

Answer:

Question 42:

Multiply and express as a mixed fraction:

Answer:

Question 43:

Multiply and express as a mixed fraction:

Answer:

Question 44:

Answer:

Question 45:

Answer:

Question 46:

Vidya and Pratap went for a picnic. Their mother gave them a water bottle that contained 5 litres of water. Vidya consumed ⅖ of the water. Pratap consumed the remaining water.
(i) How much water did Vidya drink?
(ii) What fraction of the total quantity of water did Pratap drink?

Answer:

Question 47:

Fill in these boxes:

Answer:

Question 48:

Fill in these boxes:

Answer:

Question 49:

Fill in these boxes:

Answer:

Question 50:

Fill in these boxes:

Answer:

Question 51:

Answer:

Question 52:

Answer:

Question 53:

Answer:

Question 54:

Answer:

Question 55:

Multiply and reduce to lowest form (if possible):

Answer:

Question 56:

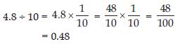
Multiply and reduce to lowest form (if possible):

Answer:

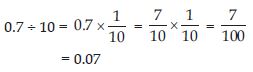
Question 57:

Multiply and reduce to lowest form (if possible):

Answer:

Question 58:

Multiply and reduce to lowest form (if possible):

Answer:

Question 59:

Multiply and reduce to lowest form (if possible):

Answer:

Question 60:

Multiply and reduce to lowest form (if possible):

Answer:

Question 61:

Multiply and reduce to lowest form (if possible):

Answer:

Question 62:

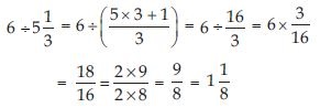
Multiply the following fractions:

Answer:

Question 63:

Multiply the following fractions:

Answer:

Question 64:

Multiply the following fractions:

Answer:

Question 65:

Multiply the following fractions:

Answer:

Question 66:

Multiply the following fractions:

Answer:

Question 67:

Multiply the following fractions:

Answer:

Question 68:

Multiply the following fractions:

Answer:

Question 69:

Which is greater:

Answer:

Question 70:

Which is greater:

Answer:

Question 71:

Saili plants 4 saplings in a row, in her garden. The distance between two adjacent saplings is ¾ m. Find the distance between the first and the last sapling.

Answer:

Question 72:

Lipika reads a book for 1 ¾ hours everyday. She reads the entire book in 6 days. How many hours in all were required by her to read the book?

Answer:

Daily reading of a book by Lipika = 1 ¾ hours
Number of days taken by Lipika to read the book = 6 days
Number of hours required by Lipika to read the book

Question 73:

A car runs 16 km using 1 litre of petrol. How much distance will it cover using 2 ¾ litres of petrol?

Answer:

Distance covered in 1 litre of petrol = 16 km
Distance covered by 2 ¾ litres of petrol

Question 74:

Answer:

Question 75:

Answer:

Question 76:

Find:

Answer:

Question 77:

Find:

Answer:

Question 78:

Find:

Answer:

Question 79:

Find:

Answer:

Question 80:

Find:

Answer:

Question 81:

Which is greater?
0.5 or 0.05

Answer:

0.5 or 0.05
Here, 0.5 tenth place is greater than 0.05
∴ 0.5 > 0.05

Question 82:

Which is greater?
0.7 or 0.5

Answer:

Here, in 0.7 tenth place is greater than tenth place of 0.5, i.e. 7 > 5,
∴ 0.7 > 0.5

Question 83:

Which is greater?
7 or 0.7

Answer:

Here, 7 is greater in ones place than 0 in ones place of 0.7.
∴ 7 > 0.7

Question 84:

Which is greater?
1.37 or 1.49

Answer:

Here, ones place in both the numbers is same and tenth place in 1.49 is greater than tenths place in 1.37 i.e., 4 > 3
∴ 1.49 > 1.37

Question 85:

Which is greater?
2.03 or 2.30

Answer:

Here, ones place in both the numbers is same i.e., 2 whereas tenths place in 2.30 is greater than tenths place in 2.03 i.e., 3 > 0
∴ 2.30 > 2.03

Question 86:

Which is greater?
0.8 or 0.88

Answer:

Here, thenths place in both the numbers is same and hundredths place in 0.88 is greater than 0.8 i.e., 0.80 i.e., 8 > 0
∴ 0.88 > 0.8

Question 87:

Express as rupees using decimals:
7 paise

Answer:

7 paise = ₹0.07

Question 88:

Express as rupees using decimals:
7 rupees 7 paise

Answer:

7 rupees 7 paise = ₹(7 + 0.07) = ₹7.07

Question 89:

Express as rupees using decimals:
77 rupees 77 pasie

Answer:

77 rupees 77 paise = ₹77 + ₹0.77 = ₹77.77

Question 90:

Express as rupees using decimals:
50 paise

Answer:

50 paise = ₹0.50

Question 91:

Express as rupees using decimals:
235 paise.

Answer:

235 paise = ₹2.35

Question 92:

Express 5 cm in metre and kilometre.

Answer:

Since 1 cm = 1/100 m and 1 m = 1/1000 km
∴ 5 cm = 0.05 m = 0.00005 km

Question 93:

Express 35 mm in cm, m and km.

Answer:

35 mm = 3.5 cm = 0.035 m = 0.000035 km

Question 94:

Express in kg: 200 g

Answer:

Question 95:

Express in kg: 3470 g

Answer:

Question 96:

Express in kg: 4 kg 8 g

Answer:

Question 97:

Write the following decimal numbers in the expanded form: 20.03

Answer:

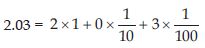
Question 98:

Write the following decimal numbers in the expanded form: 2.03

Answer:

Question 99:

Write the following decimal numbers in the expanded form: 200.03

Answer:

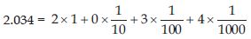
Question 100:

Write the following decimal numbers in the expanded form: 2.034

Answer:

Question 101:

Write the place value of 2 in the following decimal numbers.
(i) 2.56
(ii) 21.37
(iii) 10.25
(iv) 9.42
(v) 63.352

Answer:

(i) 2.56 Place value of 2 is 2 ones
(ii) 21.37 Place value of 2 is 2 tens
(iii) 10.25 Place value of 2 is 2 tenths
(iv) 9.42 Place value of 2 is 2 hundredths
(v) 63.352 Place value of 2 is 2 thousandths

Question 102:

Dinesh went from place A to B and from there to place C. A is 7.5 km from B and B is 12.7 km from C. Ayub went from place A to place D and from there to place C. D is 9.3 km from A and C is 11.8 km from D. Who travelled more and by how much?

Answer:

Question 103:

Shyama bought 5 kg 300 g apples and 3 kg 250 g mangoes. Sarala bought 4 kg 800 g oranges and 4 kg 150 g bananas. Who bought more fruits?

Answer:

Question 104:

How much less is 28 km than 42.6 km?

Answer:

Question 105:

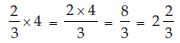
Find: 2.7 × 4

Answer:

Question 106:

Find: 1.8 × 1.2

Answer:

Question 107:

Find: 2.3 × 4.35

Answer:

Question 108:

Find: 0.3 × 10

Answer:

Question 109:

Find: 1.2 × 100

Answer:

Question 110:

Find: 56.3 × 1000

Answer:

Question 111:

Find: 0.2 × 6

Answer:

Question 112:

Find: 8 × 4.6

Answer:

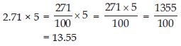
Question 113:

Find: 2.71 × 5

Answer:

Question 114:

Find: 20.1 × 4

Answer:

Question 115:

Find: 0.05 × 7

Answer:

Question 116:

Find: 211.02 × 4

Answer:

Question 117:

Find: 2 × 0.86

Answer:

Question 118:

Find the area of rectangle whose length is 5.7 cm and breadth is 3 cm.

Answer:

Length of rectangle (L) = 5.7 cm
Breadth of rectangle (B) = 3 cm

Question 119:

Find: 1.3 × 10

Answer:

Question 120:

Find: 36.8 × 10

Answer:

Question 121:

Find: 153.7 × 10

Answer:

Question 122:

Find: 168.07 × 10

Answer:

Question 123:

Find: 31.1 × 100

Answer:

Question 124:

Find: 156.1 × 100

Answer:

Question 125:

Find: 3.62 × 100

Answer:

Question 126:

Find: 43.07 × 100

Answer:

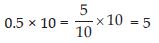
Question 127:

Find: 0.5 × 10

Answer:

Question 128:

Find: 0.08 × 10

Answer:

Question 129:

Find: 0.9 × 100

Answer:

Question 130:

Find: 0.03 × 1000

Answer:

Question 131:

A two-wheeler covers a distance of 55.3 km in one litre petrol. How much distance will it cover in 10 litres of petrol?

Answer:

Distance covered in one litre of petrol = 55.3 km
Distance covered in 10 litres of petrol = 55.3 × 10
= 553/10 × 10 = 553 km
Total distance covered in 10 litres of petrol = 553 km.

Question 132:

Find: 2.5 × 0.3

Answer:

Question 133:

Find: 0.1 × 51.7

Answer:

Question 134:

Find: 0.2 × 316.8

Answer:

Question 135:

Find: 1.3 × 3.1

Answer:

Question 136:

Find: 0.5 × 0.05

Answer:

Question 137:

Find: 11.2 × 0.15

Answer:

Question 138:

Find: 1.07 × 0.02

Answer:

Question 139:

Find: 10.05 × 1.05

Answer:

Question 140:

Find: 101.01 × 0.01

Answer:

Question 141:

Find: 100.01 × 1.1

Answer:

Question 142:

Find: 235.4 ÷ 10

Answer:

Question 143:

Find: 235.4 ÷ 100

Answer:

Question 144:

Find: 235.4 ÷ 1000

Answer:

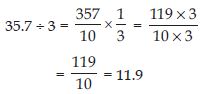
Question 145:

35.7 ÷ 3 = ?

Answer:

Question 146:

25.5 ÷ 3 = ?

Answer:

Question 147:

43.15 ÷ 5 = ?

Answer:

Question 148:

82.44 ÷ 6 = ?

Answer:

Question 149:

Find: 15.5 ÷ 5

Answer:

Question 150:

Find: 126.35 ÷ 7

Answer:

Question 151:

Answer:

Question 152:

Answer:

Question 153:

Answer:

Question 154:

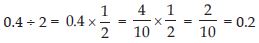
Find: 0.4 ÷ 2

Answer:

Question 155:

Find: 0.35 ÷ 5

Answer:

Question 156:

Find: 2.48 ÷ 4

Answer:

Question 157:

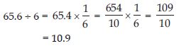
Find: 65.6 ÷ 6

Answer:

Question 158:

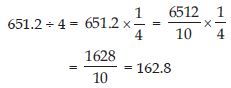
Find: 651.2 ÷ 4

Answer:

Question 159:

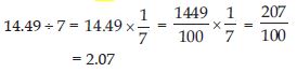
Find: 14.49 ÷ 7

Answer:

Question 160:

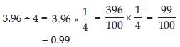
Find: 3.96 ÷ 4

Answer:

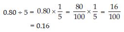
Question 161:

Find: 0.80 ÷ 5

Answer:

Question 162:

Find: 4.8 ÷ 10

Answer:

Question 163:

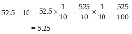
Find: 52.5 ÷ 10

Answer:

Question 164:

Find: 0.7 ÷ 10

Answer:

Question 165:

Find: 33.1 ÷ 10

Answer:

Question 166:

Find: 272.23 ÷ 10

Answer:

Question 167:

Find: 0.56 ÷ 10

Answer:

Question 168:

Find: 3.97 ÷ 10

Answer:

Question 169:

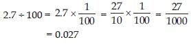
Find: 2.7 ÷ 100

Answer:

Question 170:

Find: 0.3 ÷ 100

Answer:

Question 171:

Find: 0.78 ÷ 100

Answer:

Question 172:

Find: 432.6 ÷ 100

Answer:

Question 173:

Find: 23.6 ÷ 100

Answer:

Question 174:

Find: 98.53 ÷ 100

Answer:

Question 175:

Find: 7.9 ÷ 1000

Answer:

Question 176:

Find: 26.3 ÷ 1000

Answer:

Question 177:

Find: 38.53 ÷ 1000

Answer:

Question 178:

Find: 128.9 ÷ 1000

Answer:

Question 179:

Find: 0.5 ÷ 1000

Answer:

Question 180:

Find: 7 ÷ 3.5

Answer:

Question 181:

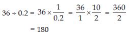
Find: 36 ÷ 0.2

Answer:

Question 182:

Find: 3.25 ÷ 0.5

Answer:

Question 183:

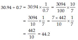
Find: 30.94 ÷ 0.7

Answer:

Question 184:

Find: 0.5 ÷ 0.25

Answer:

Question 185:

Find: 7.75 ÷ 0.25

Answer:

Question 186:

Find: 76.5 ÷ 0.15

Answer:

Question 187:

Find: 37.8 ÷ 1.4

Answer:

Question 188:

Find: 2.73 ÷ 1.3

Answer:

Question 189:

A vehicle covers a distance of 43.2 km in 2.4 litres of petrol. How much distance will it cover in 1 litre of petrol?

Answer:

Distance covered in 2.4 litres of petrol = 43.2 km

Question 190:

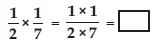
Find the reciprocal of 3/7. Classify the reciprocals as proper fraction, improper fraction and whole number.

Answer:

Question 191:

Find the reciprocal of 5/8. Classify the reciprocals as proper fraction, improper fraction and whole number.

Answer:

Question 192:

Find the reciprocal of 9/7. Classify the reciprocals as proper fraction, improper fraction and whole number.

Answer:

Question 193:

Find the reciprocal of 6/5. Classify the reciprocals as proper fraction, improper fraction and whole number.

Answer:

Question 194:

Find the reciprocal of 12/7. Classify the reciprocals as proper fraction, improper fraction and whole number.

Answer:

Question 195:

Find the reciprocal of 1/8. Classify the reciprocals as proper fraction, improper fraction and whole number.

Answer:

Question 196:

Find the reciprocal of 1/11. Classify the reciprocals as proper fraction, improper fraction and whole number.

Answer: