NCERT Solutions for Class 7 Mathematics Chapter 12 - Exponents and Powers

Question 1:

Give five examples, where a number is expressed in exponential form. Also identify the base and exponent in each case.

Answer:

Question 2:

Express:
729 as a power of 3

Answer:

729 = 3 × 3 × 3 × 3 × 3 × 3
= 36; sixth power of 3 or 3 raised to the power of 6.

Question 3:

Express:
128 as power of 2

Answer:

128 = 2 × 2 × 2 × 2 × 2 × 2 × 2
= 27; seventh power of 2 or 2 raised to the power of 7.

Question 4:

Express:
343 as power of 7

Answer:

343 = 7 × 7 × 7
= 73; 7 cubed or 7 raised to the power of 3.

Question 5:

Find the value of:
26

Answer:

26 = 2 × 2 × 2 × 2 × 2 × 2
= 64

Question 6:

Find the value of:
93

Answer:

93 = 9 × 9 × 9
= 729

Question 7:

Find the value of:
112

Answer:

112 = 11 × 11
= 121

Question 8:

Find the value of:
54

Answer:

54 = 5 × 5 × 5 × 5
= 625

Question 9:

Express the following in exponential form:
6 × 6 × 6 × 6

Answer:

6 × 6 × 6 × 6 = 64 (read as 6 raised to the power of 4 or the 4th power of 6)

Question 10:

Express the following in exponential form:
t × t

Answer:

t × t = t2 (read as t raised to the power of 2 or t squared)

Question 11:

Express the following in exponential form:
b × b × b × b

Answer:

b × b × b × b = b4 (read as b raised to the power of 4 or 4th power of b)

Question 12:

Express the following in exponential form:
5 × 5 × 7 × 7 × 7

Answer:

5 × 5 × 7 × 7 × 7 = 52 × 73 (read as 5 squared 7 cubed)

Question 13:

Express the following in exponential form:
2 × 2 × a × a

Answer:

2 × 2 × a × a = 22 × a2 (read as 2 squared a squared)

Question 14:

Express the following in exponential form:
a × a × a × c × c × c × c × d

Answer:

a × a × a × c × c × c × c × d = a3c4d (read as a cubed 4th power of c, d raised to the power)

Question 15:

Express each of the following numbers using exponential notation:
512

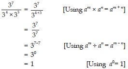
Answer:

Question 16:

Express each of the following numbers using exponential notation:
343

Answer:

To express 343 in exponential notation, we first do its prime factorisation:

Question 17:

Express each of the following numbers using exponential notation:
729

Answer:

Question 18:

Express each of the following numbers using exponential notation:
3125

Answer:

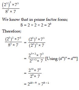
Question 19:

Indentify the greater number, wherever possible, in each of the following?
43 or 34

Answer:

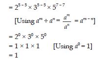
Question 20:

Indentify the greater number, wherever possible, in each of the following?
53 or 35

Answer:

Since, 243 > 125
Therefore 35 is greater than 53.

Question 21:

Indentify the greater number, wherever possible, in each of the following?
28 or 82

Answer:

Question 22:

Indentify the greater number, wherever possible, in each of the following?
1002 or 2100

Answer:

Question 23:

Indentify the greater number, wherever possible, in each of the following?
210 or 102

Answer:

Question 24:

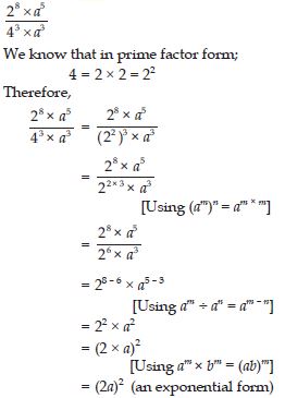
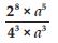
Express each of the following as product of powers of their prime factors:
648

Answer:

Prime factorisation of 648:

Question 25:

Express each of the following as product of powers of their prime factors:
405

Answer:

Question 26:

Express each of the following as product of powers of their prime factors:
540

Answer:

Question 27:

Express each of the following as product of powers of their prime factors:
3600

Answer:

Question 28:

Simplify:
2 × 103

Answer:

Question 29:

Simplify:
72 × 22

Answer:

Question 30:

Simplify:
23 × 5

Answer:

Question 31:

Simplify:
3 × 44

Answer:

Question 32:

Simplify:
0 × 102

Answer:

Question 33:

Simplify:
52 × 32

Answer:

Question 34:

Simplify:
24 × 32

Answer:

Question 35:

Simplify:
32 × 104

Answer:

Question 36:

Simplify:
(– 4)3

Answer:

(– 4)3 = (– 4) × (– 4) × (– 4)
= 16 × (– 4) [(– 1) raised to power is
(– 1) and (– 1) raised to even
power is (+ 1)]
= – 64

Question 37:

Simplify:
(– 3) × (– 2)3

Answer:

(– 3) × (– 2)3 = (– 3) × (– 2) × (– 2) × (– 2)
= 6 × 4 [∴ (– 1) raised to even
power is (+ 1)]
= 24

Question 38:

Simplify:
(– 3)2 × (– 5)2

Answer:

(– 3)2 × (– 5)2 = (– 3) × (– 3) × (– 5) × (– 5)
= 9 × 25 [∴ (– 1) raised to even
power is (+ 1)]
= 225

Question 39:

Simplify:
(– 2)3 × (– 10)3

Answer:

(– 2)3 × (– 10)3 = [(– 2) × (– 2) × (– 2)] ×
[(– 10) × (– 10) × (– 10)]
= (– 8) × (– 1000) [∴ (– 1) raised
to odd power is (– 1)]
= 8000 [∴ (– 1) raised to even
power is (+ 1)]

Question 40:

Compare the following numbers:
2.7 × 1012; 1.5 × 108

Answer:

Question 41:

Compare the following numbers:
4 × 1014; 3 × 1017

Answer:

Question 42:

Simplify and write in exponential form:
25 × 23

Answer:

Question 43:

Simplify and write in exponential form:
p3 × p2

Answer:

Question 44:

Simplify and write in exponential form:
43 × 42

Answer:

Question 45:

Simplify and write in exponential form:
a3 × a2 × a7

Answer:

Question 46:

Simplify and write in exponential form:
53 × 57 × 512

Answer:

Question 47:

Simplify and write in exponential form:
(– 4)100 × (– 4)20

Answer:

Question 48:

Simpify and write in exponential form:
29 ÷ 23

Answer:

Question 49:

Simpify and write in exponential form:
108 ÷ 104

Answer:

Question 50:

Simpify and write in exponential form:
911 ÷ 97

Answer:

Question 51:

Simpify and write in exponential form:
2015 ÷ 2013

Answer:

Question 52:

Simpify and write in exponential form:
713 ÷ 710

Answer:

Question 53:

Simplify and write the answer in exponential form:
(62)4

Answer:

Question 54:

Simplify and write the answer in exponential form:
(22)100

Answer:

Question 55:

Simplify and write the answer in exponential form:
(750)2

Answer:

Question 56:

Simplify and write the answer in exponential form:
(53)7

Answer:

Question 57:

43 × 23

Answer:

Question 58:

25 × b5

Answer:

Question 59:

a2 × t2

Answer:

Question 60:

56 × (– 2)6

Answer:

Question 61:

(– 2)4 × (– 3)4

Answer:

Question 62:

45 ÷ 35

Answer:

Question 63:

25 ÷ b5

Answer:

Question 64:

(– 2)3 ÷ b3

Answer:

Question 65:

p4 ÷ q4

Answer:

Question 66:

56 ÷ (– 2)6

Answer:

Question 67:

Using laws of exponents, simplify and write the answer in exponential form:
32 × 34 × 38

Answer:

Question 68:

Using laws of exponents, simplify and write the answer in exponential form:
615 ÷ 610

Answer:

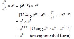
Question 69:

Using laws of exponents, simplify and write the answer in exponential form:
a3× a2

Answer:

Question 70:

Using laws of exponents, simplify and write the answer in exponential form:
7x × 72

Answer:

Question 71:

Using laws of exponents, simplify and write the answer in exponential form:
(52)3 ÷ 53

Answer:

Question 72:

Using laws of exponents, simplify and write the answer in exponential form:
25 × 55

Answer:

Question 73:

Using laws of exponents, simplify and write the answer in exponential form:
a4 × b4

Answer:

Question 74:

Using laws of exponents, simplify and write the answer in exponential form:
(34)3

Answer:

Question 75:

Using laws of exponents, simplify and write the answer in exponential form:
(220 ÷ 215) × 23

Answer:

Question 76:

Using laws of exponents, simplify and write the answer in exponential form:
8t ÷ 82

Answer:

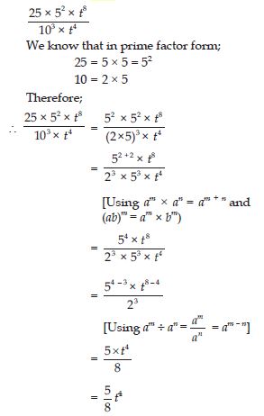
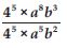
Question 77:

Simplify and express each of the following in exponential form:

Answer:

Question 78:

Simplify and express each of the following in exponential form:

Answer:

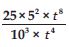
Question 79:

Simplify and express each of the following in exponential form:
254 ÷ 53

Answer:

Question 80:

Simplify and express each of the following in exponential form:

Answer:

Question 81:

Simplify and express each of the following in exponential form:

Answer:

Question 82:

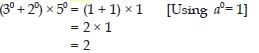
Simplify and express each of the following in exponential form:
20 + 30 + 40

Answer:

Question 83:

Simplify and express each of the following in exponential form:
20 × 30 × 40

Answer:

Question 84:

Simplify and express each of the following in exponential form:
(30 + 20) × 50

Answer:

Question 85:

Simplify and express each of the following in exponential form:

Answer:

Question 86:

Simplify and express each of the following in exponential form:

Answer:

Question 87:

Simplify and express each of the following in exponential form:

Answer:

Question 88:

Simplify and express each of the following in exponential form:

(23 × 2)2

Answer:

Question 89:

10 × 1011 = 10011

  1. TRUE
  2. FALSE
Answer:

FALSE

Question 90:

23 > 52

  1. TRUE
  2. FALSE
Answer:

FALSE

Question 91:

23 × 32 = 65

  1. TRUE
  2. FALSE
Answer:

FALSE

Question 92:

30 = (1000)0

  1. TRUE
  2. FALSE
Answer:

TRUE

Question 93:

Express each of the following as a product of prime factors only in exponential form:
108 × 192

Answer:

Question 94:

Express each of the following as a product of prime factors only in exponential form:
270

Answer:

Question 95:

Express each of the following as a product of prime factors only in exponential form:
729 × 64

Answer:

Question 96:

Express each of the following as a product of prime factors only in exponential form:
768

Answer:

Question 97:

Simplify:

Answer:

Question 98:

Simplify:

Answer:

Question 99:

Simplify:

Answer:

Question 100:

Expand by expressing powers of 10 in the exponential form:
172

Answer:

Question 101:

Expand by expressing powers of 10 in the exponential form:
5,643

Answer:

Question 102:

Expand by expressing powers of 10 in the exponential form:
56,439

Answer:

Question 103:

Expand by expressing powers of 10 in the exponential form:
1,76, 428

Answer:

Question 104:

Write the following numbers in the expanded forms:
279404

Answer:

Question 105:

Write the following numbers in the expanded forms:
3006194

Answer:

Question 106:

Write the following numbers in the expanded forms:
2806196

Answer:

Question 107:

Write the following numbers in the expanded forms:
120719

Answer:

Question 108:

Write the following numbers in the expanded forms:
20068

Answer:

Question 109:

Find the number from each of the following expanded forms:
8 × 104 + 6 × 103 + 0 × 102 + 4 × 101 + 5 × 100

Answer:

Question 110:

Find the number from each of the following expanded forms:
4 × 105 + 5 × 103 + 3 × 102 + 2 × 100

Answer:

Question 111:

Find the number from each of the following expanded forms:
3 × 104 + 7 × 102 + 5 × 100

Answer:

Question 112:

Find the number from each of the following expanded forms:
9 × 105 + 2 × 102 + 3 × 101

Answer:

Question 113:

Express the following numbers in standard form:
5,00,00,000

Answer:

We know that in standard form; any number is expressed as decimal number between 1.0 and 10.0 multiplied by a power of 10. Thus,
5,00,00,000 = 5.0 × 100,00,000 = 5.0 × 107

Question 114:

Express the following numbers in standard form:
70,000,00

Answer:

We know that in standard form; any number is expressed as decimal number between 1.0 and 10.0 multiplied by a power of 10. Thus,
70,00,000 = 7.0 × 10,00,000 = 7.0 × 106

Question 115:

Express the following numbers in standard form:
3,18,6500,000

Answer:

We know that in standard form; any number is expressed as decimal number between 1.0 and 10.0 multiplied by a power of 10. Thus,
3,18,65,00,000 = 3.1865 × 100,00,00,000 = 3.1865 × 109

Question 116:

Express the following numbers in standard form:
3,90,878

Answer:

We know that in standard form; any number is expressed as decimal number between 1.0 and 10.0 multiplied by a power of 10. Thus,
3,90,878 = 3.90878 × 1,00,000 = 3.90878 × 105

Question 117:

Express the following numbers in standard form:
39087.8

Answer:

We know that in standard form; any number is expressed as decimal number between 1.0 and 10.0 multiplied by a power of 10. Thus,
39087.8 = 3.90878 × 10,000 = 3.90878 × 104

Question 118:

Express the following numbers in standard form:
3908.78

Answer:

We know that in standard form; any number is expressed as decimal number between 1.0 and 10.0 multiplied by a power of 10. Thus,
3908.78 = 3.90878 × 1000 = 3.90878 × 103

Question 119:

Express the number appearing in the following statements in standard form.
The mean distance between Earth and Moon is 384,000,000 m.

Answer:

As we know that in standard form; any number is expressed as a decimal number between 1.0 and 10.0 multiplied by a power of 10.
Therefore,
The distance between Earth and Moon = 384,0,00,000 = 3.84 × 100,000,000 = 3.84 × 108 (required standard form)

Question 120:

Express the number appearing in the following statements in standard form.
Speed of light in vacuum is 300,000,000 m/s.

Answer:

As we know that in standard form; any number is expressed as a decimal number between 1.0 and 10.0 multiplied by a power of 10.
Therefore,
Speed of light in vacuum= 300,000,000 m/s = 3.0 × 100,000,000 = 3 × 108 m/s (required standard form)

Question 121:

Express the number appearing in the following statements in standard form.
Diameter of the Earth is 1,27,56,000 m.

Answer:

As we know that in standard form; any number is expressed as a decimal number between 1.0 and 10.0 multiplied by a power of 10.
Therefore,
Diameter of Earth = 1,27,56,000 m = 1.2756 × 1,00,00,000 = 1.2756 × 107 m (required standard form)

Question 122:

Express the number appearing in the following statements in standard form.
Diameter of the Sun is 1,400,000,000 m.

Answer:

As we know that in standard form; any number is expressed as a decimal number between 1.0 and 10.0 multiplied by a power of 10.
Therefore,
Diameter of Sun = 1,400,000,000 m = 1.4 × 1,000,000,000 = 1.4 × 109 m (required standard form)

Question 123:

Express the number appearing in the following statements in standard form.
In a galaxy there are on an average 100,000,000,000 stars.

Answer:

As we know that in standard form; any number is expressed as a decimal number between 1.0 and 10.0 multiplied by a power of 10.
Therefore,
In a galaxy number of average stars = 100,000,000,000 = 1.0 × 100,000,000,000 = 1.0 × 1011 (required standard form)

Question 124:

Express the number appearing in the following statements in standard form.
The universe is estimated to be about 12,000,000,000 years old.

Answer:

As we know that in standard form; any number is expressed as a decimal number between 1.0 and 10.0 multiplied by a power of 10.
Therefore,
Estimated age of universe = 12,000,000,000 years = 1.2 × 10,000,000,000 = 1.2 × 1010 years (required standard form)

Question 125:

Express the number appearing in the following statements in standard form.
The distance of the Sun the from the centre of the Milky Way Galaxy is estimated to be 300,000,000,000,000,000,000 m.

Answer:

As we know that in standard form; any number is expressed as a decimal number between 1.0 and 10.0 multiplied by a power of 10.
Therefore,
Estimated distance of Sun from the centre of the Milky Way Galaxy = 300,000,000,000,000,000,000 m = 3.0 × 100,000,000,000,000,000,000 m = 3.0 × 1020 m (required standard form)

Question 126:

Express the number appearing in the following statements in standard form.
60,230,000,000,000,000,000,000 molecules are contained in a drop of water weighing 1.8 gm.

Answer:

As we know that in standard form; any number is expressed as a decimal number between 1.0 and 10.0 multiplied by a power of 10.
Therefore,
In a drop of water weighing 1.8 gm; number of water molecules
= 60,230,000,000,000,000,000,000 = 6.023 × 10,000,000,000,000,000,000,000 = 6.023 × 1022 (required standard form)

Question 127:

Express the number appearing in the following statements in standard form.
The earth has 1,353,000,000 cubic km of sea water.

Answer:

As we know that in standard form; any number is expressed as a decimal number between 1.0 and 10.0 multiplied by a power of 10.
Therefore,
Quantity of Sea water on Earth = 1,353,000,000 cubic km = 1.353 × 1,000,000,000 = 1.353 × 109 cubic km (required standard form)

Question 128:

Express the number appearing in the following statements in standard form.
The population of India was about 1,027,000,000 in March, 2001.

Answer:

As we know that in standard form; any number is expressed as a decimal number between 1.0 and 10.0 multiplied by a power of 10.
Therefore,
Population of India in March, 2001 = 1,027,000,000 = 1.027 × 1,000,000,000 = 1.027 × 109 (required standard form)