NCERT Solutions for Class 9 Math Chapter 13 - Surface Area and Volumes

Question 1:

A plastic box 1.5 m long, 1.25 m wide and 65 cm deep is to be made. It is to be open at the top. Ignoring the thickness of the plastic sheet, determine:
The area of the sheet required for making the box.

Answer:

Let length of plastic box (l) = 1.5 m
width (b) = 1.25 m
and depth (h) = 65 cm

Question 2:

A plastic box 1.5 m long, 1.25 m wide and 65 cm deep is to be made. It is to be open at the top. Ignoring the thickness of the plastic sheet, determine:

Answer:

Question 3:

Answer:

Let length of the room (l) = 5 m
breadth (b) = 4 m
and hight (h) = 3 m
Area of the four walls of room
= Lateral surface area
= 2 (bh + hl)
= 2 (b + l) h
= 2 (4 + 5) 3
= 2 × 9 × 3
= 54 m2
Area of the ceiling = l × b
= (5 × 4) m2
= 20 m2

Question 4:

Answer:

Let length of the rectangular hall = l m
breadth = b m
Perimeter of floor of rectangular hall
= 2 (l + b) = 250 m ... (i)
Now area of the four walls of the room

Question 5:

The paint in a certain container is sufficient to paint an area equal to 9.375 m2. How many bricks of dimensions 22.5 cm × 10 cm × 7.5 cm can be painted out of this container?

Answer:

Let length of brick (l) = 22.5 cm
breadth (b) = 10 cm
and height (h) = 7.5 cm
Surface area of one brick = 2 (lb + bh + hl)
= 2 (22.5 × 10 + 10 × 7.5 + 7.5 × 22.5)
= 2 (225 + 75 + 168.75)
= 2 × 468.75

Question 6:

A cubical box has each edge 10 cm and a cuboidal box is 10 cm wide, 12. 5 cm long and 8 cm high. Which box has the greater lateral surface area and by how much?

Answer:

Let length of cubical box, l = 10 cm
Lateral surface area of cubical box
= Area of its four walls

= 4 times area of a wall
= 4 l2
= 4 (10)2
= 4 (10 × 10)
= 4 × 100
= 400 cm2 ... (a)
Now, for cuboidal box
length, l = 12.5 cm
width, b = 10 cm
and height, h = 8 cm
Lateral surface area of cuboidal box
= Area of its four walls

= 2(l + b) h
= 2 (12.5 + 10) 8
= 2 (22.5) 8 = 2 × 22.5 × 8
= 360 cm2 ... (b)
From (a) and (b) we observe that cubical box has the greater lateral surface area than cuboidal box by (400 – 360) cm2 i.e. by 40 cm2.

Question 7:

A cubical box has each edge 10 cm and a cuboidal box is 10 cm wide, 12. 5 cm long and 8 cm high.
Which box has the smaller total surface area and by how much?

Answer:

Let length of cubical box, l = 10 cm
Total surface of a cubical box = 6 l2
= 6 (10)2
= 6 × 10 × 10
= 600 cm2 ... (c)
Total surface area of cuboidal box
= 2 (lb + bh + hl)
= 2 (12.5 × 10 + 10 × 8 + 8 × 12.5)
= 2 (125 + 80 + 100)
= 2 × 305
= 610 cm2 ... (d)
From (c) and (d) we observe that the cubical box has the smaller total surface area than the cuboidal box by (610 – 600) cm2 i.e., by 10 cm2.

Question 8:

A small indoor greenhouse (herbarium) is made entirely of glass panes (including base) held together with tape. It is 30 cm long, 25 cm wide and 25 cm high.
What is the surface area of the glass?

Answer:

Let length of glass herbarium, l = 30 cm
breadth (width), b = 25 cm
and height, h = 25 cm

Total surface area of the glass
= 2 (lb + bh + hl)
= 2 (30 × 25 + 25 × 25 + 25 × 30)
= 2 (750 + 625 + 750)
= 2 × 2125 = 4250 cm2
Hence, 4250 cm2 of the glass is required to make a herbarium.

Question 9:

A small indoor greenhouse (herbarium) is made entirely of glass panes (including base) held together with tape. It is 30 cm long, 25 cm wide and 25 cm high.
How much of tape is needed for all the 12 edges?

Answer:

Tape is used at 12 edges
i.e. at 4 lengths, 4 breadths and 4 heights.
Total length of tape = 4 (l + b + h)
= 4 (30 + 25 + 25) cm
= 4 (80) cm
= 320 cm
Hence, 320 cm of the tape is needed to fix 12 edges of herbarium.

Question 10:

Shanti Sweets Stall was placing an order for making cardboard boxes for packing their sweets. Two sizes of boxes were required. The dimensions of bigger box are 25 cm by 20 cm by 5 cm and the dimensions of smaller box are 15 cm by 12 cm by 5 cm. For all the overlaps 5% of the total surface area is required extra. If the cost of the cardboard is `4 for 1000 cm2, find the cost of cardboard required for supplying 250 boxes of each kind.

Answer:

Let length of bigger cardboard box, L = 25 cm
breadth, B = 20 cm
and height, H = 5 cm

Total surface area of bigger cardboard box
= 2(LB + BH + HL)
= 2 (25 × 20 + 20 × 5 + 5 × 25) cm2
= 2 (500 + 100 + 125) cm2
= 2 (725) cm2
= 1450 cm2
5% extra surface of total surface area is required for all the overlaps.

Question 11:

Parveen wanted to make a temporary shelter for her car, by making a box-like structure with tarpaulin that covers all the four sides and the top of the car (with the front face as a flap which can be rolled up). Assuming that the stitching margins are very small, and therefore negligible, how much tarpaulin would be required to make the shelter of height 2.5 m with base dimensions 4 m × 3 m?

Answer:

Let length of base, l = 4 m
and breadth of base, b = 3 m
and height of structure, h = 2.5 m
Tarpaulin required to make the shelter
= Surface area of four walls + Area
of the roof
= 2 (l + b) h + lb
= 2 (4 + 3) 2.5 + 4 × 3
= 2 × 7 × 2.5 + 12
= 35 + 12
= 47 m2
Hence, 47 m2 of the tarpaulin is required to make the shelter for the car.

Question 12:

The curved surface area of a right circular cylinder of height 14 cm is 88 cm2. Find the diameter of the base of the cylinder.

Answer:

Let radius of base of right circular cylinder = r cm
Height of cylinder, h = 14 cm
Curved surface area of cylinder = 88 cm2
2 π rh = 88

r = 1 cm Diameter of the base of cylinder = 2r = 2 × 1 = 2 cm

Question 13:

It is required to make a closed cylindrical tank of height 1 m and base diameter 140 cm from a metal sheet. How many square metres of the sheet are required for the same?

Answer:

Let radius of base of cylinder tank = r cm
Diameter, 2r = 140 cm

r = 70 cm

Question 14:

A metal pipe is 77 cm long. The inner diameter of a cross section is 4 cm, the outer diameter being 4.4 cm [see fig.]. Find its

inner curved surface area,

Answer:

Question 15:

A metal pipe is 77 cm long. The inner diameter of a cross section is 4 cm, the outer diameter being 4.4 cm [see fig.]. Find its

outer curved surface area,

Answer:

Length of pipe = 77 cm
Outer dimeter of pipe = 4.4 cm

Question 16:

A metal pipe is 77 cm long. The inner diameter of a cross section is 4 cm, the outer diameter being 4.4 cm [see fig.]. Find its

total surface area

Answer:

Question 17:

The diameter of a roller is 84 cm and its length is 120 cm. It takes 500 complete revolutions to move once over to level a playground. Find the area of the playground in m2.

Answer:

Question 18:

Answer:

Question 19:

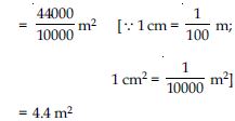
Curved surface area of a right circular cylinder is 4.4 m2. If the radius of the base of the cylinder is 0.7 m, find its height.

Answer:

Curved surface area of cylinder = 4.4 m2
Radius of cylinder, r = 0.7 m
Let height of cylinder = h
2 π rh = 4.4

Question 20:

The inner diameter of a circular well is 3.5 m. It is 10 m deep. Find its inner curved surface area.

Answer:

Question 21:

The inner diameter of a circular well is 3.5 m. It is 10 m deep. Find

Answer:

Inner diameter of circular well = 3.5

Depth of well = 10 m
The well is in the form of a cylinder.

Question 22:

In a hot water heating system, there is a cylindrical piping of length 28 m and diameter 5 cm. Find the total radiating surface in the system.

Answer:

Let length (i.e., height) of cylindrical pipe, h = 28 m and radius of cylindrical pipe = r
2r = 5 cm

Question 23:

Find the lateral or curved surface area of a petrol storage tank that is 4.2 m in diameter and 4.5 m high.

Answer:

Let radius of cylindrical petrol
storage tank = r
Diameter, 2r = 4.2 m

Question 24:

Find

Answer:

Question 25:

In figure, you see the frame of a lampshade. It is to be covered with a decorative cloth. The frame has a base diameter of 20 cm and height of 30 cm. A margin of 2.5 cm is to be given for folding it over the top and bottom of the frame. Find how much cloth is required for covering the lampshade [see fig.].

Answer:

Frame is divided into three equal cylindrical parts
Let h be the height of each part

r = 10 cm
Let hight of top and bottom parts of frame due to
margin of 2.5 cm given for folding = H
H = r + 2.5
H = 10 + 2.5
H = 12.5 cm
Now, cloth required for covering the lampshade
= Curved surface area of top part
+ Curved surface area of middle part
+ Curved surface area of bottom part
= 2 π rH + 2 π rh + 2 π rH
= 2 π r (H + h + H)

Question 26:

The students of a Vidyalaya were asked to participate in a competition for making and decorating penholders in the shape of a cylinder with a base, using cardboard. Each penholder was to be of radius 3 cm and height 10.5 cm. The Vidyalaya was to supply the competitors with cardboard. If there were 35 competitors, how much cardboard was required to be bought for the competition?

Answer:

Let radius of a cylindrical penholder, r = 3 cm
and height of cylindrical pen holder, h = 10.5 cm
Cardboard required for a pen holder
= Curved surface area of a pen holder
+ Area of the circular base

Question 27:

Diameter of the base of a cone is 10.5 cm and its slant height is 10 cm. Find its curved surface area and its total surface area.

Answer:

Question 28:

Find the total surface area of a cone, if its slant height is 21 m and diameter of its base is 24 m.

Answer:

Slant height of cone, l = 21 m
Diameter of cone, d = 24 m

Question 29:

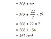
Curved surface area of a cone is 308 cm2, and its slant height is 14 cm. Find radius of the base.

Answer:

Question 30:

Curved surface area of a cone is 308 cm2, and its slant height is 14 cm. Find total surface area of the cone.

Answer:

Total surface area of the cone = Curved surface area of the cone + Area of circular base of cone

Question 31:

A conical tent is 10 m high and the radius of its base is 24 m. Find slant height of the tent.

Answer:

Height of conical tent, h = 10 m
Radius of conical tent, r = 24 m

Question 32:

A conical tent is 10 m high and the radius of its base is 24 m. Find
cost of the canvas required to make the tent,

Answer:

Height of conical tent, h = 10 m
Radius of conical tent, r = 24 m
Canvas required to make the tent
= Curved surface area of tent
= π rl

Question 33:

What length of tarpaulin 3 m wide will be required to make conical tent of height 8 m and base radius 6 m? Assume that the extra length of material that will be required for stitching margins and wastage in cutting is approximately 20 cm (use π = 3.14).

Answer:

Height of tent (h) = 8 m
Radius of tent (r) = 6 m

Question 34:

Answer:

Slant height of conical tomb (l) = 25 m
Diameter of conical tomb (d) = 14 m

Question 35:

A Joker’s cap is in the form of a right circular cone of base radius 7 cm and height 24 cm. Find the area of the sheet required to make 10 such caps.

Answer:

Radius of cap, r = 7 cm
Height of cap, h = 24 cm
The cap is in the form of a cone.

Question 36:

A bus stop is barricaded from the remaining part of the road, by using 50 hollow cones made of recycled cardboard. Each cone has a base diameter of 40 cm and height 1 m. If the outer side of each of the cones is to be painted and the cost of painting is `12 per m2, what will be the cost of painting all these cones?

Answer:

Let radius of the circular base of cone = r
Diameter; 2r = 40

Question 37:

Find the surface area of a sphere of radius.
10.5 cm

Answer:

Question 38:

Find the surface area of a sphere of radius.
5.6 cm

Answer:

Question 39:

Find the surface area of a sphere of radius.
14 cm

Answer:

Question 40:

Find the surface area of sphere of diamter:
14 cm

Answer:

Question 41:

Find the surface area of sphere of diamter:
21 cm

Answer:

Question 42:

Find the surface area of sphere of diamter:
3.5 m

Answer:

Question 43:

Find the total surface area of a hemisphere of radius 10 cm. (Use π = 3.14)

Answer:

Let radius of hemisphere = r cm
r = 10 cm

Question 44:

The radius of a spherical balloon increases from 7 cm to 14 cm as air is being pumped into it. Find the ratio of surface areas of the balloon in the two cases.

Answer:

In first case:
Radius of balloon; r = 7 cm
Surface area of balloon = 4 π r2
= 4 π × 7 × 7 cm2 (I)

In second case:
Radius of balloon, R = 14 cm

Question 45:

Answer:

Question 46:

Find the radius of a sphere whose surface area is 154 cm2.

Answer:

Surface area of sphere = 154 cm2
Let radius of sphere = r

Question 47:

The diameter of the moon is approximately one fourth the diameter of the earth. Find the ratio of their surface area.

Answer:

Question 48:

A hemispherical bowl is made of steel, 0.25 cm thick. The inner radius of the bowl is 5 cm. Find the outer curved surface area of the bowl.

Answer:

Inner radius of bowl, r = 5 cm
Thickness of steel, t = 0.25 cm
Outer radius of bowl, R = r + t
= 5 + 0.25 = 5.25 cm
Outer curved surface area of bowl = 2 π R2

Question 49:

A right circular cylinder just encloses a sphere of radius r (see fig.). Find

surface area of the sphere,

Answer:

Radius of sphere = r
Surface area of sphere = 4 π r2

Question 50:

A right circular cylinder just encloses a sphere of radius r (see fig.). Find

curved surface area of the cylinder,

Answer:

The cylinder just encloses the sphere in it.
The height of cylinder will be equal to diameter of sphere and radius of cylinder will be equal to radius of sphere.
Now radius of cylinder = r
Height of cylinder, h = 2r
Curved surface area of cylinder
= 2 π rh
= 2 π r × 2r [ h = 2r]
= 4 π r2

Question 51:

A right circular cylinder just encloses a sphere of radius r (see fig.). Find

ratio of the areas obtained in (i) and (ii).

Answer:

Question 52:

A matchbox 4 cm × 2.5 cm × 1.5 cm. What will be the volume a packet containing 12 such boxes?

Answer:

Let length, l = 4 cm, breadth, b = 2.5 cm and height,
h = 1.5 cm for a cuboidal matchbox.

Volume of a matchbox = l × b × h
= (4 × 2.5 × 1.5) cm3
= 15 cm3
Now we have, volume of a matchbox = 15 cm3
Volume of a packet containing 12 such match - boxes
= (12 × 15) cm3 = 180 cm3

Question 53:

A cuboidal water tank is 6 m long, 5 m wide and 4.5 m deep. How many litres of water can it hold? (1 m3 = 1000 l)

Answer:

Volume of water in cuboidal tank
= 6 m × 5 m × 4.5 m
[ Volume of a cuboid = length × breadth × height]

= 135 m3
= 135 × 1000 litres
[ 1 m3 = 1000 litres]
= 1,35,000 litres
Hence, tank can hold 1,35,000 litres of water.

Question 54:

A cuboidal vessel is 10 m long and 8 m wide. How high must it be made to hold 380 cubic metres of a liquid?

Answer:

Let height of cuboidal vessel = h
Volume of liquid in cuboidal vessel = 380 cm3
So, Length × Breadth × Height = 380 cm3
10 m × 8 m × h = 380

h = 4.75 m
Hence, cuboidal vessel is 4.75 m high.

Question 55:

Answer:

Question 56:

The capacity of a cuboidal tank is 50000 litres of water. Find the breadth of the tank, if its length and depth are respectively 2.5 m and 10 m. (1000 L = 1m3).

Answer:

Let breadth of cuboidal tank be b m.
Capacity of cuboidal tank = 50000 litres
Length × Breadth × Height = 50000 litres

Question 57:

A village, having a population of 4000, requires 150 litres of water per head per day. It has a tank measuring 20 m by 15 m by 6 m. For how many days will the water of this tank last?

Answer:

Capacity of cuboidal tank
= Length × Breadth × Height
= 20 m × 15 m × 6 m
= 1800 m3)
= 1800 × 1000 litres
[ 1 m3 = 1000 litres]
= 1800000 litres
Water required by per head per day = 150 litres
Water required by 4000 persons per day
= (150 × 4000) litres
= 600000 litres
Number of days the water will last

Question 58:

A godown measures 40 m × 25 m × 15 m. Find the maximum number of wooden crates each measuring 1.5 m × 1.25 m × 0.5 m that can be stored in the godown.

Answer:

Capacity (volume) of cuboidal godown
= 40 m × 25 m × 15 m
[ Capacity of cuboid = l × b × h]
= 15000 m3)
Capacity (volume) of a wooden crate
= 1.5 m × 1.25 m × 0.5 m = 0.9375 m3)
Maximum number of crates that can be stored in the godown

Question 59:

A solid cube of side 12 cm is cut into eight cubes of equal volume. What will be the side of the new cube? Also, find the ratio between their surface areas.

Answer:

Question 60:

A river 3 m deep and 40 m wide is flowing at the rate of 2 km per hour. How much water will fall into the sea in a minute?

Answer:

Since water flows at the rate of 2 km per hour. So,
the volume of water flowing into the sea in one
hour = Volume of a cuboid
= l × b × h
= 2000 m × 40 m × 3 m
[ 1 km = 1000 m]
= 240000 m3
Now,
Volume of water flowing into sea in 1 hour i.e., in 60 minutes = 240000 m3
Volume of water flowing into sea in 1 minute

Question 61:

The circumference of the base of a cylindrical vessel is 132 cm and its height is 25 cm. How many litres of water can it hold? (1000 cm3 = 1l)

Answer:

Question 62:

The inner diameter of a cylindrical wooden pipe is 24 cm and its outer diameter is 28 cm. The length of the pipe is 35 cm. Find the mass of the pipe, if 1 cm3 of wood has a mass of 0.6

Answer:

Question 63:

A soft drink is available in two packs (i) a tin can with a rectangular base of length 5 cm and width 4 cm, having height of 15 cm (ii) a plastic cylinder with circular base of diameter 7 cm and height 10 cm. Which container has greater capacity and how much?

Answer:

In the First case:
Length of rectangular base = 5 cm
Width of rectangular base = 4 cm
Height of tin can = 15 cm
Capacity of tin can
= Length × Width × Height
= 5 cm × 4 cm × 15 cm
= 300 cm3 ... (I)
In the Second case:
Diameter of base of cylinder = 7 cm

Question 64:

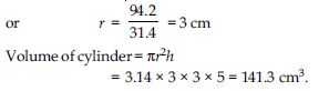
If the lateral surface of a cylinder is 94.2 cm2 and its height is 5 cm, then find (i) radius of its base (ii) Its volume. (Use π = 3.14)

Answer:

Lateral surface area of cylinder = 94.2 cm2 ...(1)
Heigh of cylinder, h = 5 cm
Let radius of base = r
Lateral surface area of cylinder = 2 π rh
= 2 × 3.14 × r × 5 = 31.4r ... (2)
From (1) and (2), we get
31.4r = 94.2

Question 65:

inner curved surface area of the vessel,

Answer:

Inner curved surface area of vessel

Question 66:

radius of the base,

Answer:

Question 67:

capacity of the vessel.

Answer:

Now, r = 1.75 m
h = 10 m
Capacity of vessel
= Volume of cylinder
= π r2h

Question 68:

The capacity of a closed cylindrical vessel of height 1 m is 15.4 litres. How many square metres of metal sheet would be needed to make it?

Answer:

Question 69:

A lead pencil consists of a cylinder of wood with a solid cylinder of graphite filled in the interior. The diameter of the pencil is 7 mm and diameter of graphite is 1 mm. If the length of the pencil is 14 cm, find the volumes of the wood and that of the graphite.

Answer:

Let radius of graphite = r
Diameter, 2r = 1 mm

Question 70:

A patient in a hospital is given soup daily in a cylindrical bowl of diameter 7 cm. If the bowl is filled with soup to a height of 4 cm, how much soup the hospital has to prepare daily to serve 250 patients?

Answer:

Let radius of circular base of cylindrical bowl = r
Diameter, 2r = 7 cm

Question 71:

Find the volume of the right circular cone with radius 6 cm, height 7 cm

Answer:

Question 72:

Find the volume of the right circular cone with
radius 3.5 cm, height 12 cm.

Answer:

Question 73:

Find the capacity of a conical vessel with radius 7 cm, slant height 25 cm

Answer:

Question 74:

Find the capacity of a conical vessel with
height 12 cm, slant height 13 cm.

Answer:

Question 75:

The height of a cone is 15 cm. If its volume is 1570 cm3, find the radius of the base.
(Use π = 3.14)

Answer:

Question 76:

If the volume of a right circular cone of height 9 cm is 48 π cm3, find the diameter of its base.

Answer:

Volume of cone = 48 π cm3 ...(I)
Height of cone, h = 9 cm
Let radius of cone = r

Question 77:

A conical pit of top diameter 3.5 m is 12 m deep. What is its capacity in kiloliters?

Answer:

Question 78:

The volume of a right circular cone is 9856 cm3. If the diameter of the base is 28 cm, find height of the cone.

Answer:

Question 79:

The volume of a right circular cone is 9856 cm3. If the diameter of the base is 28 cm, find slant height of the cone.

Answer:

Question 80:

The volume of a right circular cone is 9856 cm3. If the diameter of the base is 28 cm, find curved surface area of the cone.

Answer:

Question 81:

A right triangle ABC with sides 5 cm, 12 cm and 13 cm is revolved about the side 12 cm. Find the volume of the solid so obtained.

Answer:

When right triangle ABC is revolved about side 12 cm, then the solid formed is a cone.
The side 12 cm becomes height of cone and 5 cm becomes radius of base of cone.
Now, Radius of cone, r = 5 cm
Height of cone, h = 12 cm

Question 82:

If the triangle ABC in the question 7 above is revolved about the side 5 cm, then find the volume of the solid so obtained. Find, also, the ratio of the volume of the two solids obtained in questions 7 and 8.

Answer:

When right triangle is revolved about side 5 cm then solid formed is a cone.
The side 12 cm becomes radius of base of cone and side 5 cm becomes height of cone

Question 83:

Find the volume of the largest right circular cone that can be fitted in a cube whose edge is 14 cm.

Answer:

Diameter of the circular base of the largest right
circular cone fitted in a cube = Edge of that cube
2r = 14
[where r is the radius of the circular base of cone]

Question 84:

A heap of wheat is in the form of a cone whose diameter is 10.5 m and height is 3 m. Find its volume. The heap is to be covered by canvas to protect it from rain. Find the area of the canvas required.

Answer:

Question 85:

Find the volume of a sphere whose radius is 7 cm.

Answer:

Question 86:

Find the volume of a sphere whose radius is 0.63 cm.

Answer:

Question 87:

Find the amount of water displaced by a solid 4spherical ball of diameter 28 cm.

Answer:

Question 88:

Find the amount of water displaced by a solid 4spherical ball of diameter 0.21 m.

Answer:

Question 89:

The diameter of a metallic ball is 4.2 cm. What is the mass of the ball, if the density of the metal is 8.9 g per cm3?

Answer:

Question 90:

The diameter of the moon is approximately onefourth the diameter of the earth. What fraction of the volume of the earth is the volume of the moon?

Answer:

Question 91:

How many litres of milk can a hemispherical bowl of diameter 10.5 cm hold?

Answer:

Question 92:

A hemispherical tank is made up of an iron sheet 1 cm thick. If the inner radius is 1 m, then find the volume of the iron used to make the tank.

Answer:

Inner radius of hemispherical tank = 1 m
r = 100 cm
Thickness of sheet = 1 cm
Outer radius of hemispherical tank
R = 100 + 1 = 101 cm
Volume of iron used to make the tank
= Volume of outer hemisphere
– Volume of inner hemisphere

Question 93:

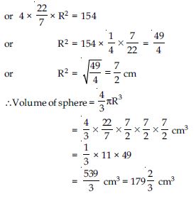
Find the volume of a sphere whose surface area is 154 cm2.

Answer:

Surface area of sphere = 154 cm2
Let radius of sphere = R
Surface area of sphere = 4 π R2
4 π R2 = 154

Question 94:

inside surface area of the dome.

Answer:

Question 95:

volume of the air inside the dome.

Answer:

Question 96:

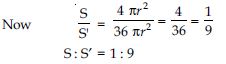
Twenty seven solid iron spheres, each of radius r and surface area S are melted to form a sphere with surface area S′. Find the radius r ′ area of the new sphere.

Answer:

Question 97:

Twenty seven solid iron spheres, each of radius r and surface area S are melted to form a sphere with surface area S′. Find the ratio of S and S′.

Answer:

Now S is surface area of sphere and r is the radius
S = 4 π r2 ...(III)
S′ is the surface area of new sphere and r′ is the radius
S′ = 4 π r′2 = 4 π (3r)2 [ r′ = 3r]
S′ = 4 π × 3r × 3r = 36 π r2 ... (IV)

Question 98:

A capsule of medicine is in th shape of a sphere of diameter 3.5 mm. How much medicine (in mms) is needed to fill this capsule?

Answer:

Question 99:

A wooden bookshelf has external dimensions as follows: Height = 110 cm, Depth = 25 cm, Breadth = 85 cm [See fig.]. The thickness of the planks is 5 cm everywhere. The external faces are to be polished and the inner faces are to be painted. If the rate of polishing is 20 paise per cm2 and the rate of painting is 10 paise per cm2, find the total expenses required for polishing and painting the surface of the bookshelf.

Answer:

Question 100:

The front compound wall of a house is decorated by wooden spheres of diameter 21 cm, placed on small supports as shown in Fig. Eight such spheres are used for this purpose, and are to be painted silver. Each support is a cylinder of radius 1.5 cm and height 7 cm and is to be painted black. Find the cost of paint required if silver paint costs 25 paise per cm2 and black paint costs 5 paise per cm2.

Answer:

Let radius of a wooden sphere = R
diameter, 2R = 21 cm

Question 101:

If diameter of a sphere is decreased by 25% then what per cent does its curved surface area decrease?

Answer: