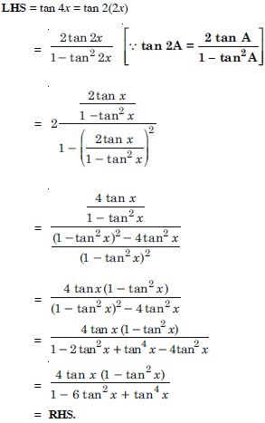
NCERT Solutions for Class 11 Math Chapter 3 - Trigonometric

Free NCERT Solutions at Aasoka helps students of Class 11 to understand the topics of the chapter “Trigonometric”. Aasoka offers questions and solutions designed as per the latest CBSE syllabus. These questions are beneficial for students to strengthen their mathematical skills as they can practice daily with the NCERT Solutions for Class 11. With the help of these solutions, students can excel in their Maths exams.

In the chapter “Trigonometric” of Class 11 Maths, students will get to learn the definition of trigonometric functions with the help of unit circle, general solution of trigonometric equations, positive and negative angles, proofs and simple applications of sine and cosine formulae; deducing the identities; expressing sin and cos in terms of sin x, sin y, cos x, and cos y; measuring angles in radians and in degrees and conversion from one measure to another, signs of trigonometric functions and a sketch of their graphs, etc.

Question 1:

Convert 40 ° 20′ into radian measure.

Answer:

Question 2:

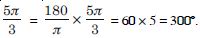
Convert 6 radians into degree measure.

Answer:

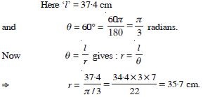
Question 3:

Find the radius of the circle in which a
central angle of 60 ° intercepts an arc of length 37·4 cm. (Use π = 22/7)

Answer:

Question 4:

The minute hand of a watch is 1·5 cm long. How far does its tip move in 40 minutes ?
(Use π = 3.14)

Answer:

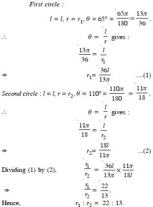
Question 5:

If the arcs of the same length in two circles subtend angles 65 ° and 110 ° at the centre, find the ratio of their radii.

Answer:

Question 6:

Answer:

Question 7:

Answer:

Question 8:

Answer:

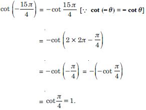
Question 9:

Find the value of cos (– 1710 ° ).

Answer:

cos(– 1710 ° ) = cos (– 1710 ° + 5 × 360 ° )
= cos (– 1710 ° + 1800 ° )
= cos 90 ° = 0.

Question 10:

Answer:

Question 11:

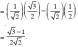
Find the value of sin 15 ° .

Answer:

sin 15 ° = sin (45 ° – 30 ° )
= sin 45 ° cos 30 ° – cos 45 ° sin 30 °

Question 12:

Answer:

Question 13:

Answer:

Question 14:

Show that :
tan 3x tan 2x tan x = tan 3x – tan 2x – tan x.

Answer:

We know that 3x = 2x + x.
tan 3x = tan (2x + x)

tan 3x – tan 3x tan 2x tan x = tan 2x + tan x
tan 3x tan 2x tan x
= tan 3x – tan 2x – tan x, which is true.

Question 15:

Answer:

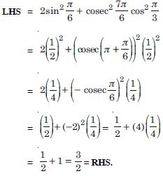
Question 16:

Answer:

Question 17:

Answer:

Question 18:

Find the principal solution of the equation :

Answer:

Question 19:

Find the principal solution of the equation :

Answer:

Question 20:

Answer:

Question 21:

Answer:

Question 22:

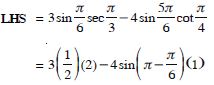
Answer:

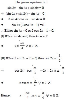
Question 23:

Solve : sin 2x – sin 4x + sin 6x = 0.

Answer:

Question 24:

Solve : 2 cos2 x + 3 sin x = 0.

Answer:

Question 25:

Answer:

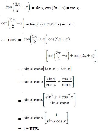
Question 26:

Answer:

Question 27:

Answer:

Question 28:

Answer:

Question 29:

Answer:

Question 30:

Find the radian measures corresponding to the following degree measures :
25 °

Answer:

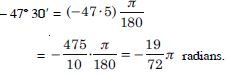
Question 31:

Find the radian measures corresponding to the following degree measures :
– 47 ° 30′

Answer:

Question 32:

Find the radian measures corresponding to the following degree measures :
240 °

Answer:

Question 33:

Find the radian measures corresponding to the following degree measures :
520 °

Answer:

Question 34:

Answer:

Question 35:

– 4

Answer:

Question 36:

Answer:

Question 37:

Answer:

Question 38:

wheel makes 360 revolutions in one minute. Through how many radians does it turn in one second ?

Answer:

No. of revolutions in one minute = 360.
No. of revolutions in one second

Angle turned in one second
= 6 × 2 π = 12 π radians.

Question 39:

Find in degree measure of the angle subtended at the centre of a circle of radius 100 cm. by an arc of 22 cm.
(Use π = 22/7)

Answer:

Question 40:

In a circle of diameter 40 cm, the length of a chord is 20 cm. Find the length of the minor arc of the circle.

Answer:

Question 41:

If in two circles, arcs of the same length subtend angles of 60 ° and 75 ° at the centre, find the ratio of their radii.

Answer:

Question 42:

Find the angle through which a pendulum swings if its length is 75 cm and the tip-describes an arc of length :
10 cm

Answer:

Here r = 75 cm.

Question 43:

Find the angle through which a pendulum swings if its length is 75 cm and the tip-describes an arc of length :
15 cm

Answer:

Here r = 75 cm.

Question 44:

Find the angle through which a pendulum swings if its length is 75 cm and the tip-describes an arc of length :
21 cm

Answer:

Here r = 75 cm.

Question 45:

Find the values of other five trigonometric
functions:

Answer:

Question 46:

Find the values of other five trigonometric
functions:

Answer:

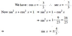
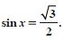
Question 47:

Find the values of other five trigonometric
functions:

Answer:

Question 48:

Find the values of other five trigonometric
functions:

Answer:

Question 49:

Find the values of other five trigonometric
functions:

Answer:

Question 50:

Find the values of the trigonometric function:
sin 765 °

Answer:

Question 51:

Find the values of the trigonometric function:
cosec (– 1410 ° )

Answer:

cosec (– 1410 ° ) = – cosec (1410 ° )
[ cosec (– θ ) = – cosec θ ]
= – cosec (4 × 360 ° – 30 ° ) = – cosec (– 30 ° )
= – (– cosec 30 ° ) = cosec 30 ° = 2.

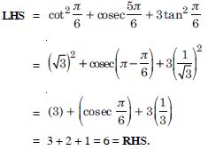
Question 52:

Find the values of the trigonometric function:

Answer:

Question 53:

Find the values of the trigonometric function:

Answer:

Question 54:

Find the values of the trigonometric function:

Answer:

Question 55:

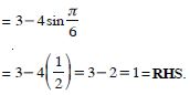
Prove that:

Answer:

Question 56:

Prove that:

Answer:

Question 57:

Prove that:

Answer:

Question 58:

Prove that:

Answer:

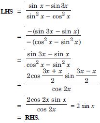
Question 59:

Find the value of :
sin 75 °

Answer:

Question 60:

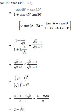
Find the value of :
tan 15 °

Answer:

Question 61:

Prove the following:

Answer:

Question 62:

Prove the following:

Answer:

Question 63:

Prove the following:

Answer:

Question 64:

Prove the following:

Answer:

Question 65:

Prove the following:
sin (x + 1)x sin (x + 2) x + cos (x + 1)x cos (x + 2)x = cos x.

Answer:

LHS =
sin (x + 1) x sin (x + 2) x + cos (x + 1) x cos (x + 2) x
= cos (x + 2) x cos (x + 1) x + sin (x + 2) x sin (x + 1) x
= cos [(x + 2) x – (x + 1)x]
[ cos A cos B + sin A sin B = cos (A – B)]
= cos x = RHS.

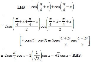
Question 66:

Prove the following:

Answer:

Question 67:

Prove the following:
sin2 6x – sin2 4x = sin 2x sin 10x.

Answer:

LHS = sin2 6x – sin2 4x
= sin (6x + 4x) sin (6x – 4x)
[ sin2A – sin2B = sin (A + B) sin (A – B)]
= sin 10 x sin 2x = sin 2x sin 10x
=RHS.

Question 68:

Prove the following:
cos2 2x – cos2 6x = sin 4x sin 8x

Answer:

LHS = cos2 2x – cos2 6x
= (1 – sin2 2x) – (1 – sin2 6x)
= sin2 6x – sin2 x
= sin (6x + 2x) sin (6x – 2x)
[ sin2A – sin2 B = sin (A + B) sin (A – B)]
= sin 8x sin 4x = sin 4x sin 8x
= RHS.

Question 69:

Prove the following:
sin 2x + 2 sin 4x + sin 6x = 4 cos2x sin 4x.

Answer:

Question 70:

Prove the following:
cot 4x (sin 5x + sin 3x) = cot x (sin 5x – sin 3x).

Answer:

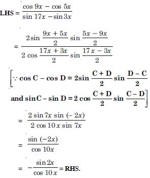
Question 71:

Prove the following:

Answer:

Question 72:

Prove the following:

Answer:

Question 73:

Prove the following:

Answer:

Question 74:

Prove the following:

Answer:

Question 75:

Prove the following:

Answer:

Question 76:

Prove the following:

Answer:

Question 77:

Prove the following:
cot x cot 2x – cot 2x cot 3x – cot 3x cot x = 1.

Answer:

Question 78:

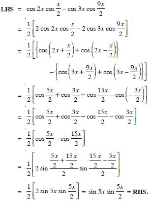
Prove the following:

Answer:

Question 79:

Prove the following:

Answer:

Question 80:

Prove the following:

Answer:

Question 81:

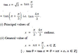
Find the principal and general solutions of the following equations :

Answer:

Question 82:

Find the principal and general solutions of the following equations :
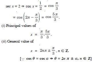
sec x = 2.

Answer:

Question 83:

Find the principal and general solutions of the following equations :

Answer:

Question 84:

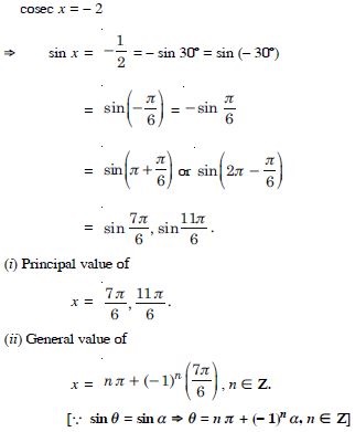
Find the principal and general solutions of the following equations :
cosec x = – 2.

Answer:

Question 85:

Find the general solution for each of the following
equations :
cos 4x = cos 2x.

Answer:

Question 86:

Find the general solution for each of the following
equations :
cos 3x + cos x – cos 2x = 0

Answer:

Question 87:

Find the general solution for each of the following
equations :
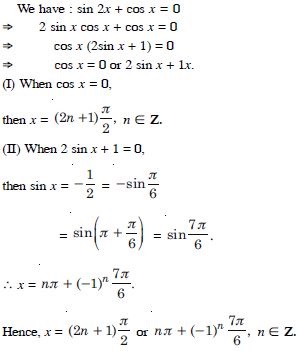
sin 2x + cos x = 0.

Answer:

Question 88:

Find the general solution for each of the following
equations :
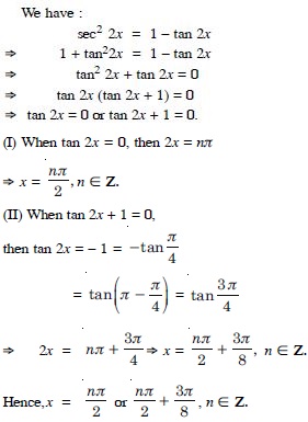
sec2 2x = 1 – tan 2x.

Answer:

Question 89:

Find the general solution for each of the following
equations :
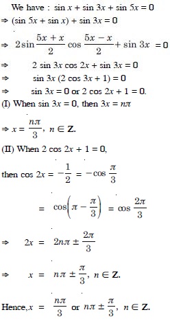
sin x + sin 3x + sin 5x = 0.

Answer: