NCERT Solutions for Class 11 Math Chapter 13 - Limits and Derivatives

Designed by subject matter experts, free NCERT Solutions are available at Aasoka for the students of Class 11. These solutions are drafted as per the latest CBSE syllabus in a simple and easy-to-understand language. Students can take the help of NCERT Solutions for Class 11 to begin their preparations for school as well as competitive exams. They can get an understanding of the exam pattern and type of questions that will appear in the exams.

“Limits and Derivatives” chapter of Class 11 Maths discusses derivatives of polynomials, intuitive idea of limit, the derivative of the sum, derivatives of trigonometric functions; difference, product, and quotient of functions; definition of the derivative, etc.

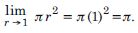
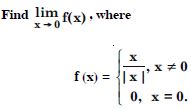
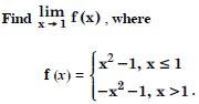
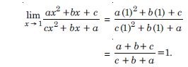
Question 1:

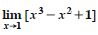
Find the limits :

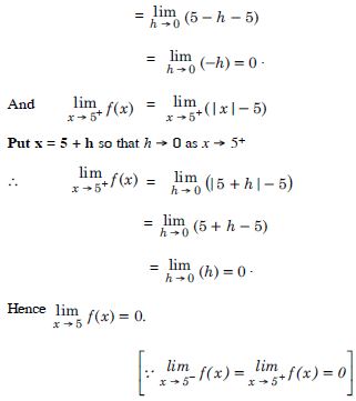
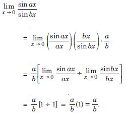
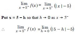
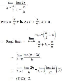
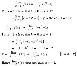
Answer:

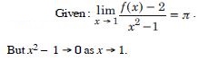
Question 2:

Find the limits :

Answer:

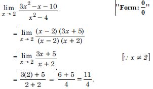
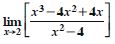
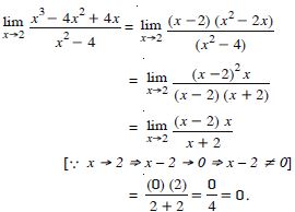
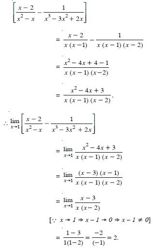
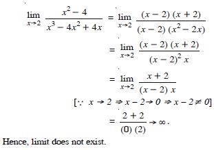
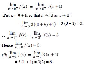
Question 3:

Find the limits :

Answer:

Question 4:

Find the limits :

Answer:

Question 5:

Find the limits :

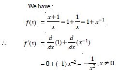
Answer:

Question 6:

Find the limits :

Answer:

Question 7:

Find the limits :

Answer:

Question 8:

Find the limits :

Answer:

Question 9:

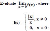
Evaluate :

Answer:

Question 10:

Evaluate :

Answer:

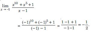
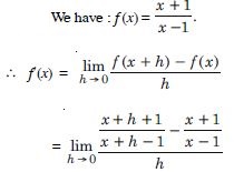
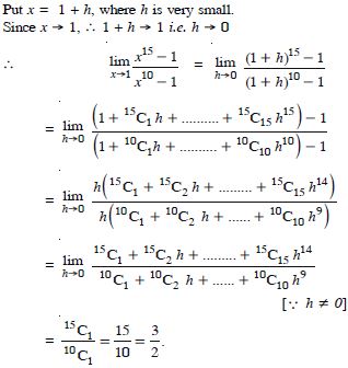
Question 11:

Evaluate :

Answer:

Question 12:

Evaluate :

Answer:

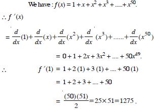
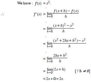
Question 13:

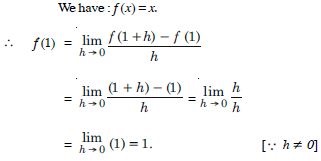
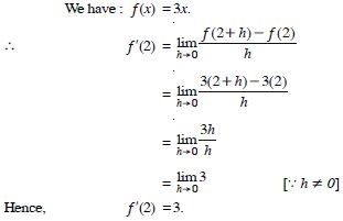
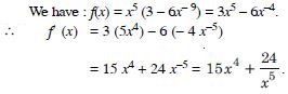
Find the derivative at x = 2 of the function f(x) = 3x.

Answer:

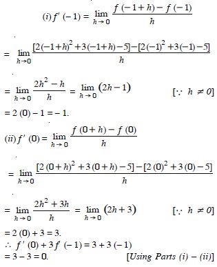
Question 14:

Answer:

Question 15:

Find the derivative of sin x at x = 0.

Answer:

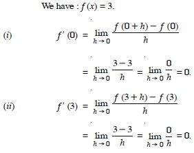
Question 16:

Find the derivative of f (x) = 3 at x = 0 and x = 3.

Answer:

Question 17:

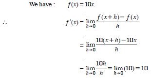
Find the derivative of f (x) = 10x.

Answer:

Question 18:

Answer:

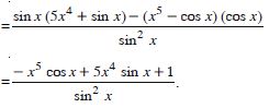
Question 19:

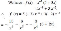
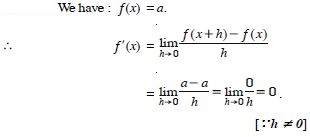
Find the derivative of the constant function f (x) = a for a fixed real number a.

Answer:

Question 20:

Answer:

Question 21:

Answer:

Question 22:

Answer:

Question 23:

Answer:

Question 24:

Answer:

Question 25:

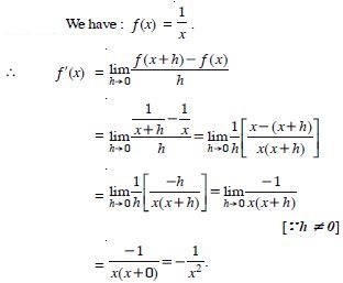
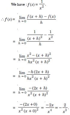
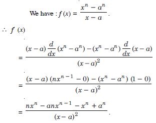
Find the derivative of ‘f’ from the first principle, where ‘f’ is given by :

Answer:

Question 26:

Find the derivative of ‘f’ from the first principle, where ‘f’ is given by :

Answer:

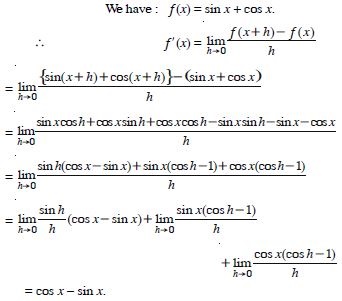
Question 27:

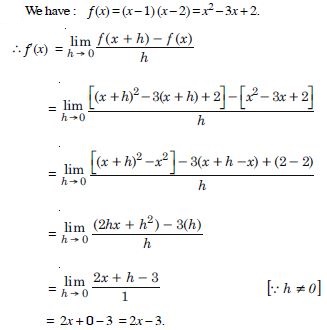
Find the derivative of f (x) from the first principle, where f (x) is :
sin x + cos x

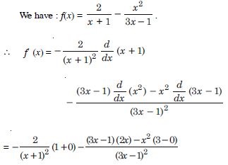
Answer:

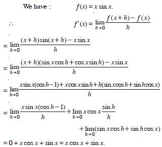
Question 28:

Find the derivative of f (x) from the first principle, where f (x) is :
x sin x

Answer:

Question 29:

Compute the derivative of :
f (x) = sin 2 x

Answer:

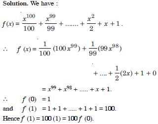
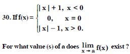
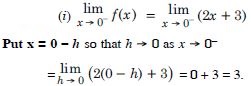
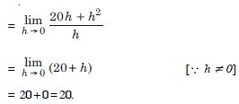
Question 30:

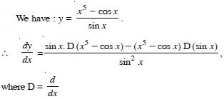
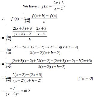
Find the derivative of :

Answer:

Question 31:

Find the derivative of :

Answer:

Question 32:

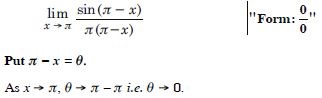
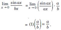
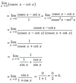
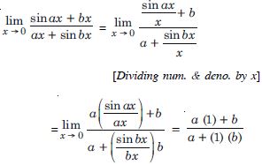
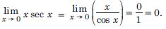
Evaluate the following limits:

Answer:

Question 33:

Evaluate the following limits:

Answer:

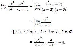
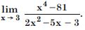
Question 34:

Evaluate the following limits:

Answer:

Question 35:

Evaluate the following limits:

Answer:

Question 36:

Evaluate the following limits:

Answer:

Question 37:

Evaluate the following limits:

Answer:

Question 38:

Evaluate the following limits:

Answer:

Question 39:

Evaluate the following limits:

Answer:

Question 40:

Evaluate the following limits:

Answer:

Question 41:

Evaluate the following limits:

Answer:

Question 42:

Evaluate the following limits:

Answer:

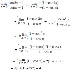
Question 43:

Evaluate the following limits:

Answer:

Question 44:

Evaluate the following limits:

Answer:

Question 45:

Evaluate the following limits:

Answer:

Question 46:

Evaluate the following limits:

Answer:

Question 47:

Evaluate the following limits:

Answer:

Question 48:

Evaluate the following limits:

Answer:

Question 49:

Evaluate the following limits:

Answer:

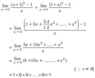
Question 50:

Evaluate the following limits:

Answer:

Question 51:

Evaluate the following limits:

Answer:

Question 52:

Evaluate the following limits:

Answer:

Question 53:

Evaluate the following limits:

Answer:

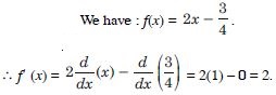
Question 54:

Answer:

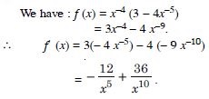
Question 55:

Answer:

Question 56:

Answer:

Question 57:

Answer:

Question 58:

Answer:

Question 59:

Answer:

Question 60:

Answer:

Question 61:

Answer:

Question 62:

Answer:

Question 63:

Answer:

Question 64:

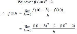
Find the derivative of x2 – 2 at x = 10.

Answer:

Question 65:

Find the derivative of 99x at x = 100.

Answer:

Question 66:

Find the derivative of x at x = 1.

Answer:

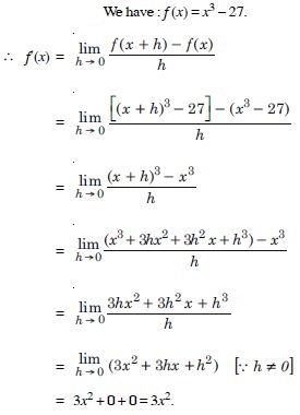
Question 67:

Find the derivative of the following functions from first principle :
x3 – 27

Answer:

Question 68:

Find the derivative of the following functions from first principle :
(x – 1) (x – 2)

Answer:

Question 69:

Find the derivative of the following functions from first principle :

Answer:

Question 70:

Find the derivative of the following functions from first principle :

Answer:

Question 71:

Answer:

Question 72:

Answer:

Question 73:

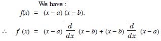
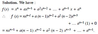
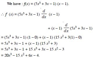
For some constants a and b, find the derivative of :
(x – a) (x – b)

Answer:

= (x – a) (1 – 0) + (x – b) (1 – 0)
= x – a + x – b = 2x – a – b.

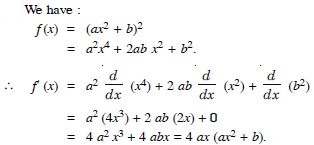
Question 74:

For some constants a and b, find the derivative of :
(ax2 + b)2

Answer:

Question 75:

For some constants a and b, find the derivative of :
(x – a) (x – b)

Answer:

Question 76:

Answer:

Question 77:

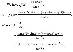
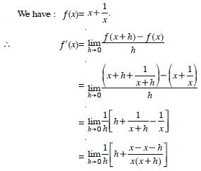
Find the derivative of :

Answer:

Question 78:

Find the derivative of :

Answer:

Question 79:

Find the derivative of :

Answer:

Question 80:

Find the derivative of :

Answer:

Question 81:

Find the derivative of :

Answer:

Question 82:

Find the derivative of :

Answer:

Question 83:

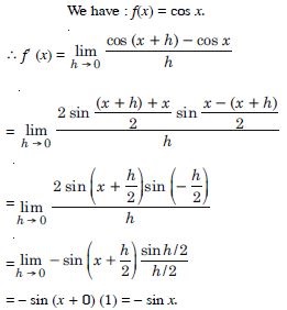
Find the derivative of cos x from first principle.

Answer:

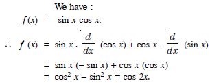
Question 84:

Find the derivatives of the following functions :
sin x cos x

Answer:

Question 85:

Find the derivatives of the following functions :
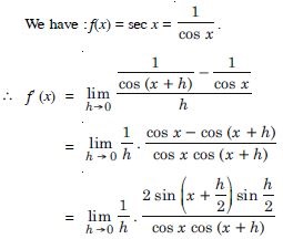
sec x

Answer:

Question 86:

Find the derivatives of the following functions :
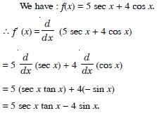
5 sec x + 4 cos x

Answer:

Question 87:

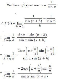
Find the derivatives of the following functions :
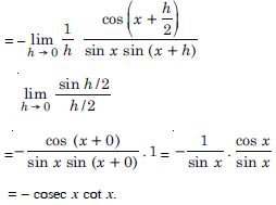
cosec x

Answer:

Question 88:

Find the derivatives of the following functions :
3 cot x + 5 cosec x

Answer:

Question 89:

Find the derivatives of the following functions :
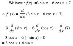
5 sinx – 6 cos x + 7

Answer:

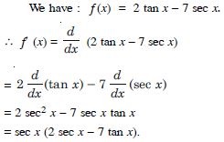
Question 90:

Find the derivatives of the following functions :
2 tan x – 7 sec x

Answer: