NCERT Solutions for Class 11 Math Chapter 11 - Conic Sections

Utilize free NCERT Solutions at Aasoka to kick-start your preparation for the exams. Along with school exams, these solutions are also helpful for competitive exam preparations such as JEE and NEET. Designed in accordance with the latest CBSE syllabus and guidelines, the NCERT Solutions for Class 11 makes learning very efficient. These solutions have been prepared after extensive research which makes them more effective.

The topics included in the chapter “Conic Sections” of Class 11 Maths are standard equations, ellipse and hyperbola, sections of a cone: hyperbola, straight line, circle, parabola, a point, ellipse, and pair of intersecting lines as a degenerated case of a conic section; standard equation of a circle, simple properties of parabola, etc.

Question 1:

Find an equation of the circle with centre at (0, 0) and radius r.

Answer:

Question 2:

Find the equation of the circle with centre (–3, 2) and radius 4.

Answer:

Question 3:

Answer:

Question 4:

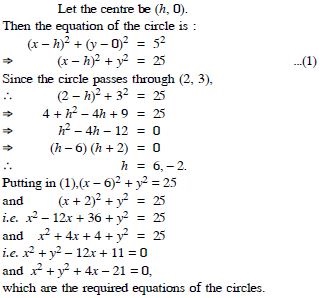
Find the equation of the circle which passes through the points (2, –2) and (3, 4) and whose centre lies on the line x + y = 2.

Answer:

Question 5:

Find the co-ordinates of the focus, axis, the equation of the directrix and latus-rectum of the parabola y2 = 8x.

Answer:

The given parabola is y2 = 8x ...(1)
Comparing with y2 = 4ax, 4a = 8 a = 2.
(i) Focus is (a, 0) i.e.(2, 0).
(ii) Equation of directrix is x = – a
i.e. x = – 2.
(iii) Length of latus-rectum = 4a = 4(2) = 8.

Question 6:

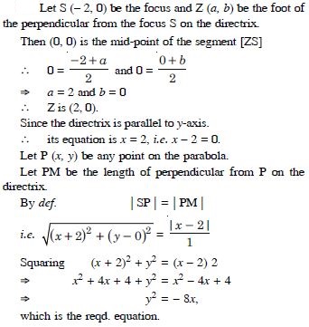
Find the equation of the parabola with focus (2, 0) and directrix x = – 2.

Answer:

Question 7:

Find the equation of the parabola with vertex at (0, 0) and focus is (0, 2).

Answer:

Question 8:

Find the equation of the parabola which is symmetric about y-axis and passes through the point (2, – 3).

Answer:

Question 9:

Answer:

Question 10:

Answer:

(III) Vertices are (0, ± a) i.e. (0, ± 3). (IV) Length of major axis = 2a = 2(3) = 6. (V) Length of minor axis = 2b = 2(2) = 4.

Question 11:

Find the equation of the ellipse whose vertices are ( ± 13, 0) and foci are ( ± 5, 0).

Answer:

Question 12:

Find the equation of the ellipse, whose length of major axis is 20 and foci are (0, ± 5).

Answer:

Question 13:

Find the equation of the ellipse, with major axis along the x-axis and passing through the points (4, 3) and (–1, 4).

Answer:

Question 14:

Find the co-ordinates of the foci and the vertices, the eccentricity, the length of the latus-rectum of the hyperbolas :

Answer:

Question 15:

Find the co-ordinates of the foci and the vertices, the eccentricity, the length of the latus-rectum of the hyperbolas :

Answer:

Question 16:

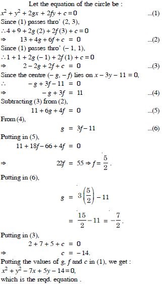
Answer:

Question 17:

Find the equation of the hyperbola whose foci are (0, ± 12) and length of the latus-rectum is 36.

Answer:

Question 18:

The focus of a parabolic mirror as shown in the figure is at a distance of 5 cm from its vertex. If the mirror is 45 cm deep, find the distance AB.

Answer:

Here OS = Distance of focus from vertex = 5 cm.
Thus a = 5.

Question 19:

A beam is supported at its end points by supports which are 12 metres apart. Since the load is concentrated at its centre, there is a deflection of 3 cm at the centre and the deflected beam is in the shape of a parabola. How far from the centre is the deflection 1 cm ?

Answer:

Question 20:

A rod AB of length 15 cm rests in between two co-ordinate axes in such a way that the end point A lies on the x-axis and end point B lies on y-axis. A point P (x, y) is taken on the rod in such a way that AP = 6 cm. Show that the locus of P is an ellipse.

Answer:

Question 21:

In each of the following, find the equation of the circle with :
Centre (0, 2) and radius 2.

Answer:

Question 22:

In each of the following, find the equation of the circle with :
Centre (– 2, 3) and radius 4.

Answer:

Question 23:

In each of the following, find the equation of the circle with :

Answer:

Question 24:

In each of the following, find the equation of the circle with :

Answer:

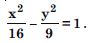
Question 25:

In each of the following, find the equation of the circle with :

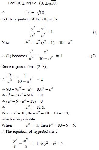
Answer:

Question 26:

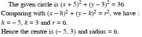
In each of the following , find the centre and radius of the circles :

Answer:

Question 27:

In each of the following , find the centre and radius of the circles :

Answer:

Question 28:

In each of the following , find the centre and radius of the circles :

Answer:

Question 29:

In each of the following , find the centre and radius of the circles :

Answer:

Question 30:

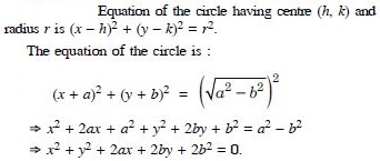
Find the equation of the circle passing through the points (4, 1) and (6, 5) and whose centre is on the line 4x + y = 16.

Answer:

Let the equation of the circle be :
x2 + y2 + 2gx + 2fy + c = 0 ...(1)
Since (1) passes thro’ (4, 1),
∴16 + 1 + 2g (4) + 2f (1) + c = 0
17 + 8g + 2f + c = 0 ...(2)
Since (1) passes thro’ (6, 5),
∴36 + 25 + 2g (6) + 2f (5) + c = 0
61 + 12g + 10f + c = 0 ...(3)
Since the centre (– g, – f) lies on 4x + y = 16,
∴ 4 (– g) + (– f) = 16
4g + f = – 16 ...(4)
Subtracting (2) from (3),
44 + 4g + 8f = 0
4g + 8f = – 44 ...(5)
Subtracting (4) from (5),
7f = – 28
f = – 4.
Putting in (4),
4g – 4 = – 16
4g = – 12
g = – 3.
Putting in (2)
17 + 8 (– 3) + 2 (– 4) + c = 0
17 – 24 – 8 + c =0

c = 15.
Putting the values of g, f and c in (1), we get :
x2 + y2 – 6x – 8y + 15 = 0,
which is the reqd. equation.

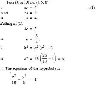
Question 31:

Find the equation of the circle passing through the points (2, 3) and (– 1, 1) and whose centre is on the line x – 3y – 11 = 0.

Answer:

Question 32:

Find the equation of the circle of radius 5 whose centre lies on x-axis and passes through the point (2, 3).

Answer:

Question 33:

Find the equation of the circle passing through (0, 0) and making intercepts a and b on the coordinate axes.

Answer:

Question 34:

Find the equation of the circle whose centre is (2, 2) and which passes through the point (4, 5).

Answer:

Question 35:

Answer:

Question 36:

Find the coordinates of the focus, axis of the parabola, the equation of the directrix and length of latus rectum :
y2 = 12x.

Answer:

The given parabola is y2 = 12x.
Here 4a = 12
a = 3.
(i) Focus is (a, 0), i.e. (3, 0).
(ii) Axis of parabola is x-axis.
(iii) Equation of directrix is x = – a,
i.e. x = – 3.
(iv) Length of latus rectum = 4a = 4 (3) = 12.

Question 37:

Find the coordinates of the focus, axis of the parabola, the equation of the directrix and length of latus rectum x2 = 6y.

Answer:

Question 38:

Find the coordinates of the focus, axis of the parabola, the equation of the directrix and length of latus rectum :
y2 = – 8x.

Answer:

The given parabola is y2 = – 8x.
Here 4a = 8 a = 2.
(i) Focus is (– a, 0) i.e. (– 2, 0).
(ii) Axis of parabola is x-axis.
(iii) Equation of directrix is x = a i.e. x = 2.
(iv) Length latus-rectum = 4a = 4 (2) = 8.

Question 39:

Find the coordinates of the focus, axis of the parabola, the equation of the directrix and length of latus rectum :
x2 = – 16y.

Answer:

The given parabola is x2 = – 16y
Here 4a = 16 a = 4.
(i) Focus is (0, – a)i.e. (0, – 4).
(ii) Axis of parabola is y-axis.
(iii) Equation of directrix is y = a i.e. y = 4.
(iv) Length of latus-rectum = 4a = 4 (4) = 16.

Question 40:

Find the coordinates of the focus, axis of the parabola, the equation of the directrix and length of latus rectum :
y2 = 10x.

Answer:

Question 41:

Find the coordinates of the focus, axis of the parabola, the equation of the directrix and length of latus rectum :
x2 = – 9y.

Answer:

Question 42:

Find the equation of the parabola that satisfy the given conditions :
Focus (6, 0), directrix x = – 6.

Answer:

Question 43:

Find the coordinates of the focus, axis of the parabola, the equation of the directrix and length of latus rectum :
y2 = – 8x.

Answer:

The given parabola is y2 = – 8x.
Here 4a = 8 a = 2.
(i) Focus is (– a, 0) i.e. (– 2, 0).
(ii) Axis of parabola is x-axis.
(iii) Equation of directrix is x = a i.e. x = 2.
(iv) Length latus-rectum = 4a = 4 (2) = 8.

Question 44:

Find the coordinates of the focus, axis of the parabola, the equation of the directrix and length of latus rectum :
x2 = – 16y.

Answer:

The given parabola is x2 = – 16y
Here 4a = 16 a = 4.
(i) Focus is (0, – a)i.e. (0, – 4).
(ii) Axis of parabola is y-axis.
(iii) Equation of directrix is y = a i.e. y = 4.
(iv) Length of latus-rectum = 4a = 4 (4) = 16.

Question 45:

Find the coordinates of the focus, axis of the parabola, the equation of the directrix and length of latus rectum :
y2 = 10x.

Answer:

Question 46:

Find the coordinates of the focus, axis of the parabola, the equation of the directrix and length of latus rectum :
x2 = – 9y.

Answer:

Question 47:

Find the equation of the parabola that satisfy the given conditions :
Focus (6, 0), directrix x = – 6.

Answer:

Question 48:

Find the equation of the parabola that satisfy the given conditions :
Focus (0, – 3), directrix y = 3.

Answer:

Question 49:

Find the equation of the parabola that satisfy the given conditions :
Vertex (0, 0), focus (3, 0).

Answer:

Question 50:

Find the equation of the parabola that satisfy the given conditions :
Vertex (0, 0), focus (– 2, 0).

Answer:

Question 51:

Find the equation of the parabola that satisfy the given conditions :
Vertox (0, 0), passing through (2, 3) and axis is along x-axis.

Answer:

Question 52:

Find the equation of the parabola that satisfy the given conditions :
Vertex (0, 0), passing through (5, 2) and symmetric with respect to y-axis.

Answer:

Question 53:

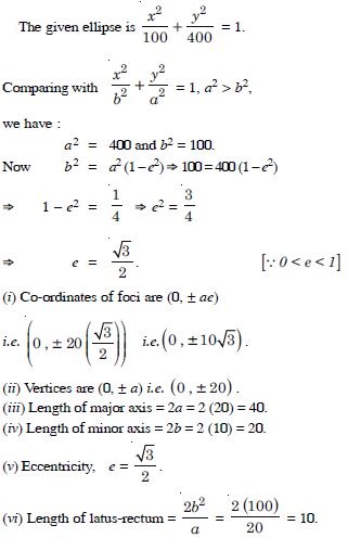
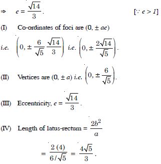
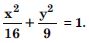
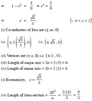
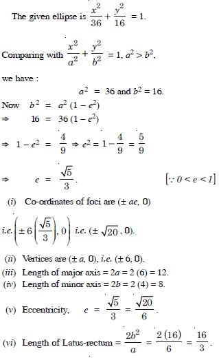
Find the co-ordinates of the foci, the vertices, the length of major axis, the minor axis. the eccentricity and the length of the latus-rectum of the ellipse :

Answer:

Question 54:

Find the co-ordinates of the foci, the vertices, the length of major axis, the minor axis. the eccentricity and the length of the latus-rectum of the ellipse :

Answer:

Question 55:

Find the co-ordinates of the foci, the vertices, the length of major axis, the minor axis. the eccentricity and the length of the latus-rectum of the ellipse :

Answer:

Question 56:

Find the co-ordinates of the foci, the vertices, the length of major axis, the minor axis. the eccentricity and the length of the latus-rectum of the ellipse :

Answer:

Question 57:

Find the co-ordinates of the foci, the vertices, the length of major axis, the minor axis. the eccentricity and the length of the latus-rectum of the ellipse :

Answer:

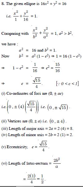
Question 58:

Find the co-ordinates of the foci, the vertices, the length of major axis, the minor axis. the eccentricity and the length of the latus-rectum of the ellipse :

Answer:

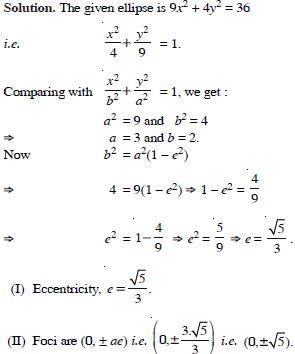
Question 59:

Find the co-ordinates of the foci, the vertices, the length of major axis, the minor axis. the eccentricity and the length of the latus-rectum of the ellipse :
36x2 + 4y2 = 144.

Answer:

Question 60:

Find the co-ordinates of the foci, the vertices, the length of major axis, the minor axis. the eccentricity and the length of the latus-rectum of the ellipse :
16x2 + y2 = 16.

Answer:

Question 61:

Find the co-ordinates of the foci, the vertices, the length of major axis, the minor axis. the eccentricity and the length of the latus-rectum of the ellipse :

4x2 + 9y2 = 36.

Answer:

Question 62:

Find the equation for the ellipse that satisfies the given conditions :
Vertices ( ± 5, 0); foci ( ± 4, 0).

Answer:

Question 63:

Find the equation for the ellipse that satisfies the given conditions :
Vertices (0, ± 13); foci (0, ± 5).

Answer:

Question 64:

Find the equation for the ellipse that satisfies the given conditions :
Vertices ( ± 6, 0); foci ( ± 4, 0).

Answer:

Question 65:

Find the equation for the ellipse that satisfies the given conditions :
Ends of major-axis ( ± 3, 0); ends of minor axis (0, ± 2).

Answer:

Question 66:

Find the equation for the ellipse that satisfies the given conditions :

Answer:

Question 67:

Find the equation for the ellipse that satisfies the given conditions :
Length of major axis 26; foci ( ± 5, 0).

Answer:

Question 68:

Find the equation for the ellipse that satisfies the given conditions :
Length of minor-axis 16; foci (0, ± 6).

Answer:

Question 69:

Find the equation for the ellipse that satisfies the given conditions :
Foci ( ± 3, 0) ; a = 4.

Answer:

Question 70:

Find the equation for the ellipse that satisfies the given conditions :
b = 3, c = 4, centre at the origin; focus on x–axis.

Answer:

Question 71:

Find the equation for the ellipse that satisfies the given conditions :
Centre at (0, 0); major axis on the y–axis and passes through (3, 2) and (1, 6).

Answer:

Question 72:

Find the equation for the ellipse that satisfies the given conditions :
Major axis on the x–axis and passes through the points (4, 3) and (6, 2).

Answer:

Question 73:

Find the co-ordinates of the foci and the vertices, the eccentricity and length of the latus-rectum of the hyperbola :

Answer:

Question 74:

Find the co-ordinates of the foci and the vertices, the eccentricity and length of the latus-rectum of the hyperbola :

Answer:

Question 75:

Find the co-ordinates of the foci and the vertices, the eccentricity and length of the latus-rectum of the hyperbola :
9y2 – 4x2 = 36.

Answer:

Question 76:

Find the co-ordinates of the foci and the vertices, the eccentricity and length of the latus-rectum of the hyperbola :
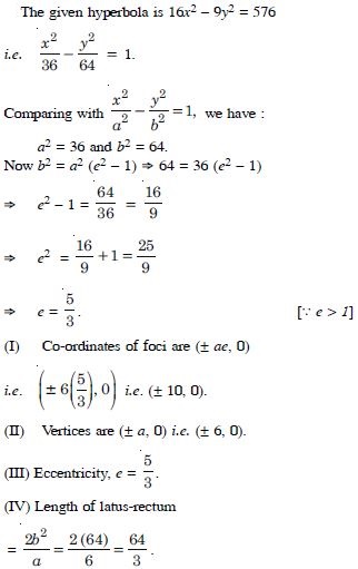
16x2 – 9y2 = 576.

Answer:

Question 77:

Find the co-ordinates of the foci and the vertices, the eccentricity and length of the latus-rectum of the hyperbola :
5y2 – 9x2 = 36.

Answer:

Question 78:

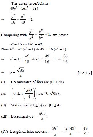
Find the co-ordinates of the foci and the vertices, the eccentricity and length of the latus-rectum of the hyperbola :
49y2 – 16x2 = 784.

Answer:

Question 79:

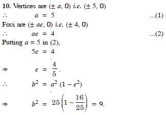
Find the equation of the hyperbola satisfying the given conditions :
Vertices ( ± 2, 0); foci ( ± 3, 0).

Answer:

Question 80:

Find the equation of the hyperbola satisfying the given conditions :
Vertices (0, ± 5) ; foci (0, ± 8).

Answer:

Question 81:

Find the equation of the hyperbola satisfying the given conditions :
Vertices (0, ± 3) ; foci (0, ± 5).

Answer:

Question 82:

Find the equation of the hyperbola satisfying the given conditions :
Foci ( ± 5, 0); the transverse axis is of length 8.

Answer:

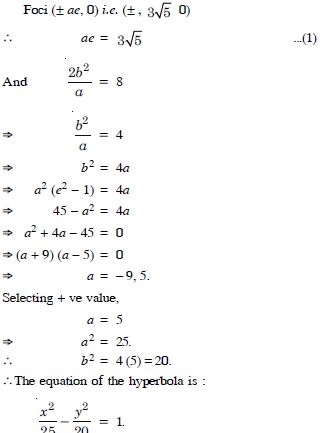
Question 83:

Find the equation of the hyperbola satisfying the given conditions :
Foci (0, ± 13) ; the conjugate axis is of length 24.

Answer:

Question 84:

Find the equation of the hyperbola satisfying the given conditions :

Answer:

Question 85:

Find the equation of the hyperbola satisfying the given conditions :
Foci ( ± 4, 0); the latus-rectum is of length 12.

Answer:

Question 86:

Find the equation of the hyperbola satisfying the given conditions :

Answer:

Question 87:

Find the equation of the hyperbola satisfying the given conditions :

Answer: