Question 1:
(i) Calculate the number of electrons which will together weigh one gram.
(ii) Calculate the mass and charge on one mole of electrons.
Answer:
Question 2:
(i) Calculate the total number of electrons present in 1 mole of methane.
(ii) Find (a) the total number and
(b) the total mass of neutrons in 7 mg of 14C (Assume that mass of a neutron = 1.675 × 10–27 kg).
(iii) Find (a) the total number of
(b) the total mass of protons in 34 mg of NH3 at S.T.P. Will the answer change if the temperature and pressure are
changed ?
Answer:
Question 3:
How many neutrons and protons are there in the following nuclei :
Answer:
Question 4:
Write the complete symbol for the atom with the given atomic number (Z) and atomic mass (A)
(i) Z = 17, A = 35 (ii) Z = 92, A = 233
(iii) Z = 4, A = 9.
Answer:
Question 5:
Answer:
Question 6:
Find energy of each of photons which
(i) correspond to light of frequency 3 × 105 Hz
(ii) have wavelength of 0.50 Å.
Answer:
Question 7:
Calculate the wavelength, frequency and wave number of a light wave whose period is 2.0 × 10–10 s.
Answer:
Frequency of a light wave,
Question 8:
What is the number of photons of light with wavelength of 4000 pm that provide 1J of energy ?
Answer:
Question 9:
A photon of wavelength 4 × 10–7 m strikes on metal surface, the work function of
the metal being 2.13 eV. Calculate (i) the energy of the photon (eV) (ii) the kinetic energy of the emission and (iii) the velocity of the photoelectron (1 eV = 1.6020 × 10–19 J).

Answer:

Question 10:
Electromagnetic radiation of wavelength 242 nm is just sufficient to ionise the sodium atom. Calculate the ionisation energy of sodium in kJ mol–1.
Answer:
= Ionisation energy of sodium.
Question 11:
A 25 watt bulb emits monochromatic yellow light of wavelength of 0.57
Answer:
Question 12:
Electrons are emitted with zero velocity from a metal surface when it is exposed
to radiation of wavelength 6800 Å. Calculate the threshold frequency
Answer:
Question 13:
What is the wavelength of light emitted when the electron in a H-atom undergoes transition from an energy level with n = 4 to an energy level with n = 2 ?
Answer:
Acc. to Rydberg equation,
Question 14:
How much energy is required to ionise a H-atom if the electron occupies n = 5 orbit ? Compare your answer with ionisation energy of hydrogen atom i.e. the energy required to remove the electron from the first orbit.
Answer:
Question 15:
What is the maximum number of emission lines when the excited electron of a H-atom in n = 6 drops to ground state ?
Answer:
Question 16:
(i) The energy associated with the first orbit in the hydrogen atom is –2.18 × 10–18J atom–1. What is the energy associated with the fifth orbit ?
(ii) Calculate the radius of the fifth orbit for H-atom.
Answer:
(i) Energy associated with the 5th orbit
Question 17:
Calculate wave number for the longest wavelength transition in the Balmer series of atomic hydrogen.
Answer:
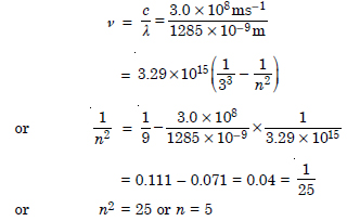
Wave number,
Question 18:
What is the energy, in joules, required to shift the electron of the hydrogen atom from the first Bohr orbit to the fifth Bohr orbit and what is the wavelength of the light emitted when the electron returns to the ground state ? The ground state electron energy is –2.18 × 10–11 ergs.
Answer:
Question 19:
The electron energy in hydrogen atom is given En = (–2.18 × 10–18)/n2 J. Calculate the energy required to remove an electron completely from the n = 2 orbit. What is the longest wavelength of light in cm that can be used to cause this transition ?
Answer:
Question 20:
What is the number of photons of light with wavelength of 4000 pm that provide 1J of energy ?
Answer:
Question 21:
A photon of wavelength 4 × 10–7 m strikes on metal surface, the work function of the metal being 2.13 eV. Calculate (i) the energy of the photon (eV) (ii) the kinetic energy of the emission and (iii) the velocity of the photoelectron (1 eV = 1.6020 × 10–19 J).
Answer:
Question 22:
Electromagnetic radiation of wavelength 242 nm is just sufficient to ionise the sodium atom. Calculate the ionisation energy of sodium in kJ mol–1.
Answer:
Question 23:
A 25 watt bulb emits monochromatic yellow light of wavelength of 0.57
Answer:
Question 24:
Electrons are emitted with zero velocity from a metal surface when it is exposed to radiation of wavelength 6800 Å. Calculate the threshold frequency
Answer:
Question 25:
What is the wavelength of light emitted when the electron in a H-atom undergoes transition from an energy level with n = 4 to an energy level with n = 2 ?
Answer:
Acc. to Rydberg equation,
Question 25:
How much energy is required to ionise a H-atom if the electron occupies n = 5 orbit ? Compare your answer with ionisation energy of hydrogen atom i.e. the energy required to remove the electron from the first orbit.
Answer:
Question 25:
What is the maximum number of emission lines when the excited electron of a H-atom in n = 6 drops to ground state ?
Answer:
Question 26:
(i) The energy associated with the first orbit in the hydrogen atom is –2.18 × 10–18J
atom–1. What is the energy associated with the fifth orbit ?
(ii) Calculate the radius of the fifth orbit for
H-atom.
Answer:
Question 27:
Calculate wave number for the longest wavelength transition in the Balmer series of atomic hydrogen.
Answer:
Wave number,
Question 28:
What is the energy, in joules, required to shift the electron of the hydrogen atom from the first Bohr orbit to the fifth Bohr orbit and what is the wavelength of the light emitted when the electron returns to the ground state ? The ground state electron energy is –2.18 × 10–11 ergs.
Answer:
Question 29:
The electron energy in hydrogen atom is given En = (–2.18 × 10–18)/n2 J. Calculate the energy required to remove an electron completely from the n = 2 orbit. What is the longest wavelength of light in cm that can be used to cause this transition ?
Answer:
Question 30:
Calculate the wavelength of an electron moving with a velocity of 2.05 × 107 ms–1.
Answer:
Question 31:
The mass of an electron is 9.1 × 10–31 kg. If its K.E. is 3.0 × 10–25 J, calculate its wavelength.
Answer:
Question 32:
Which of the following are isoelectronic species, i.e.; those having the same number of electrons ?
Answer:
Question 33:
(i) Write the electronic configurations of the following ions :
Answer:
Question 34:
What is the lowest value of ‘n’ that allows ‘g’ orbitals to exist ?
Answer:
n = 5
Question 35:
An electron is in one of the 3d orbitals. Give the possible values of n, l and ml for this electron.
Answer:
n = 3 ; l = 2 ; ml = – 2, – 1, 0, + 1, + 2 (any one value).
Question 36:
An atom of an element contains 29 electrons and 35 neutrons. Deduce (i) the number of protons (ii) the electronic configuration of the element.
Answer:
(i) No. of protons = 29
Question 37:
Answer:
1, 2, 15.
Question 38:
(i) An atomic orbital has n = 3. What are the possible values of l and ml ?
(ii) List the quantum numbers (ml and l) of electrons for 3d orbital.
(iii) Which of the following orbitals are possible ? 1p, 2s, 2p and 3f.
Answer:
(i) n = 3 ; l = 0 ; ml = 0.
l = 1; ml = –1, 0, + 1
l = 2 ; ml = –2, –1, 0, + 1, +2.
(ii) l = 2 ; ml = –2 – 1, 0, + 1, +2.
(iii) 2s, 2p
Question 39:
Using s, p, d notations describe the orbital with the following quantum numbers :
(a) n = 1, l = 0 (b) n = 3 ; l = 1
(c) n = 4 ; l = 2 (d) n = 4 ; l = 3.
Answer:
(a) 1s (b) 3p (c) 4d (d) 4f.
Question 40:
Explain, giving reasons, which of the following sets of quantum numbers are not possible :
Answer:
Question 41:
Explain, giving reasons, which of the following sets of quantum numbers are not possible :
Answer:
Question 42:
How many electrons in any atom may have the following quantum numbers ?
Answer:
(a) 16 electrons (2n2)
(b) 2 electrons (3s-subshell).
Question 45:
Show that the circumference of the Bohr orbit for the hydrogen atom is an integral multiple of the de-Broglie wavelength associated with the electron revolving around the orbit.
Answer:
According to one of the postulates of Bohr’s theory,
Question 46:
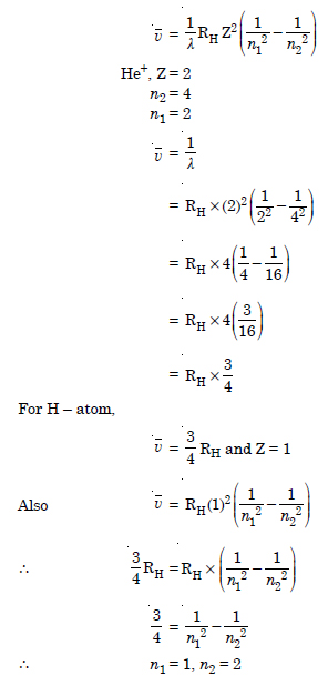
What transition in the hydrogen spectrum would have the same wavelength as the Balmer transition n = 4 to n = 2 of H+ spectrum ?
Answer:
For any one electron species the wave number of a line in a spectrum Therefore, the transition is from n = 2 to n = 1 in case of hydrogen spectrum.
Question 47:
Calculate the energy required for the process.
Answer:
Question 48:
If the diameter of a carbon atom is 0.15 nm, calculate the number of carbon atoms
which can be placed side by side in a straight line across length of scale of length 20 cm long.
Answer:
Question 49:
2 × 108 atoms of carbon are arranged side by side. Calculate the radius of carbon atom if the length of this arrangement is 3.0 cm.
Answer:
Question 50:
The diameter of zinc atom is 2.6 Å. Calculate (a) radius of zinc atom in pm and (b) number of atoms present in a length of 1.6 cm if the zinc atoms are arranged side by side lengthwise.
Answer:
Question 51:
A certain particle carries 2.5 × 10–16 C of static electric charge. Calculate the number of electrons present in it.
Answer:
Question 52:
In Millikan’s experiment, static electric charge on the oil drops has been obtained by shining X–rays. If the static electric charge on the oil drop is –1.282 × 10–18C, calculate the number of electrons present on it.
Answer:
Question 53:
In Rutherford’s experiment, generally the thin foil of heavy atoms, like gold, platinum etc. have been used to be bombarded by the
Answer:
Most of the
Question 54:
Answer:
For a given element the number of protons is the same for isotopes, whereas mass number can be different for the given atomic number.
Question 55:
An element with mass number 81 contains 31.7% more neutrons as compared to protons. Assign the atomic symbol.
Answer:
Question 55:
An ion with mass number 37 possesses one unit of negative charge. If the ion contains 11.1% more neutrons than the electrons, find the symbol of the ion.
Answer:
Question 56:
An ion with mass number 56 contains 3 units of positive charge and 30.4% more neutrons than electrons. Assign the symbol to this ion.
Answer:
Question 57:
Arrange the following type of radiations in increasing order of frequency :
(a) radiation from microwave oven
(b) amber light from traffic signal
(c) radiation from FM radio
(d) cosmic rays from outer space and
(e) X-rays.
Answer:
The increasing order of frequency is FM < microwaves < amber colour < X-rays < cosmic rays
Question 58:
Nitrogen laser produces a radiation at a wavelength of 337.1 nm. If the number of photons emitted is 5.6 × 1024, calculate the power of this laser.
Answer:
Question 59:
Neon gas is generally used in the sign boards. If it emits strongly at 616 nm, calculate (a) the frequency of emission, (b) distance travelled by this radiation in 30 s (c) energy of quantum and (d) number of quanta present if it produces 2 J of energy.
Answer:
Question 60:
In astronomical observations, signals observed from the distant stars are generally weak. If the photon detector receives a total of 3.15 × 10–18 J from the radiations of 600 nm, calculate the number of photons received by the detector.
Answer:
Question 61:
Life lines of molecules in the excited state are often measured by using pulsed radiations source of duration nearly in the nano second range. If the radiation source has the duration of 2nD and the number of photons emitted during the pulse source is 2.5 × 1015, calculate the energy of the source.
Answer:
Question 62:
The longest wavelength double absorption transition is observed at 589 and 589.6 nm. Calculate the frequency of each transition and energy difference between two excited states.
Answer:
Question 63:
The work function for caesium atom is 1.9 eV. Calculate (a) the threshold wavelength and (b) the threshold frequency of the radiation. if the caesium element is irradiated with a wavelength 500 nm, calculate the kinetic energy and the velocity of the ejected photoelectron.
Answer:
Question 64:
Following results were observed when sodium metal is irradiated with different wavelengths. Calculate (a) threshold wavlength and (b) Planck constant.
Answer:
Question 65:
The equation of the photoelectron from the silver metal in the photoelectric effect experiment can be stopped by applying a voltage of 0.35 V when the radiation 256.7 nm is used. Calculate the work function for silver metal.
Answer:
Question 66:
If photon of the wavelength 150 pm strikes an atom and one of its inner bound electron is ejected out with a velocity of 1.5 × 107 ms–1 , calculate the energy with which it is bound to the nucleus.
Answer:
Question 67:
Answer:
The radiation corresponding to 1285 nm lies in the infrared region.
Question 68:
Calculate the wavelength for the emission transition if it starts from the orbit having radius 1.3225 nm and ends at 211.6 pm. Name the series to which this transition belongs and the region of the spectrum.
Answer:
Question 69:
Dual behaviour of matter proposed by de-Broglie led to the discovery of electron microscope often used for the highly magnified images of biological molecules and other type of material. If the velocity of the electron in this microscope is 1.6 × 106 ms–1, calculate de-Broglie wavelength associated with this electron.
Answer:
Question 70:
Dual behaviour of matter proposed by de-Broglie led to the discovery of electron microscope often used for the highly magnified images of biological molecules and other type of material. If the velocity of the electron in this microscope is 1.6 × 106 ms–1, calculate de-Broglie wavelength associated with this electron.
Answer:
Question 71:
If the velocity of the electron in Bohr’s first orbit is 2.19 × 106 ms–1, alculate the de-Broglie wavelength associated with it.
Answer:
Question 72:
The velocity associated with a proton moving in a potential difference of 1000 V is 4.37 × 105 ms–1. If the hockey ball of mass 0.1 kg is moving with this velocity, calculate the wavelength associated with this velocity.
Answer:
Question 73:
Answer:
Question 74:
The quantum numbers of six electrons are given below. Arrange them in order of increasing energies. If any of these combination(s) has/have the same energy lists :
Answer:
(i) 4d (ii) 3d
(iii) 4p (iv) 3d
(v) 3p (vi) 4p Since the increasing order in energies of orbitals
is 3p < 3d < 4p the required order is
(v) < (ii) = (iv) < (iii) = (vi) < (i)
Question 75:
The bromine atom possesses 35 electrons. It contains 6 electrons in 2p orbital, 6 electrons in 3p orbital and 5 electrons in 4p orbital. Which of these electrons experiences the lowest effective nuclear charge ?
Answer:
The electron in 4p orbital experiences the lowest effective nuclear charge because it is farthest from the nucleus.
Question 76:
Among the following pairs of orbitals which orbital will experience the larger effective nuclear charge ?
(i) 2s and 3s,
(ii) 4d and 4f,
(iii) 3d and 3p.
Answer:
(i) 2s
(ii) 4d
(iii) 3p
Question 77:
The unpaired electrons in Al and Si are present in 3p orbital. Which electrons will experience more effective nuclear charge from the nucleus ?
Answer:
In Si, the electrons of 3p orbital will experience more effective nuclear charge from the nucleus.
Question 78:
Indicate the number of unpaired electrons in : (a) P, (b) Si, (c) Cr, (d) Fe and (e) Kr.
Answer:
Question 79:
(a) How many sub-shells are associated with n = 4 ? (b) How many electrons will be present in the sub-shells having ms value of –1/2 for n = 4 ?
Answer: