NCERT Solutions for Class 11 Physics Chapter 6 - Work, Energy and Power

Question 1:

The sign of work done by a force on body is important to understand. State carefully if the following quantity is + ve or – ve.
Work done by a man in lifting a bucket out of a well by means of a rope tied to the bucket.

Answer:

+ ve, because force and displacement are in the same direction.

Question 2:

The sign of work done by a force on body is important to understand. State carefully if the following quantity is + ve or – ve.
Work done by gravitational force in the above case.

Answer:

– ve, because force and displacement are in opposite directions.

Question 3:

The sign of work done by a force on body is important to understand. State carefully if the following quantity is + ve or – ve.
Work done by friction on a body sliding down an inclined plane.

Answer:

– ve, because friction and displacement are in opposite directions.

Question 4:

The sign of work done by a force on body is important to understand. State carefully if the following quantity is + ve or – ve.
Work done by applied force on a body moving on a rough horizontal plane with uniform velocity.

Answer:

'+ ve, because force and displacement are in the same direction.

Question 5:

The sign of work done by a force on body is important to understand. State carefully if the following quantity is + ve or – ve.
Work done by resistive force of air on a vibrating pendulum in bringing it to rest.

Answer:

– ve, because force and displacement are in opposite directions.

Question 6:

A body of mass 2 kg initially at rest moves under the action of an applied horizontal force of 7 N on a table with co-efficient of kinetic friction = 0.1. Compute the work done by the applied force in 10 s

Answer:

Question 7:

A body of mass 2 kg initially at rest moves under the action of an applied horizontal force of 7 N on a table with co-efficient of kinetic friction = 0.1. Compute the work done by friction in 10 s

Answer:

Question 8:

A body of mass 2 kg initially at rest moves under the action of an applied horizontal force of 7 N on a table with co-efficient of kinetic friction = 0.1. Compute the work done by the net force on the body in 10 s

Answer:

Question 9:

A body of mass 2 kg initially at rest moves under the action of an applied horizontal force of 7 N on a table with co-efficient of kinetic friction = 0.1. Compute the change in kinetic energy of the body in 10 s, and interpret your results.

Answer:

Question 10:

Given below are examples of some potential energy functions in one dimension. The total energy of the particle is indicated by a cross on the ordinate axis. In each case, specify the regions, if any, in which the particle cannot be found for the given energy. Also, indicate the minimum total energy the particle must have in each case. Think of simple physical contents for which these potential energy shapes are relevant.

Answer:

Question 11:

Answer:

The significance of the above equation is shown by the graph in fig. 6.12 in which energy is plotted vertically and the co-ordinate x horizontally. The curve represents the potential energy.V (x) = (1/2) kx this curve is parabola. A horizontal line is drawn at a height equal to the total energy E. We see that the motion is restricted to values of x lying between the points at which the horizontal line intersects the parabola since if x were outside this range, the potential energy would exceed the total energy, and that is impossible.

Question 12:

Answer the following :
The casting of a rocket in flight burns up due to friction. At whose expense the heat energy required for burning is obtained—the rocket or the atmosphere ?

Answer:

The rocket provides the necessary energy.

Question 13:

Answer the following :
Comets move around the sun in highly elliptical orbits. The gravitational force on the comet due to the sun is not normal to the comet’s velocity in general. Yet the work done by the gravitational force over every complete orbit of the comet is zero. Why ?

Answer:

For conservative force, work done over a path is minus of change in potential energy. Over a complete orbit, there is no change in potential energy.

Question 14:

Answer the following :
An artificial satellite orbiting the earth in very thin atmosphere loses its energy gradually due to dissipation against atmospheric resistance, however small. Why then does its speed increase progressively as it comes closer and closer to the earth ?

Answer:

Kinetic energy increases, but potential energy decreases and the sum decreases due to dissipation against friction.

Question 15:

Answer the following :
In figure (i), the man walks 2 m carrying a mass of 15 kg on his hands. In figure (ii), he walks the same distance pulling the rope behind him. The rope goes over a pulley and a mass of 15 kg hangs at its other end. In which case is the work done larger ?

Answer:

In the second case, the work done is larger, because in this case both K.E. as well as P.E. of the weight increases. K.E. is equal to as in case (i), therefore, P.E. is extra. Work done in carrying the mass is zero.

Question 16:

Underline the correct alternative :
When a conservative force does positive work on a body, the potential energy of the body increases/decreases/remains unaltered.

Answer:

decreases

Question 17:

Underline the correct alternative :
Work done by a body against friction always results in a loss of its kinetic/potential energy.

Answer:

kinetic energy

Question :18

Underline the correct alternative :
The rate of change of total momentum of a many particle system is proportional to the external force/sum of the internal forces of the system.

Answer:

external force

Question 19:

Underline the correct alternative :
In an inelastic collision of two bodies, the quantities which do not change after the collision are the total kinetic energy/total linear momentum/total energy of the system of two bodies.

Answer:

total linear momentum and also total energy of the system of two bodies is conserved.

Question 20:

State if each of the following statements is true or false. Give reasons for your answer.
In an elastic collision of two bodies, the momentum and energy of each body is conserved.

Answer:

False. The total momentum and total energy of the system remain conserved and not of each body.

Question 21:

State if each of the following statements is true or false. Give reasons for your answer.
Total energy of a system is always conserved, no matter what internal and external forces on the body are present.

Answer:

False. The external forces on a system can increase or decrease (change) the total energy of the system.

Question 22:

State if each of the following statements is true or false. Give reasons for your answer.
Work done in the motion of a body over a closed loop is zero for every force in nature.

Answer:

False. Work done in the motion of a body over a closed loop is zero only if the body moves under the action of conservative forces and not when the forces are non-conservative.

Question 23:

State if each of the following statements is true or false. Give reasons for your answer.
In an inelastic collision, the final kinetic energy is always less than the initial kinetic energy of the system.

Answer:

False. True usually but not always, because in an elastic collision, some K.E. usually changes into some other forms of energy.

Question 24:

Answer carefully, with reasons :
In an elastic collision of two billiard balls, is the total kinetic energy conserved during the short time of collision of the balls i.e., when they are in contact ?

Answer:

No, because some of K.E. is converted into P.E.

Question 25:

Answer carefully, with reasons :
Is the total linear momentum conserved during the short time of an elastic collision of two balls ?

Answer:

Yes, momentum remains conserved.

Question 26:

Answer carefully, with reasons :
What are the answers to (a) and (b) for an inelastic collision ?

Answer:

Linear momentum is conserved during an elastic collision. Kinetic energy is not conserved even after the collision is over.

Question 27:

Answer carefully, with reasons :
If the potential energy of two billiard balls depends only on the separation distance between their centres, is the collision elastic or inelastic ? (Note. we are talking here of potential energy corresponding to the force during collision, not gravitational potential energy).

Answer:

Elastic. Since P.E. depends upon distance only, therefore, it is zero after a small distance. Thus K.E. remains the same before and after collision.

Question 28:

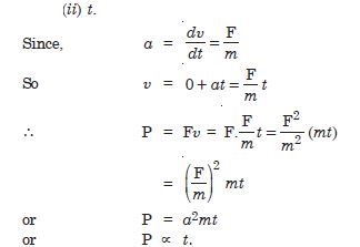
A body is initially at rest. It undergoes one-dimensional motion with constant acceleration. The power delivered to it at time t is proportional to
(i) t1/2 (ii) t (iii) t3/2 (iv) t2.

Answer:

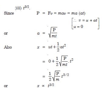
Question 29:

A body is moving uni-directionally under the influence of a source of constant power. Its displacement in time t is proportional to : (i) t1/2 (ii) t (iii) t3/2 (iv) t2.

Answer:

Question 30:

Answer:

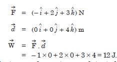
Question 31:

Answer:

Question 32:

A rain drop of radius 2 mm falls from a height of 500 m above the ground. It falls with decreasing acceleration due to viscous resistance of the air until at half its original height, it attains its maximum (terminal) speed, and moves with uniform speed thereafter. What is work done by the gravitational force on the drop in the first half and second half of its journey ? What is the work done by resistive force in the entire journey if its speed on reaching the ground is 10 m s–1 ?

Answer:

Radius = 2 mm = 2 × 10–3 m

Question 33:

A molecule in a gas container hits the wall with speed 200 ms–1 and angle 30° with the normal and rebounds with the same speed. Is momentum conserved in the collision ? Is the collision elastic or inelastic ?

Answer:

Question 34:

A pump on the ground floor of a building can pump up water to fill a tank of volume 30 m3 in 15 min. If the tank is 40 m above the ground, and the efficiency of the pump is 30%, how much electric power is consumed by the pump ?

Answer:

Question 35:

Two identical ball-bearings in contact with each other and resting on a frictionless table are hit head-on collision by another ball bearing of same mass moving initially with a speed u. If the collision is elastic, which of the following is a possible result after collision.

Answer:

is a possible collision.

Question 36:

The bob A of a pendulum released from 30° to the vertical hits another bob B of the same mass at rest on a table as shown. How does the bob A rise after the collision ? Neglect the size of the bobs and assume the collision to be elastic.

Answer:

Question 37:

The bob of a pendulum is released from a horizontal position A as shown in Fig. 6.6. If the length of the pendulum is 1·5 m, what is the speed with which the bob arrives at the lowermost point B, given that it dissipates 5% of its initial energy against air resistance ?

Answer:

Question 38:

A trolley of mass 300 kg carrying a sand bag of 25 kg is moving uniformly with a speed of 27 km h–1 on a frictionless track. After a while, sand starts leaking out of a hole on the trolley’s floor at rate of 0·05 kg s–1. What is the speed of the trolley after the entire sand bag is empty ?

Answer:

As there is no friction, the weight of the trolley, carrying a sand bag, acting downwards is exactly balanced by the normal reaction of the floor and thus there is no effect of the horizontal direction. Therefore, the speed of the trolley after the entire sand bag is empty will remain 27 km h–1 or there will be no change in speed.

Question 39:

Answer:

Question 40:

The blades of a windmill sweep out a circle of area A.
If the wind flows at a velocity υ perpendicular to the circle, what is the mass of the air passing through it in time t ?

Answer:

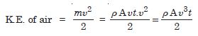
Question 41:

The blades of a windmill sweep out a circle of area A.
What is the kinetic energy of the air ?

Answer:

Question 42:

The blades of a windmill sweep out a circle of area A.
Assume that the windmill converts 25% of the wind energy into electrical energy and that A = 30 m2, u = 36 km/h and the density of air is 1.2 kg m–3. What is the electrical power produced ?

Answer:

Question 42:

A person trying to lose weight (dieter) lifts a 10 kg mass 0·5 m, 1000 times. Assume that the potential energy lost each time she lowers the mass is dissipated.
How much work does she do against the gravitational force ?

Answer:

Question 43:

A person trying to lose weight (dieter) lifts a 10 kg mass 0·5 m, 1000 times. Assume that the potential energy lost each time she lowers the mass is dissipated.
Fat supplies 3·8 × 107 J of energy per kilogram which is converted to mechanical energy with a 20% efficiency rate. How much fat will the dieter use up ?

Answer:

Question 44:

A family uses 8 kW of power
Direct solar energy is incident on the horizontal surface at an average rate of 200 W per square metre. If 20% of this energy can be converted to useful electrical energy, how large an area is needed to supply 8 kW ?

Answer:

Question 45:

A family uses 8 kW of power Compare this area to that of the roof of a typical house.

Answer:

This area is comparable to the roof of a large house of dimension 14 m × 14 m.

Question 46:

Give the location of the centre of mass of a sphere

Answer:

The geometrical centre