NCERT Solutions for Class 8 Math Chapter 6 - Squares and Square Roots

Question 1:

Find the perfect square numbers between:
30 and 40

Answer:

Perfect square number between 30 and 40 is 36.

Question 2:

Find the perfect square numbers between:
50 and 60

Answer:

There is no perfect square number between 50 and 60.

Question 3:

Can we say whether the following number is a perfect square? How do we know?
1057

Answer:

1057
1057 has 7 at its unit’s digit.
1057 is not a perfect square.

Question 4:

Can we say whether the following number is a perfect square? How do we know?
23453

Answer:

23453
23453 has 3 at its unit’s digit.
23453 is not a perfect square.

Question 5:

Can we say whether the following number is a perfect square? How do we know?
7928

Answer:

7928
7928 has 8 at its unit’s digit.
7928 is not a perfect square.

Question 6:

Can we say whether the following number is a perfect square? How do we know?
222222

Answer:

222222
222222 has 2 at its unit’s digit
222222 is not a perfect square,

Question 7:

Can we say whether the following number is a perfect square? How do we know?
1069

Answer:

1069 has 9 at its unit’s digit
1069 is can be a perfect square.

Question 8:

Can we say whether the following number is a perfect square? How do we know?
2061

Answer:

2061 has 1 at its unit’s digit
2061 is can be a perfect square.

Question 9:

Write five numbers which you can decide by looking at their one’s digit that they are not square numbers.

Answer:

217, 168, 90, 4000, 143 etc.

Question 10:

Write five numbers which you cannot decide just by looking at their unit’s digit (or one’s place) whether they are square numbers or not.

Answer:

91, 79, 169, 245, 40005 etc.

Question 11:

Which of (123)2, (77)2, (82)2, (161)2, (109)2.
Which would end with digit 1?

Answer:

(123)2 = 15129
(77)2 = 5929
(82)2 = 6724
(161)2 = 25921
(109)2 = 11881
Thus, (161)2 and (109)2 ends with digit 1.

Question 12:

Which of the following numbers would have digit 6 at unit’s place?
192

Answer:

192 = 361
Unit’s digit = 1

Question 13:

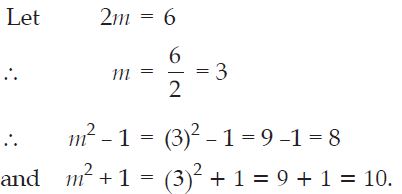
Which of the following number would have digit 6 at unit’s place?
242

Answer:

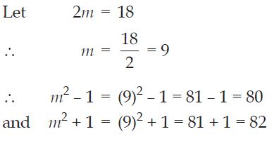
242 = 576
Unit’s digit = 6

Question 14:

Which of the following number would have digit 6 at unit’s place?
262

Answer:

262 = 676
Unit’s digit = 6

Question 15:

Which of the following number would have digit 6 at unit’s place?
362

Answer:

362 = 1296
Unit’s digit = 6

Question 16:

Which of the following number would have digit 6 at unit’s place?
342

Answer:

342 = 1156
Unit’s digit = 6.
Thus, 242 , 262 , 362 and 342 have digit 6 at units place.

Question 17:

What will be the ‘‘one’s digit’’ in the square of the following number?
1234

Answer:

1234
Unit’s digit = 4
Unit’s digit of square = (4)2
= 16 i.e., 6.

Question 18:

What will be the ‘‘one’s digit’’ in the square of the following number?
26387

Answer:

26387
Unit’s digit = 7
Unit’s digit of square = (7)2
= 49 i.e., 9.

Question 19:

What will be the ‘‘one’s digit’’ in the square of the following number?
52698

Answer:

52698
Unit’s digit = 8
Unit’s digit of square = (8)2 = 64 i.e., 4

Question 20:

What will be the ‘‘one’s digit’’ in the square of the following number?
99880

Answer:

99880
Unit’s digit = 0
Unit’s digit of square = 0.

Question 21:

What will be the ‘‘one’s digit’’ in the square of the following number?
21222

Answer:

21222
Unit’s digit = 2
Unit’s digit of square = (2)2 = 4.

Question 22:

What will be the ‘‘one’s digit’’ in the square of the following number?
9106

Answer:

9106
Unit’s digit = 6
Unit’s digit of square = (6)2 = 36 i.e., 6.

Question 23:

The square of which of the following would be an odd number/an even number?
Why?
727

Answer:

727
As the number 727 is an odd number.
Its square is also an odd number.

Question 24:

The square of which of the following would be an odd number/an even number?
Why?
158

Answer:

158
As 158 is an even number.
Its square is also an even number.

Question 25:

The square of which of the following would be an odd number/an even number?
Why?
269

Answer:

269
As 269 is an odd number.
Its square is also an odd number.

Question 26:

The square of which of the following would be an odd number/an even number?
Why?
1980

Answer:

1980
As 1980 has 0 as its unit’s digit and is an even number.
Its square also has its unit’s digit as 0 and is an even number.

Question 27:

What will be the number of zeroes in the square of the following number?
60

Answer:

(60)2 = 3600
Number of zeroes = 2.

Question 28:

What will be the number of zeroes in the square of the following number?
400

Answer:

(400)2 = 160000
Number of zeroes = 4.

Question 29:

How many natural numbers lies between
92 and 102? Between 112 and 122?

Answer:

In general, there are 2n natural numbers between the squares of the numbers n and (n + 1).
i.e., Between (9)2 and (9 + 1)2 = (10)2
There are 2n i.e. 2 (9) = (18) natural numbers.
i.e., 92 = 81
and 102= 100
(81), 82, 83, 84, 85, 86, 87, 88, 89, 90, 91, 92, 93, 94, 95, 96, 97, 98, 99, (100).
There are 2n i.e. 2 (11) = 22 natural numbers.
i.e., (11)2 = 121
and (12)2 = 144
(121), 122, 123, 124, 125, 126, 127, 128, 129, 130, 131, 132, 133, 134, 135, 136, 137, 138, 139, 140, 141, 142, 143, (144).

Question 30:

How many non-square numbers lie between the following pairs of numbers.
(100)2 and (101)2.

Answer:

In general; there are 2n non-square numbers lies between the squares of the numbers n and (n + 1).
Between (100)2 and (100 + 1)2 = (101)2.
There are; 2n = 2 (100) = 200 non-square numbers

Question 31:

How many non-square numbers lie between the following pairs of numbers.
(90)2 and (91)2.

Answer:

Between (90)2 and (90 + 1)2 = (91)2.
There are, 2n = 2 (90) = 180 non-square numbers.

Question 32:

How many non-square numbers lie between the following pairs of numbers.
(1000)2 and (1001)2.

Answer:

Between (1000)2 and (1001)2.
There are, 2n = 2 (1000) = 2000 non-square numbers.

Question 33:

Find whether each of the following numbers is a perfect square or not.
121

Answer:

Note. Sum of first n odd natural numbers is n2.
i.e. If a number is a square number, it has to be the sum of consecutive odd numbers starting from 1.
(i) 121
121 - 1 = 120
120 - 3 = 117
117 - 5 = 112
112 - 7 = 105
105 - 9 = 96
96 - 11 = 85
85 - 13 = 72
72 - 15 = 57
57 - 17 = 40
40 - 19 = 21
21 - 21 = 0
121 is a perfect square number.

Question 34:

Find whether each of the following numbers is a perfect square or not.
55

Answer:

55
55 - 1 = 54
54 - 3 = 51
51 - 5 = 46
46 - 7 = 39
39 - 9 = 30
30 - 11 = 19
19 - 13 = 6
6 - 15 = - 9
55 is not a perfect square number.

Question 35:

Find whether each of the following numbers is a perfect square or not.
81

Answer:

81
81 - 1 = 80
80 - 3 = 77
77 - 5 = 72
72 - 7 = 65
65 - 9 = 56
56 - 11 = 45
45 - 13 = 32
32 - 15 = 17
17 - 17 = 0
81 is a perfect square number.

Question 36:

Find whether each of the following numbers is a perfect square or not.
49

Answer:

49
49 - 1 = 48
48 - 3 = 45
45 - 5 = 40
40 -7 = 33
33 - 9 = 24
24 - 11 = 13
13 - 13 = 0
49 is a perfect square number.

Question 37:

Find whether each of the following numbers is a perfect square or not.
69

Answer:

69
69 - 1 = 68
68 - 3 = 65
65 - 5 = 60
60 - 7 = 53
53 - 9 = 44
44 - 11 = 33
33 - 13 = 20
20 - 15 = 5
5 - 17 = - 12
69 is not a perfect square number.

Question 38:

Express the following as the sum of two consecutive integers.
(i) (21)2
(ii) (13)2
(iii) (11)2
((iv)) (19) 2

Answer:

(i) (21)2 = 441 = 220 + 221
(ii) (13)2 = 169 = 84 + 85
(iii) (11)2 = 121 = 60 + 61
(iv) (19)2 = 361 = 180 + 181

Question 39:

Write the square making use of pattern:
1111112

Answer:

1111112 = 1 2 3 4 5 6 5 4 3 2 1

Question 40:

Write the square making use of pattern:
11111112

Answer:

11111112 = 1 2 3 4 5 6 7 6 5 4 3 2 1

Question 41:

Can you find the square of the following number using pattern:
66666672

Answer:

66666672 = 4 4 4 4 4 4 4 8 8 8 8 8 8 9

Question 42:

Can you find the square of the following number using pattern:
666666672

Answer:

666666672 = 4 4 4 4 4 4 4 4 8 8 8 8 8 8 8 9

Question 43:

What will be the unit digit of the squares of the following number:
81

Answer:

81
The unit digit of 81 = 1
The unit digit of (81)2 is (1)2 = 1

Question 44:

What will be the unit digit of the squares of the following numbers:
272

Answer:

272
The unit digit of 272 = 2
The unit digit of (272)2 is (2)2 = 4

Question 45:

What will be the unit digit of the squares of the following number:
799

Answer:

799
The unit digit of 799 = 9
The unit digit of (799)2 is (9)2 = 81
i.e., 1.

Question 46:

What will be the unit digit of the squares of the following number:
3853

Answer:

3853
The unit digit of 3853 = 3
The unit digit of (3853)2 is (3)2 = 9.

Question 47:

What will be the unit digit of the squares of the following number:
1234

Answer:

1234
The unit digit of 1234 = 4
The unit digit of (1234)2 is (4)2 = 16
i.e., 6.

Question 48:

What will be the unit digit of the squares of the following numbers:
26387

Answer:

26387
The unit digit of 26387 = 7
The unit digit of (26387)2 is (7)2 = 49
i.e., 9.

Question 49:

What will be the unit digit of the squares of the following number:
52698

Answer:

52698
The unit digit of 52698 = 8
The unit digit of (52698)2 is (8)2 = 64
i.e., 4.

Question 50:

What will be the unit digit of the squares of the following number:
99880

Answer:

99880
The unit digit of 99880 = 0
The unit digit of (99880)2 is (0)2 = 0.

Question 51:

What will be the unit digit of the squares of the following number:
12796

Answer:

12796
The unit digit of 12796 = 6
The unit digit of (12796)2 is (6)2 = 36
i.e., 6.

Question 52:

What will be the unit digit of the squares of the following number:
55555

Answer:

55555
The unit digit of 55555 = 5
The unit digit of (55555)2 is (5)2 = 25
i.e., 5

Question 53:

The following numbers are obviously not perfect squares. Give reason.
(i) 1057 (ii) 23453 (iii) 7928
(iv) 222222 (v) 64000 (vi) 89722
(vii) 222000 (viii) 505050.

Answer:

The numbers 1057, 23453, 7928, 222222 and 89722 are not perfect squares, because, a number ending in 2, 3, 7 or 8 is never a perfect square. Also 64000, 222000 and 505050 cannot be perfect squares as they end with odd number of zeros.

Question 54:

The squares of which of the following would be odd numbers?
(i) 431 (ii) 2826
(iii) 7779 (iv) 82004

Answer:

(i) 431 and (iii) 7779 are odd numbers, therefore, the squares of these numbers are also odd numbers.
‘‘Because the square of an odd number is always an odd number.’’

Question 55:

Observe the following pattern and find the missing digits:
112 = 121
1012 = 10201
10012 = 1002001
1000012 = 1............2.........1
10000001 = .................

Answer:

112 = 121
1012 = 10201
10012 = 1002001
1000012 = 10000200001
100000012 = 100000020000001

Question 56:

Observe the following pattern and supply the missing numbers:
112 = 121
1012 = 10201
101012 = 102030201
10101012 = .............
.............2 = 10203040504030201

Answer:

112 = 121
1012 = 10201
101012 = 102030201
10101012 = 1020304030201
1010101012 = 10203040504030201

Question 57:

Using the given pattern, find the missing numbers.
12 + 22 + 22 = 32
22 + 32 + 62 = 72
32 + 42+ 122 = 132
42 + 52 + .............2 = 212
52 + ...2 + 302 = 312
62 +72 + .............2 = ...2

Answer:

12 + 22 + 22 = 32
22 + 32 + 62 = 72
32 + 42 + 122 = 132
42 + 52 + 202 = 212
52 + 62 + 302 = 312
62 + 72 + 422 = 432

Question 58:

Without adding, find the sum:
1 + 3 + 5 + 7 + 9

Answer:

We have,
1 + 3 + 5 + 7 + 9
= Sum of first 5 odd numbers.
= (5)2 = 25

Question 59:

Without adding, find the sum:
1 + 3 + 5 + 7 + 9 + 11 + 13 + 15 + 17 + 19

Answer:

We have:
1 + 3 + 5 + 7 + 9 + 11 + 13 + 15 + 17 + 19
= Sum of first 10 odd numbers
= (10)2 = 100

Question 60:

Without adding, find the sum:
1 + 3 + 5 + 7 + 9 + 11 + 13 + 15 + 17 + 19 + 21 + 23.

Answer:

We have:
1 + 3 + 5 + 7 + 9 + 11 + 13 + 15 + 17 + 19 + 21 + 23
= Sum of first 12 odd numbers
= (12)2 = 144

Question 61:

Express 49 as the sum of 7 odd numbers.

Answer:

49 = 1 + 3 + 5 + 7 + 9 + 11 + 13.

Question 62:

Express 121 as the sum of 11 odd numbers

Answer:

121 = 1 + 3 + 5 + 7 + 9 + 11 + 13 + 15 + 17 + 19 + 21.

Question 63:

How many numbers lie between squares of the following numbers?
12 and 13

Answer:

Between (12)2 and (12 + 1)2 = (13)2.
There are, 2n = 2(12) = 24 natural numbers.

Question 64:

How many numbers lie between squares of the following numbers?
25 and 26

Answer:

Between (25)2 and (25 + 1)2 = (26)2
There are, 2n = 2(25) = 50 natural numbers.

Question 65:

How many numbers lie between squares of the following numbers?
99 and 100.

Answer:

Between (99)2 and (99 + 1)2 = (100)2.
There are, 2n = 2(99) = 198 natural numbers.

Question 66:

Find the squares of the following number containing 5 in unit’s place.
15

Answer:

(15)2 = (1 × 2) hundreds + 25
= 200 + 25 = 225

Question 67:

Find the squares of the following number containing 5 in unit’s place.
95

Answer:

(95)2 = (9 × 10) hundreds + 25
= 9000 + 25 = 9025

Question 68:

Find the squares of the following number containing 5 in unit’s place.
105

Answer:

(105)2 = (10 × 11) hundreds + 25
= 11000 + 25 = 11025

Question 69:

Find the squares of the following number containing 5 in unit’s place.
205

Answer:

(205)2 = (20 × 21) hundreds + 25
= 42000 + 25 = 42025

Question 70:

Find the square of the following numbers:
32

Answer:

(32)2 = (30 + 2)2 = (30 + 2)(30 + 2)
= 30(30 + 2) + 2(30 + 2)
= 302 + 30 × 2 + 2 × 30 + 22
= 900 + 60 + 60 + 4
= 1024

Question 71:

Find the square of the following numbers:
35

Answer:

(35)2 = (30 + 5)2
= (30 + 5)(30 + 5)
= 30(30 + 5) + 5(30 + 5)
= 302 + 30 × 5 + 5 × 30 +52
= 900 + 150 + 150 + 25
= 1225

Question 72:

Find the square of the following numbers:
86

Answer:

(86)2 = (80 + 6)2
= (80 + 6)(80 + 6)
= 80(80 + 6) + 6(80 + 6)
= 802 + 80 × 6 + 6 × 80 + 62
= 6400 + 480 + 480 + 36
= 7396

Question 73:

Find the square of the following numbers:
93

Answer:

(93)2 = (90 + 3)2
= (90 + 3)(90 + 3)
= 90(90 + 3) + 3(90 + 3)
= 902 + 90 × 3 + 3 × 90 + 32
= 8100 + 270 + 270 + 9
= 8649

Question 74:

Find the square of the following numbers:
71

Answer:

(71)2 = (70 + 1)2
= (70 + 1)(70 + 1)
= 70(70 + 1) + 1(70 + 1)
= 702 + 70 × 1 + 1 × 70 + 12
= 4900 + 70 + 70 + 1
= 5041

Question 75:

Find the square of the following numbers:
46.

Answer:

(46)2 = (40 + 6)2
= (40 + 6) (40 + 6)
= 40(40 + 6) + 6(40 + 6)
= 402 + 40 × 6 + 6 × 40 + 62
= 1600 + 240 + 240 + 36
= 2116

Question 76:

Write a Pythagorean Triplet whose one member is:
6

Answer:

Question 77:

Write a Pythagorean Triplet whose one member is:
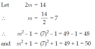
14

Answer:

Question 78:

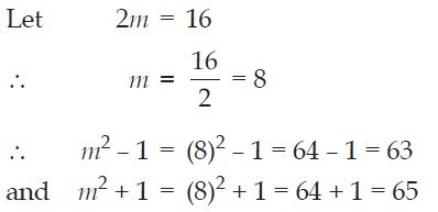
Write a Pythagorean Triplet whose one member is:
16

Answer:

Question 79:

Write a Pythagorean Triplet whose one member is:
18.

Answer:

Question 80:

(i) 112= 121. What is the square root of 121.
(ii) 142 = 196. What is the square root of 196.

Answer:

(i) 112 = 121; therefore, square root of 121 is 11.
(ii) 142 = 196; therefore, square root of 196 is 14.

Question 81:

(-1)2 = 1. Is -1 a square root of 1?

Answer:

Yes, since (1)2 = 1 and (-1)2 = 1
So, we can say that square root of 1 is 1 and -1.

Question 82:

(-2)2 = 4. Is -2, a square root of 4?

Answer:

Yes, square root of 4 is -2.

Question 83:

(-9)2 = 81. Is -9, a square root of 81?

Answer:

Yes, -9 is a square root of 81.

Question 84:

By repeated subtraction of odd numbers from 1, find whether the 121 is perfect squares or not? If the number is a perfect square, then, find its square root.

Answer:

121
(i) 121 - 1 = 120 (ii) 120 - 3 = 117
(iii) 117 - 5 = 112 (iv) 112 - 7 = 105
(v) 105 - 9 = 96 (vi) 96 - 11 = 85
(vii) 85 - 13 = 72 (viii) 72 - 15 = 57
(ix) 57 - 17 = 40 (x) 40 - 19 = 21
(xi) 21 - 21 = 0
Here, we get 0 at 11th step.

Question 85:

By repeated subtraction of odd numbers from 1, find whether the 55 is perfect squares or not? If the number is a perfect square, then, find its square root.

Answer:

55
(i) 55 - 1 = 54 (ii) 54 - 3 = 51
(iii) 51 - 5 = 46 (iv) 46 - 7 = 39
(v) 39 - 9 = 30 (vi) 30 - 11 = 19
(vii) 19 - 13 = 6 (viii) 6 - 15 = - 9
Here, 0 is not obtained after repeated
subtraction.
55 is not a perfect square.

Question 86:

By repeated subtraction of odd numbers from 1, find whether the 36 is perfect squares or not? If the number is a perfect square, then, find its square root.

Answer:

36
(i) 36 - 1 = 35 (ii) 35 - 3 = 32
(iii) 32 - 5 = 27 (iv) 27 - 7 = 20
(v) 20 - 9 = 11 (vi) 11 - 11 = 0
Here, we get 0 at 6th step.

Question 87:

By repeated subtraction of odd numbers from 1, find whether the 49 is perfect squares or not? If the number is a perfect square, then, find its square root.

Answer:

49
(i) 49 - 1 = 48 (ii) 48 - 3 = 45
(iii) 45 - 5 = 40 (iv) 40 - 7 = 33
(v) 33 - 9 = 24 (vi) 24 - 11 = 13
(vii) 13 - 13 = 0
Here, we get 0 at 7th step.

Question 88:

By repeated subtraction of odd numbers from 1, find whether the 90 is perfect squares or not? If the number is a perfect square, then, find its square root.

Answer:

90
(i) 90 - 1 = 89 (ii) 89 - 3 = 86
(iii) 86 - 5 = 81 (iv) 81 - 7 = 74
(v) 74 - 9 = 65 (vi) 65 - 11 = 54
(vii) 54 - 13 = 41 (viii) 41 - 15 = 26
(ix) 26 - 17 = 9 (x) 9 - 19 = -10
Here, 0 is not obtained after 10th step.
90 is not a perfect square.

Question 89:

What could be the ‘one’s’ digits of the square
root of each of the following numbers?
(i) 9801 (ii) 99856
(iii) 998001 (iv) 657666025.

Answer:

Question 90:

Without doing any calculation, find the numbers which are surely not perfect squares.
(i) 153 (ii) 257
(iii) 408 (iv) 441.

Answer:

Question 91:

Find the square roots of 100 and 169 by the method of repeated subtraction.

Answer:

(a) 100
(i) 100 - 1 = 99 (ii) 99 - 3 = 96
(iii) 96 - 5 = 91 (iv) 91 - 7 = 84
(v) 84 - 9 = 75 (vi) 75 - 11 = 64
(vii) 64 - 13 = 51 (viii) 51 - 15 = 36
(ix) 36 - 17 = 19 (x) 19 - 19 = 0.

Question 92:

Find the square roots of the 729 by the prime factorisation Method.

Answer:

Question 93:

Find the square roots of the 400 by the prime factorisation Method.

Answer:

Question 94:

Find the square roots of the 1764 by the prime factorisation Method.

Answer:

Question 95:

Find the square roots of the 4096 by the prime factorisation Method.

Answer:

Question 96:

Find the square roots of the 7744 by the prime factorisation Method.

Answer:

Question 97:

Find the square roots of the 9604 by the prime factorisation Method.

Answer:

Question 98:

Find the square roots of the 5929 by the prime factorisation Method.

Answer:

Question 99:

Find the square roots of the 9216 by the prime factorisation Method.

Answer:

Question 100:

Find the square roots of the 529 by the prime factorisation Method.

Answer:

Question 101:

Find the square roots of the 8100 by the prime factorisation Method.

Answer:

Question 102:

Find the smallest whole number by which 252 should be multiplied so as to get a perfect square number. Also, find the square root of the square number so obtained.

Answer:

Question 103:

Find the smallest whole number by which 180 should be multiplied so as to get a perfect square number. Also, find the square root of the square number so obtained.

Answer:

Question 104:

Find the smallest whole number by which 1008 should be multiplied so as to get a perfect square number. Also, find the square root of the square number so obtained.

Answer:

Question 105:

Find the smallest whole number by which 2028 should be multiplied so as to get a perfect square number. Also, find the square root of the square number so obtained.

Answer:

Question 106:

Find the smallest whole number by which 1458 should be multiplied so as to get a perfect square number. Also, find the square root of the square number so obtained.

Answer:

Question 107:

Find the smallest whole number by which 768 should be multiplied so as to get a perfect square number. Also, find the square root of the square number so obtained.

Answer:

Question 108:

Find the smallest whole number by which 252 should be divided so as to get a perfect square number. Also, find the square root of the square number so obtained.

Answer:

Question 109:

Find the smallest whole number by which 2925 should be divided so as to get a perfect square number. Also, find the square root of the square number so obtained.

Answer:

Question 110:

Find the smallest whole number by which 396 should be divided so as to get a perfect square number. Also, find the square root of the square number so obtained.

Answer:

Question 111:

Find the smallest whole number by which 2645 should be divided so as to get a perfect square number. Also, find the square root of the square number so obtained.

Answer:

Question 112:

Find the smallest whole number by which 2800 should be divided so as to get a perfect square number. Also, find the square root of the square number so obtained.

Answer:

Question 113:

Find the smallest whole number by which 1620 should be divided so as to get a perfect square number. Also, find the square root of the square number so obtained.

Answer:

Question 114:

The students of Class VIII of a school donated ₹2401 for Prime Minister’s National Relief Fund. Each student donated as many rupees as the number of students in the class. Find the number of students in the class.

Answer:

Question 115:

2025 plants are to be planted in a garden in such a way that each row contains as many plants as the number of rows. Find the number of rows and the number of plants in each row.

Answer:

Question 116:

Find the smallest square number that is divisible by each of the numbers 4, 9 and 10.

Answer:

Question 117:

Find the smallest square number that is divisible by each of the numbers 8, 15 and 20.

Answer:

Question 118:

Answer:

Yes.

Question 119:

Without calculating square roots, find the number of digits in the square root of the following numbers.
(i) 25600 (ii) 100000000 (iii) 36864

Answer:

We use bars to find the number of digits in the square root of a perfect square number.

Question 120:

Estimate the value of the following to the nearest whole number:

Answer:

Question 121:

Find the square root of 2304 by Division Method.

Answer:

Question 122:

Find the square root of 4489 by Division Method.

Answer:

Question 123:

Find the square root of 3481 by Division Method.

Answer:

Question 124:

Find the square root of 529 by Division Method.

Answer:

Question 125:

Find the square root of 3249 by Division Method.

Answer:

Question 126:

Find the square root of 1369 by Division Method.

Answer:

Question 127:

Find the square root of 5776 by Division Method.

Answer:

Question 128:

Find the square root of 7921 by Division Method.

Answer:

Question 129:

Find the square root of 576 by Division Method.

Answer:

Question 130:

Find the square root of 1024 by Division Method.

Answer:

Question 131:

Find the square root of 3136 by Division Method.

Answer:

Question 132:

Find the square root of 900 by Division Method.

Answer:

Question 133:

Find the number of digits in the square root of 64 (without any calculation).

Answer:

As we know that the square root of 2-digit number is a single digit number, square root of three or four digit number is a two-digit number, square root of five or six digit number is a 3 digit number and so on... .
64 is a two digit number. Therefore, the number of digits in its square root is 1.

Question 134:

Find the number of digits in the square root of 144 (without any calculation).

Answer:

As we know that the square root of 2-digit number is a single digit number, square root of three or four digit number is a two-digit number, square root of five or six digit number is a 3 digit number and so on... .
144 is a three digit number. Therefore, the number of digits in its square root is 2.

Question 135:

Find the number of digits in the square root of 4489 (without any calculation).

Answer:

As we know that the square root of 2-digit number is a single digit number, square root of three or four digit number is a two-digit number, square root of five or six digit number is a 3 digit number and so on... .
4489 is a four digit number. Therefore, the number of digits in its square root is 2.

Question 136:

Find the number of digits in the square root of 27225 (without any calculation).

Answer:

As we know that the square root of 2-digit number is a single digit number, square root of three or four digit number is a two-digit number, square root of five or six digit number is a 3 digit number and so on... .
27225 is a five digit number. Therefore, the number of digits in its square root is 3.

Question 137:

Find the number of digits in the square root of 390625 (without any calculation).

Answer:

As we know that the square root of 2-digit number is a single digit number, square root of three or four digit number is a two-digit number, square root of five or six digit number is a 3 digit number and so on... .
390625 is a six digit number. Therefore, the number of digits in its square root is 3.

Question 138:

Find the square root of 2.56.

Answer:

Question 139:

Find the square root of 7.29.

Answer:

Question 140:

Find the square root of 51.84.

Answer:

Question 141:

Find the square root of 42.25.

Answer:

Question 142:

Find the square root of 31.36.

Answer:

Question 143:

Find the least number which must be subtracted from 402 so as to get a perfect square. Also, find the square root of the perfect square so obtained.

Answer:

402

Question 144:

Find the least number which must be subtracted from 1989 so as to get a perfect square. Also, find the square root of the perfect square so obtained.

Answer:

Question 145:
Find the least number which must be subtracted from 3250 so as to get a perfect square. Also, find the square root of the perfect square so obtained.
Answer:

Question 146:

Find the least number which must be subtracted from 825 so as to get a perfect square. Also, find the square root of the perfect square so obtained.

Answer:

Question 147:

Find the least number which must be subtracted from 4000 so as to get a perfect square. Also, find the square root of the perfect square so obtained.

Answer:

Question 148:

Find the least number which must be added to 525 so as to get a perfect square. Also, find the square root of the perfect square so obtained.

Answer:

525

Question 149:

Find the least number which must be added to 1750 so as to get a perfect square. Also, find the square root of the perfect square so obtained.

Answer:

Question 150:

Find the least number which must be added to 252 so as to get a perfect square. Also, find the square root of the perfect square so obtained.

Answer:

Question 151:

Find the least number which must be added to 1825 so as to get a perfect square. Also, find the square root of the perfect square so obtained.

Answer:

Question 152:

Find the least number which must be added to 6412 so as to get a perfect square. Also, find the square root of the perfect square so obtained.

Answer:

Question 153:

Find the length of the side of a square whose area is 441 m2.

Answer:

Question 154:

In a right triangle ABC, B = 90°.
(a) If AB = 6 cm, BC = 8 cm, Find AC.
(b) If AC = 13 cm, BC = 5 cm, Find AB.

Answer:

Question 155:

A gardener has 1000 plants. He wants to plant these in such a way that the number of rows and the number of columns remain same. Find the minimum number of plants he needs more for this.

Answer:

Total no. of available plants = 1000
Minimum number of more plants he needs = 124 – 100
= 24 plants
i.e., 1000 + 24 = 1024
No. of plants in a rwo and a column

Question 156:

There are 500 children in a school. For a P.T. drill they have to stand in such a manner that the number of rows is equal to number of columns. How many children would be left out in this arrangement.

Answer: