NCERT Solutions for Class 8 Math Chapter 1 - Rational Numbers

Question 1:

Fill in the blanks in the following table:

Answer:

Question 2:

Complete the following table:

Answer:

Question 3:

Complete the following table:

Answer:

Question 4:

Find using distributivity

Answer:

Question 5:

Find using distributivity

Answer:

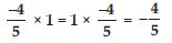
Question 6:

Using appropriate properties find:

Answer:

Question 7:

Using appropriate properties find:

Answer:

Question 8:

Write the additive inverse of the following:

Answer:

Question 9:

Write the additive inverse of the following:

Answer:

Question 10:

Write the additive inverse of the following:

Answer:

Question 11:

Write the additive inverse of the following:

Answer:

Question 12:

Write the additive inverse of the following:

Answer:

Question 13:

Verify that: −(−x) = x for:

Answer:

Question 14:

Verify that: −(−x) = x for:

Answer:

Question 15:

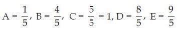
Find the multiplicative inverse of the following:
–13

Answer:

Question 16:

Find the multiplicative inverse of the following:

Answer:

Question 17:

Find the multiplicative inverse of the following:

Answer:

Question 18:

Find the multiplicative inverse of the following:

Answer:

Question 19:

Find the multiplicative inverse of the following:

Answer:

Question 20:

Find the multiplicative inverse of the following:
–1

Answer:

Question 21:

Name the property under multiplication used of the following:

Answer:

Multiplicative identity.

Question 22:

Name the property under multiplication used of the following:

Answer:

Commutative property of multiplication.

Question 23:

Name the property under multiplication used of the following:

Answer:

Multiplicative inverse.

Question 24:

Answer:

Question 25:

Tell what property allows you to compute:

Answer:

Associativity of multiplication.

Question 26:

Answer:

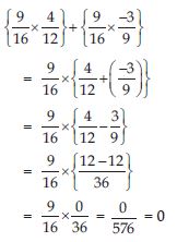
Question 27:

Answer:

Question 28:

Write:
(i) The rational number that does not have a reciprocal.
(ii) The rational numbers that are equal to their reciprocals.
(iii) The rational numbers that is equal to their negative.

Answer:

(i)

(ii) 1 and (–1).
(iii) Zero.

Question 29:

Zero has _______________reciprocal.

Answer:

no

Question 30:

The numbers ______________ and ____________ are their own reciprocals.

Answer:

1 and –1

Question 31:

The reciprocal of –5 is ___________ .

Answer:

Question 32:

Reciprocal of

, where x 0 is _____________.

Answer:

x

Question 33:

The product of two rational numbers is always a _____________.

Answer:

rational number

Question 34:

The reciprocal of a positive rational number is __________.

Answer:

positive

Question 35:

Represent these numbers on the number line:

Answer:

Question 36:

Answer:

Question 37:

Write five rational numbers which are smaller than 2.

Answer:

Question 38:

Answer:

Question 39:

Find five rational numbers between

Answer:

Question 40:

Write five rational numbers greater than −2.

Answer:

Five rational numbers greater than −2 are given by : –1, 0, 1, 2, 3, 4, 5 etc.

Question 41:

Answer:

First convert them to rational numbers, with the same denominators.

Question 42:

Write the rational number for each point labelled with a letter.

Answer:

Question 43:

Write the rational number for each point labelled with a letter.

Answer: