NCERT Solutions for Class 8 Math Chapter 2 - Microorganisms- Friend and Foe

Question 1:

Solve the following equation:
x – 2 = 7

Answer:

x – 2 = 7 [Transposing]
x = 7 + 2
x = 9

Question 2:

Solve the following equation:
y + 3 = 10

Answer:

y + 3 = 10
y = 10 – 3 [Transposing]
y = 7

Question 3:

Solve the following equation:
6 = z + 2

Answer:

6 = z + 2
6 – 2 = z [Transposing]
4 = z

Question 4:

Solve the following equation:

Answer:

Question 5:

Solve the following equation:
6x = 12

Answer:

6x = 12

Question 6:

Solve the following equation:

Answer:

Question 7:

Solve the following equation:

Answer:

Question 8:

Solve the following equation:

Answer:

Question 9:

Solve the following equation:
7x – 9 = 16

Answer:

7x – 9 = 16
7x = 16 + 9 (Transposing)
7x = 25

Question 10:

Solve the following equation:
14y – 8 = 13

Answer:

14y – 8 = 13
14y = 13 + 8 (Transposing)
14y = 21

Question 11:

Solve the following equation:
17 + 6p = 9

Answer:

17 + 6p = 9
6p = 9 – 17 (Transposing)
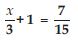
6p = –8

Question 12:

Solve the following equation:

Answer:

Question 13:

Solve the following equation:

Answer:

Question 14:

The perimeter of a rectangular swimming pool is 154 m. Its length is 2 m more than twice its breadth. What are the length and the breadth of the pool?

Answer:

Perimeter of the pool = 154 m
Let breadth of the pool = x m
Length of the pool = (2x + 2) m
Perimeter = 2(Length + Breadth)
154 = 2[x + 2x + 2]
154 = 2[3x + 2]
154 = 6x + 4
6x = 154 – 4 6x = 150

= 25 m
Breadth of the pool = 25 m
Length of the pool = (2x + 2)
= 2(25) + 2 = 50 + 2 = 52

Question 15:

Answer:

Question 16:

Sum of two numbers is 95. If one exceeds the other by 15, find the numbers.

Answer:

Let one number = x
Other number = x + 15
According to question,
x + x + 15 = 95
x + x = 95 – 15
2x = 80

One number = x = 40
Other number = x + 15 = 40 + 15 = 55.

Question 17:

Two numbers are in the ratio 5 : 3. If they differ by 18, what are the numbers?

Answer:

Since, two numbers are in the ratio 5 : 3
Let first number = 5x
and second number = 3x
According to question,
5x – 3x = 18
2x = 18

First number = 5x = 5 × 9 = 45
and second number = 3x = 3 × 9 = 27

Question 18:

Three consecutive integers add up to 51.
What are these integers?

Answer:

Let first integer = x
Second consecutive integer = x + 1
Third consecutive integer = x + 2
According to question,
x + x + 1 + x + 2 = 51
3x + 3 = 51
3x = 51 – 3
3x = 48

First integer = x = 16
second integer = x + 1 = 16 + 1 = 17
and third integer = x + 2 = 16 + 2 = 18

Question 19:

The sum of three consecutive multiples of 8 is 888. Find the multiples.

Answer:

Let first multiple of 8 is 8x.
Second consecutive multiple = 8x + 8
And third consecutive multiple = (8x + 8) + 8
= 8x + 16
According to question,
8x + 8x + 8 + 8x + 16 = 888
24x + 24 = 888
24x = 888 – 24
24x = 864

First multiple of 8 = 8x = 8 × 36 = 288
Second multiple of 8 = 8x + 8 = 8 × 36 + 8 = 288 + 8 = 296 And third multiple of 8 = 8x + 16 = 8 × 36 + 16 = 288 + 16 = 304

Question 20:

Three consecutive integers are such that when they are taken in increasing order and multiplied by 2, 3 and 4 respectively, they add up to 74. Find these numbers.

Answer:

Let three consecutive integers in increasing order
are x, x + 1 and x + 2
According to question,
2x + 3 (x + 1) + 4 (x + 2) = 74
2x + 3x + 3 + 4x + 8 = 74
9x + 11 = 74
9x = 74 – 11
9x = 63

First integer = x = 7 Second integer = x + 1 = 7 + 1 = 8 And third integer = x + 2 = 7 + 2 = 9

Question 21:

The ages of Rahul and Haroon on in the ratio 5 : 7. Four years later, the sum of their ages will be 56 years. What are their present ages?

Answer:

Let present age of Rahul = 5x
and present age of Haroon = 7x
Four years later;
Age of Rahul = 5x + 4
Age of Haroon = 7x + 4
According to question,
(5x + 4) + (7x + 4) = 56
5x + 4 + 7x + 4 = 56
12x + 8 = 56
12x = 56 – 8
12x = 48

Present age of Rahul = 5x = 5 × 4 = 20
And present age of Haroon = 7x = 7 × 4 = 28

Question 22:

The number of boys and girls in a class are in the ratio 7 : 5. The number of boys is 8 more than the number of girls. What is the total class strength?

Answer:

Let the number of boys in the class = 7x
and the number of girls in the class = 5x
According to question,
7x = 5x + 8
7x – 5x = 8
2x = 8

Number of boys = 7x = 7 × 4 = 28
and number of girls = 5x = 5 × 4 = 20
Total class strength = 28 + 20 = 48 students

Question 23:

Baichung’s father is 26 years younger than Baichung’s grandfather and 29 years older than Baichung. The sum of the ages of all three is 135 years. What is the age of each one of them?

Answer:

Let the age of Baichung = x years
Age of Baichung’s father = (x + 29) years
Since, sum of ages of all three is 135 years.
Age of Baichung’s grandfather
= 135 – (x + x + 29)
= 135 – (2x + 29)
= 135 – 2x – 29
= 106 – 2x ...(1)
According to question,
Age of Baichung’s grandfather
= (x + 29) + 26
= x + 55 ...(2)
From (1) and (2), we have:
106 – 2x = x + 55
106 – 55 = x + 2x
51 = 3x

Age of Baichung = 17 years
Age of Baichung’s father = x + 29
= 17 + 29 = 46 years
Age of Baichung’s grandfather = x + 55
= 17 + 55 = 72 years

Question 24:

Fifteen years from now Ravi’s age will be four times his present age. What is Ravi’s present age?

Answer:

Let the present age of Ravi = x years
After 15 years, age of Ravi = (x + 15) years
According to question,
x + 15 = 4x
4x – x = 15
3x = 15

Present age of Ravi = 5 years

Question 25:

Answer:

Question 26:

Lakshmi is a cashier in a bank. She has currency notes of denominations ₹100, ₹50 and ₹10 respectively. The ratio of the numbers of these notes is 2:3:5. The total cash with Lakshmi is ₹4,00,000. How many notes of each denomination does she have?

Answer:

Let the number of ₹100 notes = 2x
Number of ₹50 notes = 3x
and number of ₹10 notes = 5x
Total money she had
= 2x × 100 + 3x × 50 + 5x × 10
= 200x + 150x + 50x
= 400x
According to question,
400x = 4,00,000

Number of ₹100 notes = 2x = 2 × 1000 = 2000
Number of ₹50 notes = 3x = 3 × 1000 = 3000
Number of ₹10 notes = 5x = 5 × 1000 = 5000

Question 27:

I have a total of ₹300 in coins of denomination ₹1,₹2 and ₹5. The number of ₹2 coins is 3 times the number of ₹5 coins. The total number of coins is 160. How many coins of each denomination are with me?

Answer:

Total money I had = ₹300
Total number of coins = 160
Let the number of ₹5 coins = x
The number of ₹2 coins = 3x
The number of ₹1 coin = 160 – (x + 3x)
= 160 – 4x
Total money I had
= 5 × x + 2 × 3x + 1 × (160 – 4x)
= 5x + 6x + 160 – 4x
= 160 + 7x
According to question,
160 + 7x = 300
7x = 300 – 160
7x = 140

Number of ₹5 coins = x = 20
Number of ₹2 coins = 3x = 3 × 20 = 60
Number of ₹1 coin = 160 – 4x
= 160 – 4 × 20
= 160 – 80 = 80

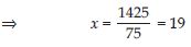
Question 28:

The organisers of an essay competition decide that a winner in the competition gets a prize of ₹100 and a participant who does not win gets a prize of ₹25. The total prize money distributed is ₹3,000. Find the number of winners, if the total number of participants is 63.

Answer:

Total prize money = ₹3000
Prize given to a winner = ₹100
Prize given to a participant = ₹25
Total number of participants = 63
Let number of winners = x
Number of participants who does
not win = (63 – x)
Prize money distributed to winners
= ₹100 × x = ₹100x
Prize money distributed to participants who
does not win = ₹25 (63 – x)
Total prize money = ₹100 x + ₹25 (63 – x)
We have,
100x + 25 (63 – x) = 3000
100x + 1575 – 25x = 3000
75x = 3000 – 1575
75x = 1425

Number of winners = x = 19

Question 29:

Solve the following equation and check your results:
3x = 2x + 18

Answer:

3x = 2x + 18
3x – 2x = 18
x = 18
Check:
3x = 2x + 18
3(18) = 2(18) + 18
54 = 36 + 18
54 = 54
LHS = RHS

Question 30:

Solve the following equation and check your results:
5t – 3 = 3t – 5

Answer:

5t – 3 = 3t – 5
5t – 3t = – 5 + 3
2t = – 2

Check:
5t – 3 = 3t – 5
5 (– 1) – 3 = 3 (– 1) – 5
– 5 – 3 = – 3 – 5
– 8 = – 8
LHS = RHS

Question 31:

Solve the following equation and check your results:
5x + 9 = 5 + 3x

Answer:

5x + 9 = 5 + 3x
5x – 3x = 5 – 9
2x = – 4

x = – 2
Check:
5x + 9 = 5 + 3x
5 (– 2) + 9 = 5 + 3 (– 2)
– 10 + 9 = 5 – 6
– 1 = – 1
LHS = RHS

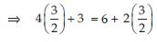
Question 32:

Solve the following equation and check your results:
4z + 3 = 6 + 2z

Answer:

4z + 3 = 6 + 2z
4z – 2z = 6 – 3
2z = 3

Check:
4z + 3 = 6 + 2z

2(3) + 3 = 6 + 3
6 + 3 = 9
9 = 9
LHS = RHS

Question 33:

Solve the following equation and check your results:
2x – 1 = 14 – x

Answer:

2x – 1 = 14 – x
2x + x = 14 + 1
3x = 15

Check:
2x – 1 = 14 – x
2(5) – 1 = 14 – 5
10 – 1 = 9
9 = 9
LHS = RHS

Question 34:

Solve the following equation and check your results:
8x + 4 = 3(x – 1) + 7

Answer:

8x + 4 = 3(x – 1) + 7
8x + 4 = 3x – 3 + 7
8x – 3x = 4 – 4
5x = 0

Check:
8x + 4 = 3(x – 1) + 7
8(0) + 4 = 3(0 – 1) + 7
0 + 4 = – 3 + 7
4 = 4
LHS = RHS

Question 35:

Solve the following equation and check your results:

Answer:

5x = 4x + 40
5x – 4x = 40
x = 40
Check:

40 = 4(10)
40 = 40
LHS = RHS

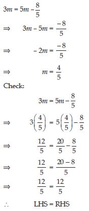
Question 36:

Solve the following equation and check your results:

Answer:

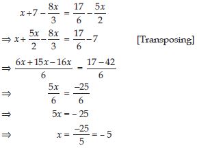
Question 37:

Solve the following equation and check your results:

Answer:

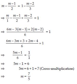
Question 38:

Solve the following equation and check your results:

Answer:

Question 39:

Answer:

Let the number thought by Amina = x
Now, according to statement,

8x – 20 = 3x
8x – 3x = 20
5x = 20

The number thought by Amina = 4

Question 40:

A positive number is 5 times another number. If 21 is added to both the numbers, then one of the new numbers becomes twice the other new number. What are the numbers?

Answer:

Let first positive number = x
Then, another positive number = 5x
When 21 is added to both the numbers, then the
numbers becomes twice.
First new number = x + 21
And another new number = 5x + 21
Now,
According to question,
5x + 21 = 2(x + 21)
5x + 21 = 2x + 42
5x – 2x = 42 – 21
3x = 21

The first number = 7
and another number = 5x = 5(7) = 35

Question 41:

Sum of the digits of a two-digit number is 9. When we interchange the digits, it is found that the resulting new number is greater than the original number by 27. What is the two digit number?

Answer:

Sum of digits = 9
Let digit at unit’s place = x
Digit at tens place = 9 – x
Number = 10 × (Digit at tens place) + Digit
at unit’s place
= 10(9 – x) + x
= 90 – 10x + x
= 90 – 9x
Now, the number obtained by interchanging the
digits = 10x + (9 – x)
= 10x + 9 – x
= 9x + 9
According to question,
9x + 9 = (90 – 9x) + 27
9x + 9 = 90 – 9x + 27
9x + 9x = 117 – 9
18x = 108

Number = 90 – 9x
= 90 – 9 (6)
= 90 – 54 = 36

Question 42:

One of the two digits of a two-digit number is three times the other digit. If you interchange the digits of this two-digit number and add the resulting number to the original number, you get 88. What is the original number?

Answer:

Let unit’s digit = x
and ten’s digit = 3x
The number = 10 (Digit at tens place)
+ (Digit at unit’s place)
= 10(3x) + x
= 30x + x
= 31x
Number obtained by interchanging the digits
= 10(x) + 3x
= 10x + 3x = 13x
Now,
According to question,
31x + 13x = 88
44x = 88

The number = 31x = 31(2) = 62

Question 43:

Shobo’s mother’s present age is six times Shobo’s present age. Shobo’s age five years from now will be one third of his mother’s present age. What are their present ages?

Answer:

Let the present age of Shobo = x years
The present age of Shobo’s mother = 6x years
After 5 years,
Age of Shobo = (x + 5) years
Age of Shobo’s mother = (6x + 5) years
According to question,

x + 5 = 2x
2x – x = 5 x = 5
Present age of Shobo = 5 years
Present age of Shobo’s mother
= 6x = 6(5) = 30 years

Question 44:

There is a narrow rectangular plot, reserved for a school, in Mahuli village. The length and breadth of the plot are in the ratio 11 : 4. At the rate ₹100 per metre it will cost the village panchayat ₹75000 to fence the plot. What are the dimensions of the plot?

Answer:

Let length of plot = 11x
and breadth of plot = 4x
Perimeter of rectangular plot = 2 (l + b)
= 2(11x + 4x)
= 2(15x) = 30x
It is given that cost of fencing the plot at the rate
of ₹ 100 per metre is ₹ 75000.
30x × 100 = 75000
3000x = 75000

x = 25
Length of rectangular plot = 11x = 11 × 25 = 275 m
Breadth of rectangular plot = 4x = 4 × 25 = 100 m

Question 45:

Hasan buys two kinds of cloth materials for school uniforms, shirt material that costs him ₹50 per metre and trouser material that costs him ₹90 per metre. For every 2 metres of the trouser material, he buys 3 metres of the shirt material. He sells the materials at 12% and 10% profit respectively. His total sale is ₹36,660. How much trouser material did he buy?

Answer:

Let the total material purchased for shirts = 3x
metre and the total material purchased for
trousers = 2x metre
Cost price of shirt material = ₹50 per metre
Cost price of trouser material = ₹90 per metre
Profit = 12%
Profit on shirt material = 12% of ₹50

Question 46:

Half of a herd of deer are grazing in the field and three fourths of the remaining are playing nearby. The rest 9 are drinking water from the pond. Find the number of deer in the herd.

Answer:

Let the number of deer in the herd = x
Number of deer grazing in the field

Question 47:

A grandfather is ten times older than his grand-daughter. He is also 54 years older than her. Find their present ages.

Answer:

Let the age of grand-daughter = x years
Age of grandfather = 10x years
Also, it is given that,
10x = x + 54
10x – x = 54
9x = 54 x = 6 years
Present age of grand-daughter = x = 6 years
Present age of grandfahter = 10x
= 10(6) = 60 years

Question 48:

Aman’s age is three times his son’s age. Ten years ago he was five times his son’s age. Find their present ages.

Answer:

Let age of Aman’s son = x years
Age of Aman = 3x years
Ten years ago, age of Aman’s son = (x – 10) years
Ten years Ago, age of Aman = (3x – 10) years
According to question,
3x – 10 = 5(x – 10)
3x – 10 = 5x – 50
3x – 5x = – 50 + 10
– 2x = – 40 x = 20
Age of Aman’s son = 20 years
Age of Aman = 3x = 3(20) = 60 years

Question 49:

Solve the following equation

Answer:

Question 50:

Solve the following equation

Answer:

Question 51:

Solve the following equation

Answer:

Question 52:

Solve the following equation

Answer:

Question 53:

Solve the following equation

Answer:

Question 54:

Solve the following equation

Answer:

Question 55:

Solve the following equation
3(t – 3) = 5(2t + 1)

Answer:

We have,
3(t – 3) = 5(2t + 1)
3t – 9 = 10t + 5
3t – 10t = 5 + 9
– 7t = 14
t = – 2

Question 56:

Solve the following equation
15(y – 4) – 2(y – 9) + 5(y + 6) = 0

Answer:

We have,
15(y – 4) – 2(y – 9) + 5(y + 6) = 0
15y – 60 – 2y + 18 + 5y + 30 = 0
15y – 2y + 5y = 60 – 18 – 30
18y = 12

Question 57:

Solve the following equation
3(5z – 7) – 2(9z – 11) = 4(8z – 13) – 17

Answer:

We have,
3(5z – 7) – 2(9z – 11) = 4(8z – 13) – 17
15z – 21 – 18z + 22 = 32z – 52 – 17
– 3z – 32z = – 69 + 21 – 22
– 35z = – 70 z = 2

Question 58:

Solve the following equation
0.25(4f – 3) = 0.05(10f – 9)

Answer:

We have,
0.25(4f – 3) = 0.05(10f – 9)
1.00f – 0.75 = 0.5f – 0.45
1.0f – 0.5f = –0.45 + 0.75
0.5f = 0.30

Question 59:

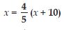
Solve the following equation

Answer:

Question 60:

Solve the following equation

Answer:

Question 61:

Solve the following equation

Answer:

Question 62:

Solve the following equation

Answer:

Question 63:

Solve the following equation

Answer:

Question 64:

The ages of Hari and Harry are in the ratio 5 : 7. Four years from now ratio of their ages will be 3 : 4. Find their present ages.

Answer:

Let age of Hari = 5x
and age of Harry = 7x
After four years,
Age of Hari = 5x + 4
Age of Harry = 7x + 4
According to question,

Multiplying both sides by (7x + 4), we have

4(5x + 4) = 3(7x + 4)
20x + 16 = 21x + 12
20x – 21x = 12 – 16
– x = – 4
x = 4
Age of Hari = 5x = 5 (4) = 20 years
Age of Harry = 7x = 7 (4) = 28 years

Question 65:

Answer:

Let the numerator = x
Denominator = x + 8
According to question,