NCERT Solutions for Class 8 Math Chapter 14 - Factorisation

Question 1:

Factorise:
12x + 36

Answer:

12x + 36 = 12 (x + 3)

Question 2:

Factorise:
22y - 33z

Answer:

22y - 33z = 11 (2y - 3z)

Question 3:

Factorise:
14pq + 35pqr

Answer:

14pq + 35pqr = 7pq (2 + 5r)

Question 4:

Find the common factors of the given terms:
12x, 36

Answer:

12x, 36
12x = 2 × 2 × 3 × x
36 = 2 × 2 × 3 × 3
The common factors are 2, 2, 3 and the highest
common factor is 12.

Question 5:

Find the common factors of the given terms:
2y, 22xy

Answer:

2y, 22xy
2y = 2 × y
22xy = 2 × 11 × x × y
The common factors are 2, y and the highest common factor is 2y.

Question 6:

Find the common factors of the given terms:
14pq, 28p2q2

Answer:

14pq, 28p2q2
14pq = 2 × 7 × p × q
28p2q2 = 2 × 2 × 7 × p × p × q × q
The common factors are 2, 7, p, q and the highest common factor is 14pq

Question 7:

Find the common factors of the given terms:
2x, 3x2, 4

Answer:

2x, 3x2, 4
2x = 2 × x
3x2 = 3 × x × x
4 = 2 × 2
The common factor is 1.

Question 8:

Find the common factors of the given terms:
6abc, 24ab2, 12a2b

Answer:

6abc, 24ab2, 12a2b
6abc = 2 × 3 × a × b × c
24ab2 = 2 × 2 × 2 × 3 × a × b × b
12a2b = 2 × 2 × 3 × a × a × b
The common factors are 2, 3, a, b and the
highest common factor is 6ab.

Question 9:

Find the common factors of the given terms:
16x3b, - 4x2, 32x

Answer:

16x3b, - 4x2b, 32x
16x3 = 2 × 2 × 2 × 2 × x × x × x
- 4x2 = - 1 × 2 × 2 × x × x
32x = 2 × 2 × 2 × 2 × 2 × x
The common factors are 2, 2, x and the highest common factor is 4x.

Question 10:

Find the common factors of the given terms:
10pq, 20qr, 30 rp

Answer:

10pq, 20qr, 30rp
10pq = 2 × 5 × p × q
20qr = 2 × 2 × 5 × q × r
30rp = 2 × 3 × 5 × r × p
The common factors are 2, 5 and the highest
common factor is 10

Question 11:

Find the common factors of the given terms:
3x2y3, 10x3y2, 6x2y2z

Answer:

3x2y3, 10x3y2, 6x2y2z
3x2y3 = 3 × x × x × y × y × y
10x3y2 = 2 × 5 × x × x × x × y × y
6x2y2z = 2 × 3 × x × x × y × y × z
The common factors are x, x, y, y and the highest common factor is x2y2.

Question 12:

Factorise the following expressions:
7x - 42

Answer:

7x - 42 = 7 (x - 6)

Question 13:

Factorise the following expressions:
6p - 12q

Answer:

6p - 12q = 6 (p - 2q)

Question 14:

Factorise the following expression: 7a2 + 14a

Answer:

7a2 + 14a = 7a (a + 2)

Question 15:

Factorise the following expression: -16z + 20z3

Answer:

- 16z + 20z3 = -4z (4 - 5z2)

Question 16:

Factorise the following expression: 20l2m + 30alm

Answer:

20l2m + 30alm = 10lm (2l + 3a)

Question 17:

Factorise the following expression: 5x2y - 15xy2

Answer:

5x2y - 15xy2 = 5xy (x - 3y)

Question 18:

Factorise the following expression: 10a2 - 15b2 + 20c2

Answer:

10a2 - 15b2 + 20c2 = 5 (2a2 - 3b2 + 4c2)

Question 19:

Factorise the following expression: - 4a2 + 4ab - 4ca

Answer:

- 4a2 + 4ab - 4ca = - 4a (a - b + c)

Question 20:

Factorise the following expression: x2yz + xy2z + xyz2

Answer:

x2yz + xy2z + xyz2 = xyz (x + y + z)

Question 21:

Factorise the following expression: ax2y + bxy2 + cxyz

Answer:

ax2y + bxy2 + cxyz = xy (ax + by + cz)

Question 22:

Factorise:
x2 + xy + 8x + 8y

Answer:

x2 + xy + 8x + 8y
= x (x + y) + 8 (x + y)
= (x + y) (x + 8)

Question 23:

Factorise:
15xy - 6x + 5y - 2

Answer:

15xy - 6x + 5y - 2
= 3x (5y - 2) + 1 (5y - 2)
= (5y - 2) (3x + 1)

Question 24:

Factorise:
ax + bx - ay - by

Answer:

ax + bx - ay - by
= x (a + b) - y (a + b)
= (a + b) (x - y)

Question 25:

Factorise:
15pq + 15 + 9q + 25p

Answer:

15pq + 15 + 9q + 25p
= 15pq + 25p + 9q + 15
= 5p (3q + 5) + 3 (3q + 5)
= (3q + 5) (5p + 3)

Question 26:

Factorise:
z - 7 + 7xy - xyz

Answer:

z - 7 + 7xy - xyz
= z - xyz - 7 + 7xy
= z (1 - xy) - 7 (1 - xy)
= (1 - xy) (z - 7)

Question 27:

Answer:

Question 28:

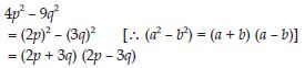
Factorise:
4p2 - 9q2

Answer:

Question 29:

Factorise:
63a2 - 112b2

Answer:

Question 30:

Factorise:
49x2 - 36

Answer:

Question 31:

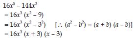
Factorise:
16x5 - 144x3

Answer:

Question 32:

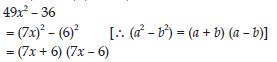
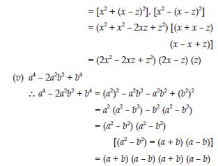
Factorise:
(l + m)2 - (l - m)2

Answer:

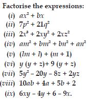
Question 33:

9x2y2 - 16

Answer:

Question 34:

(x2 - 2xy + y2) - z2

Answer:

Question 35:

25a2 - 4b2 + 28bc - 49c2

Answer:

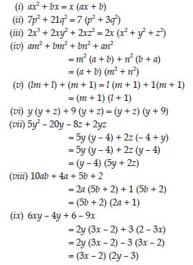
Question 36:

Answer:

Question 37:

Answer:

Question 38:

Factorise the following expressions:

Answer:

Question 39:

Answer:

Question 40:

Answer:

Question 41:

Answer:

Question 42:

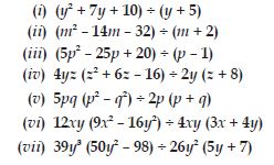
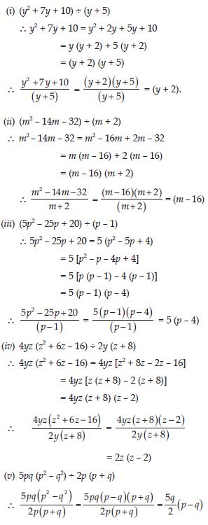
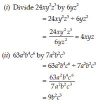
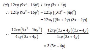
Work out the following divisions:
(i) (10x - 25) ÷ 5
(ii) (10x - 25) ÷ (2x - 5)
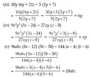
(iii) 10y (6y + 21) ÷ 5 (2y + 7)
(iv) 9x2y2 (3z - 24) ÷ 27xy (z - 8)
(v) 96abc (3a - 12) (5b - 30) ÷ 144 (a - 4) (b - 6).

Answer:

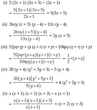
Question 43:

Divide as directed:
(i) 5 (2x + 1) (3x + 5) ÷ (2x + 1)
(ii) 26xy (x + 5) (y - 4) ÷ 13x (y - 4)
(iii) 52pqr (p + q) (q + r) (r + p) ÷ 104pq (q + r)(r + p)
(iv) 20 (y + 4) (y2 + 5y + 3) ÷ 5(y + 4)
(v) x (x + 1) (x + 2) (x + 3) ÷ x (x + 1).

Answer:

Question 44:

Factorise the expressions and divide them as directed:

Answer: